大家好,欢迎来到IT知识分享网。
目录
高等数学
一元隐函数求导公式
即 dy/dx= –Fx/Fy
二元隐函数求导公式
arcsinx的导数推导
解答过程如下:
此为隐函数求导,令=arcsinx
通过转变可得:zhuany=arcsinx,那么siny=x。
两边进行求导:cosy × y’=1。
即:y’=1/cosy=1/√[1-(siny)^2]=1/√(1-x^2)。
arcsinx/2导数
n阶无穷小
这是无穷小比较的感念.如果两个无穷小α、β,
当lim(α/β)=0 时,则称α是β的高阶无穷小.即两个无穷小都趋于0时,α比β趋于 0 更快;
n阶无穷小:就是lim(x^2/x)=0, 这是的n=1;
连续定义
柯西中值定理
球的面积和体积公式
椭圆标准方程
反函数,逆函数
弧长公式
曲面面积
旋转体体积
多元微分概念:
多元函数条件极值
微分方程形式:
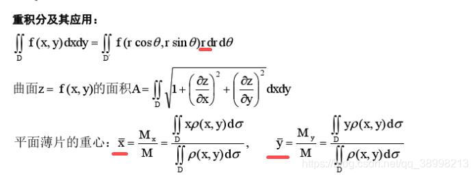
重积分求型心
二重积分应用:
二重积分(ax+by)=质心坐标 *面积;
二元函数图像,变量是一次的(图像是平面),好比直角坐标系中的直线
带有二次的
带有3次的(类比直角坐标系比较好理解)
球体的表达式,一定至于求和圆是两个概念,一个三维一个二维;
线形代数
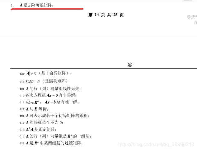
初等矩阵的逆矩阵
矩阵秩的性质
线形相关:小相关大相关,大无关小无关;
AB=0 相关
A秩和A伴随秩
向量的m行n列,mn(m个方程,n个未知数)
免责声明:本站所有文章内容,图片,视频等均是来源于用户投稿和互联网及文摘转载整编而成,不代表本站观点,不承担相关法律责任。其著作权各归其原作者或其出版社所有。如发现本站有涉嫌抄袭侵权/违法违规的内容,侵犯到您的权益,请在线联系站长,一经查实,本站将立刻删除。 本文来自网络,若有侵权,请联系删除,如若转载,请注明出处:https://haidsoft.com/119777.html

































