大家好,欢迎来到IT知识分享网。
本文章是学习笔记,内容可能会有很多漏洞,如果有不正确的地方欢迎指正
一、SVM简述
1、概念
在机器学习领域,支持向量机SVM(Support Vector Machine)是一个有监督的学习模 型,通常用来进行模式识别、分类(异常值检测)以及回归分析。
二、硬间隔优化问题导出(Hard Margin)
1、线性模型
通过对决策边界的平移来决定,保证决策边界在两个刚刚碰到数据集的的中间位置

数据集处于不同的位置,在决策边界的上方或者是下方,可分别归为+1类和-1类

2.1、优化问题的导出
2.1.1、二维空间


2.1.4、最大化d(间隔)

直线1: ω x + b = k \omega x+b=k ωx+b=k 直线3: ω x + b = − k \omega x+b=-k ωx+b=−k
对于两边都除以k,就得到 ω k x + b k = 1 \frac{\omega }{k}x+\frac{b}{k}=1 kωx+kb=1 和 ω k x + b k = − 1 \frac{\omega }{k}x+\frac{b}{k}=-1 kωx+kb=−1
对于直线2,两边都乘上 1 k \frac{1}{k} k1 得到 ω k x + b k = 0 \frac{\omega }{k}x+\frac{b}{k}=0 kωx+kb=0

直线1: ω x + b = 1 \omega x+b=1 ωx+b=1
直线2: ω x + b = − 1 \omega x+b=-1 ωx+b=−1
直线3: ω x + b = 0 \omega x+b=0 ωx+b=0
注意:这里的 ω \omega ω 和 b b b 的与上文中的不相同,这里的是更新过后的 ω \omega ω 和 b b b
上文说过,这里的 x , ω x,\omega x,ω是向量,所以 x 1 − x 2 x_1-x_2 x1−x2 得到的是 x 2 x 1 x_2x_1 x2x1 的那一段向量
之后是向量相乘,注意上面的 c o s θ cos\theta cosθ 可以由公式表示出d,与 ω \omega ω 建立关系 d = 2 ∣ ∣ ω ∣ ∣ d=\frac{2}{||\omega||} d=∣∣ω∣∣2。
m a x max max d 不就是 m i n min min 1 2 ∣ ∣ ω ∣ ∣ 2 \frac{1}{2}||\omega||^2 21∣∣ω∣∣2 ( ∣ ∣ ω ∣ ∣ ||\omega|| ∣∣ω∣∣表示为模长,在这个式子中是有根号的,所以这里需要平方一下,以便更好的计算)
问题的转化:最大化间隔 d ⇒ \Rightarrow ⇒ 最小化 1 2 ∣ ∣ ω ∣ ∣ 2 \frac{1}{2}||\omega||^2 21∣∣ω∣∣2


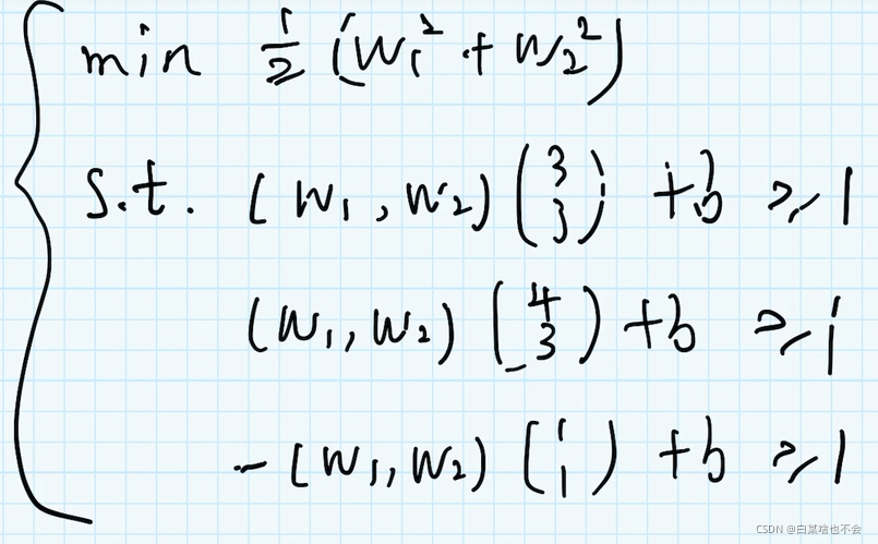
3、例子
ω \omega ω 是法向量,这里设定的是二维平面,所以 ω \omega ω 有两个参数,就有了( ω 1 \omega_1 ω1 和 ω 2 \omega_2 ω2)



4.1、拉格朗日数乘法
拉氏乘数法主要用来求解带约束条件下的极值
例子

(2)分别求导数

注意:在给出的约束条件中,s.t 有几个约束,就可以有几个参数(系数)

因为 x , ω x,\omega x,ω都是向量,所以有许多的约束条件,在这里我们将其写成连加的形式。
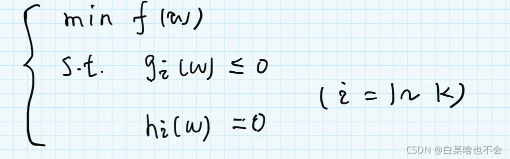
4.2、原问题与拉格朗对偶问题
4.2.1、原问题

先对拉氏函数求最小值,对参数 ω \omega ω求最小值(表示下确界的意思,就是无限的接近,有可能取的到,有可能取不到),在对拉氏函数求最大值(对 α , β \alpha,\beta α,β求最大值)
4.2.3、KKT条件
(1)定理1
如果 ω \omega ω 是原问题的最优解,而 α , β \alpha,\beta α,β 是对偶问题的最优解。 那么就有 f ( ω ) ≥ θ ( α , β ) f(\omega) \geq \theta(\alpha,\beta) f(ω)≥θ(α,β)
证明
先最小化原问题的最优解(意味着,随便带入一个 ω \omega ω 都比他大)



三、参考
https://www.bilibili.com/video/BV1A4411y7qK?from=search&seid=
本文章还未更新完毕未来会继续更新
免责声明:本站所有文章内容,图片,视频等均是来源于用户投稿和互联网及文摘转载整编而成,不代表本站观点,不承担相关法律责任。其著作权各归其原作者或其出版社所有。如发现本站有涉嫌抄袭侵权/违法违规的内容,侵犯到您的权益,请在线联系站长,一经查实,本站将立刻删除。 本文来自网络,若有侵权,请联系删除,如若转载,请注明出处:https://haidsoft.com/116006.html








