大家好,欢迎来到IT知识分享网。
1.曲线
曲线(Curves)在图形学中应用非常广泛,比如:相机的拍摄路径、物体的移动路径、动画曲线、矢量字体等。如下图所示,是使用曲线到矢量字体的应用,通过移动一些控制点来改变字体。
2.贝塞尔曲线
2.1 贝塞尔曲线定义
从上图中,如果无限的放大曲线的某一块区域,任何地方都是光滑的。这就是贝塞尔曲线(Bezier Curves)。
贝塞尔曲线是通过一系列控制点进行定义的曲线。而这些控制点满足一些性质,比如要满足从P0点开始,并且沿着P0P1方向,结束沿着P2P3方向,到P3点结束。曲线不必经过所有控制点,但必须经过起始点和结束点。这样就定义了一条贝塞尔曲线,如下图所示。
2.2 绘制贝塞尔曲线
那么,如何使用任意点绘制贝塞尔曲线呢?
贝塞尔曲线的绘制算法是 De Casteljau’s Algorithm,算法的基本思想是利用线性插值的原理,将高阶贝塞尔曲线转化为一阶贝塞尔曲线的组合。
下面,我们以 3 个控制点绘制贝塞尔曲线的例子来进行介绍。
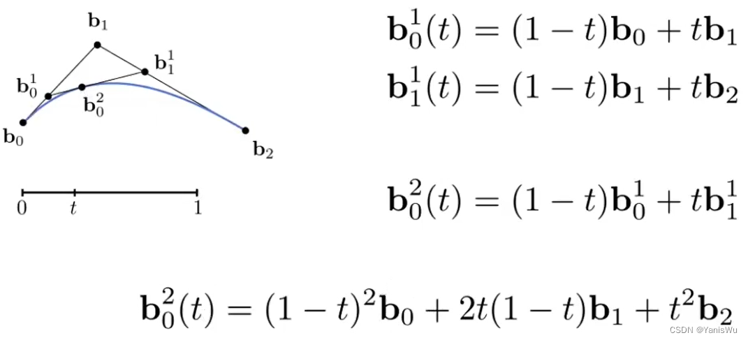
N 个控制点绘制的贝塞尔曲线,称为 N-1 阶贝塞尔曲线。如下图所示,我们定义了 3 个控制点,由此绘制的贝塞尔曲线称之为 二阶贝塞尔曲线(Quadratic Bezier)。对于这 3 个控制点,我们首先对相邻控制点进行连线。
定义一个变量 t,其值的范围为 [0, 1],作为算法的输入值。当 t = 0 时,表示贝塞尔曲线起始点的输入值,当 t = 1 时,表示贝塞尔曲线结束点的输入值。所以算出 t 对应的所有点即可获得别塞尔曲线。
我们在控制点所构成的各个连线上定义一个点,这个点的位置取决于 t 的值,即一个比例值。如下图所示,在 b0b1 线段上定义一个 b10 点,并在 b1b2 线段上定义一个 b11 点。
然后,对 b10 点和 b11 点进行连线,按照上述规则,在 b10b11 线段上定义一个 b20 点,找到最后一个点就结束了。如下图所示。
当新定义的点只有一个时,我们可以将 t 的值逐步从 0 变到 1。在这个过程中,b10、b20、b11 的位置都会随着 t 的变化而变化。对于最终的贝塞尔曲线,我们只需要关注最后定义的点 b20 的路径即可。
当我们扩展至更多控制点时,比如 4 个控制点时,我们仍然按照上述规则来处理,将高阶贝塞尔曲线转化为一阶贝塞尔曲线的组合,最终绘制曲线。如下图所示。
从上述可知,贝塞尔曲线也属于显式几何表示,因为显式几何表示通过直接定义或者参数定义,而这个 t 就是属于参数。
2.3 贝塞尔曲线代数公式
如上图所示,De Casteljau算法给出了一个系数金字塔,从中可知通过不断线性插值得到最后一个值的算法。那么,就可以写出这个关系式,以三个控制点为例,如下图所示。
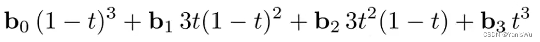
由此,我们可以推导出 N 阶贝塞尔曲线的代数公式,如下图所示。其中,n 表示 N 阶贝塞尔曲线(n+1个控制点),

举个例子,假设n=3,那么可以有四个控制点,点的位置不局限于平面上,甚至在三维空间中,展开公式如下。
对于伯恩斯坦多项式,也可得出如下关系。
2.4 贝塞尔曲线的性质
1.一定过起点和终点。在t=0的时候一定在起点,t=1的时候一定在终点。
2.起始的切线方向是由起始点和第二个点求出,结束的切线方向是由结束点和倒数第二个点求出。以四个控制举例如下,3倍只是代表4个控制点。
3.不受仿射变换影响,受投影变换影响。
对贝塞尔曲线上的每个控制点做仿射变换,绘制的新曲线于原曲线一样。
在空间中绘制一条贝塞尔曲线,将控制点投影到相机看到的平面上,然后重新绘制的新曲线与原曲线不同。
4.凸包(Convex Hull)性质:贝塞尔曲线在所有控制点的凸包范围内。如下图所示,蓝色线就是形成的凸包,凸包就是能够包围一系列几何形体的最小的凸多边形。简单理解就是一扇门上订满了钉子,然后用一块橡皮筋将外面一圈包起来,松手后橡皮筋会收缩,收缩后的外框就是凸包。
假设有一系列从走到右排列的点,排列在一条线上,这些是绘制贝塞尔曲线的控制点,那么绘制的贝塞尔曲线应该是什么形状?根据凸包性质,这条线就是凸包,而贝塞尔曲线不能超过凸包的范围,贝塞尔曲线被限制在这条线上,所以这条线就是贝塞尔曲线。
3.分段贝塞尔曲线
3.1 定义
如下图所示,给了11个点(n+1),绘制一条贝塞尔曲线(蓝色线)。可以看到这条贝塞尔曲线并不直观,非常平滑,说明当控制点多的时候,贝塞尔曲线很难得到想要的形状。
所以,当控制点比较多时,每次用很少的控制点绘制去绘制,然后将绘制的连接成一条贝塞尔曲线。于是就有了分段贝塞尔曲线(Piecewise Bezier Curves),即采用多条贝塞尔曲线进行串联。用4个常控制点来绘制一条贝塞尔曲线,也就是三阶贝塞尔曲线(Cubic Bezier)。如下图所示。
在PS里钢笔工具画曲线就是这个应用。
3.2 平滑处理
如下图所示,是一条分段贝塞尔曲线,而且每4个点绘制一条三次贝塞尔曲线。
可以发现有连接点的曲线出现了转折,不够平滑,那么如何保证连起来的曲线是平滑的呢?只要保证曲线结束的切线方向与相连曲线起始的切线相同即可(方向大小都相同),也就是导数要连续。
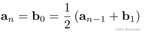
根据贝塞尔曲线的性质:三次贝塞尔曲线的起始切线的方向由第一个点和第二个点求得,结束切线的方向由第三个点和第四个点求出,并且前面有系数3。而相连的两条曲线,前一条曲线的结束点就是后一条曲线的起始点,所以需要调整前一条曲线的第三个点与后一条曲线的第二个点位置,使其切线相同。
3.3 连续性
如下图所示,在几何上两条三次贝塞尔曲线相连通过一个控制点,这是一种最简单的连续。像这种第一段的终点等于第二段的起点叫做




那么,在几何连续外,还需要切线的连续(切线相同,方向和大小都相同)。这叫做


除了一阶导数连续,还有2阶导数连续,也叫做曲率连续(
综上, 


4.样条曲线
4.1 定义
样条(Spline)曲线一种连续的曲线,通过一系列的控制点控制,在任意位置满足一定的连续性,也就是一定数量的连续导数(任意阶)。
简而言之,这是一条可控的曲线。
4.2 B样条曲线
B样条(B-Splines)是基础样条(Basis Splines)的缩写,就是基函数样条。可以理解成用伯恩斯坦多项式在时间 t 里几个不同项对不同的控制点做一个加权平均,也可以理解成不同控制点位置对伯恩斯坦多项式进行加权求和。那么,这个伯恩斯坦多项式就可以理解为基函数。基函数就是由不同函数通过不同方式组合起来可以形成别的函数。
B样条曲线相当于是贝塞尔曲线的一个扩展。贝塞尔曲线在控制点很多的情况下,移动其中任何一个点,整个曲线在任何位置都会发生变化。假如只需要移动一个控制点改变一小段曲线的形状,也就是局部性,而B样条曲线能够满足这个功能,比分段贝塞尔曲线更方便。
B样条需要比贝塞尔曲线更多的信息。比贝塞尔曲线更加复杂,这里不做详细介绍。
免责声明:本站所有文章内容,图片,视频等均是来源于用户投稿和互联网及文摘转载整编而成,不代表本站观点,不承担相关法律责任。其著作权各归其原作者或其出版社所有。如发现本站有涉嫌抄袭侵权/违法违规的内容,侵犯到您的权益,请在线联系站长,一经查实,本站将立刻删除。 本文来自网络,若有侵权,请联系删除,如若转载,请注明出处:https://haidsoft.com/117224.html























