大家好,欢迎来到IT知识分享网。
一.基础递推式
1.第一种理解方法
当 n≥3 时,考虑 n个元素 a1 , a2 , ⋯ , an ,根据题目要求,我们知道 an 不能放在第
n个位置,所以有(n-1)种选择,假设 an 放在第 i 个位置,考虑元素 ai ,有两种情况。
(1) 若 ai 与 an 调换位置,则只需考虑剩下 n−2 个元素错位全排列的情况。
(2)若 ai 不放在第 n 个位置,则 ai 也无法放在第 i 个位置,因此只需考虑剩下 n−1 个元素错位全排列的情况。
根据加法原理和乘法原理,可以得到: Dn=(n−1)⋅(Dn−1+Dn−2) 。
2.第二种理解方法
假设考虑到第 

- 前面 n-1 个信封全部装错;
- 前面
n-1 个信封有一个没有装错其余全部装错。
对于第一种情况,前面 



对于第二种情况,前面 


根据加法原理和乘法原理,可以得到: Dn=(n−1)⋅(Dn−1+Dn−2) 。
(这里也给出另一个递推关系:Dn=nDn-1+(
二.公式推导
1.n种信封的组合方式有n!种,接下来我们要做的就是扣掉其中重复的种类,保证计数“不重不漏”。
2.容斥原理
(1)两个集合的容斥原理
设有两个非空集A,B,记 |S| 为集合 s 中元素的个数,则有如下关系:
这在文氏图(Venn diagram)中其实是显然的:要计算集合 A∪B 的元素的个数,首先把两集合 A 和 B 的元素个数相加。但是中间出现了重复的部分,也就是集合A∩B 的元素个数,要从中扣除。
(2)三个集合的容斥原理
推广到三个集合的情况下,公式要稍加变形:设有三个非空集合 C ,则有如下关系:
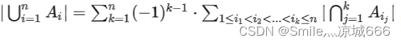
(3)多个集合的容斥原理
推广到 n个集合 A1,A2,…,An中,有如下关系:
简化后
此为容斥原理
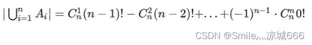
3.一般计算公式
设元素 a1,a2,…,an 的一个排列为 t1,t2,…,tn,使 ti=ai 的全排列的集合记为 Ai
Dn=n!−| 

注意到当有一个元素“排对”时,剩下的 n−1 个元素进行全排列得到 |Ai|=(n−1)! ,并且这样满足要求的集合组共有 
当有两个元素“排对”时,剩下 n−2 个元素进行全排列得到 |Ai∩Aj|=(n−2)! ,并且这样满足要求的集合组共有 
以此类推,到最后全部“排对”时,|A1∩A2∩…∩An|=0!=1 ,这样满足条件的集合组只有 
因此
从上面我们得到的 Dn 的公式就会发现,为了计算错位全排序,还需要计算多次阶乘。
4.引入级数(Series)与麦克劳林公式
注意到在上面的公式当中,出现了这样的式子:
Sn=
当 n=3 时, S3=13≈0.3333 ;当 n=5 时, S5=1130≈0.3667 ;
当 n=10 时, S10≈0.3678 。
当 n=50 时, S50≈0. ,取对数得 lnS50≈−1 ,因此 S50≈1/e 。
当n 的值越来越大的时候, Sn 的值也会越来越接近 1/e 。
事实上,在高等数学当中,函数 f(x)=
在原本的公式中,本应该有余项,表示估计的误差大小:

当 n 增大时,余项 Rn趋近于 0 。
把 x = -1 带入 得
因此 Sn 约等于 1 / e;
5.估计公式
免责声明:本站所有文章内容,图片,视频等均是来源于用户投稿和互联网及文摘转载整编而成,不代表本站观点,不承担相关法律责任。其著作权各归其原作者或其出版社所有。如发现本站有涉嫌抄袭侵权/违法违规的内容,侵犯到您的权益,请在线联系站长,一经查实,本站将立刻删除。 本文来自网络,若有侵权,请联系删除,如若转载,请注明出处:https://haidsoft.com/122261.html
n-1 个信封有一个没有装错其余全部装错。










