大家好,欢迎来到IT知识分享网。
文章目录
说明
前言
接上一篇文章《深度滤波器详细解读》。
SVO(Semi-Direct Monocular Visual Odometry)是苏黎世大学Scaramuzza教授的实验室,在2014年发表的一种视觉里程计算法,它的名称是半直接法视觉里程计,通俗点说,就是结合了特征点法和直接法的视觉里程计。目前该算法已经在github上面开源(https://github.com/uzh-rpg/rpg_svo)。贺一家在它的开源版本上面进行改进,形成了SVO_Edgelet(https://github.com/HeYijia/svo_edgelet)。相比原版,SVO_Edgelet增加了一些功能,比如结合本质矩阵和单应矩阵来初始化,把边缘特征点加入跟踪等,对SVO的鲁棒性有非常大的改善。
虽然SVO已经有论文[1]了,但是论文里面只是讲了最核心的算法理论,可以用论文来了解其算法思想。但是具体的实现方法和技巧,都隐藏在源代码里。要想彻底掌握它,并且在具体实践中灵活运用它,还是必须要阅读源代码才行。
所以我通读了这2万多行的源代码,力求从代码中反推出所有的具体实现、算法、公式、技巧、作者的意图。
源码之下,了无秘密。
在把这2万多行的代码全部搞懂之后,我把代码里面的具体实现方法全都一五一十地还原出来,研究其优缺点、适用情况,探讨其可以改进的地方,总结成本文,与各位分享。
本文对应的程序为SVO_Edgelet。
本文目标读者:对SVO有一定了解的SLAM算法工程师。
流程图
1.跟踪
其实,SVO的跟踪部分的本质是跟ORBSLAM一样的,TrackWithMotionModel和TrackLocalMap,只是匹配的方法从特征点法改成了灰度值匹配法。
但是,随后,与ORBSLAM有不同的地方,SVO在优化出相机位姿之后,还有可选项,可以再优化地图点,还可以再把地图点和相机位姿一起优化。
1.1初始化
图像刚进来的时候,就获取它的金字塔图像,5层,比例为2。
然后处理第一张图像,processFirstFrame()。先检测FAST特征点和边缘特征。如果图像中间的特征点数量超过50个,就把这张图像作为第一个关键帧。
然后处理第一张之后的连续图像,processSecondFrame(),用于跟第一张进行三角初始化。从第一张图像开始,就用光流法持续跟踪特征点,把特征像素点转换成在相机坐标系下的深度归一化的点,并进行畸变校正,再让模变成1,映射到单位球面上面。
如果匹配点的数量大于阈值,并且视差的中位数大于阈值。如果视差的方差大的话,选择计算E矩阵,如果视差的方差小的话,选择计算H矩阵。如果计算完H或E后,还有足够的内点,就认为这帧是合适的用来三角化的帧。根据H或E恢复出来的位姿和地图点,进行尺度变换,把深度的中值调为1。
然后把这一帧,作为关键帧,送入到深度滤波器中。(就是送到的深度滤波器的updateSeedsLoop()线程中。深度滤波器来给种子点在极线上搜索匹配点,更新种子点,种子点收敛出新的候选地图点。如果是关键帧的话,就初始化出新的种子点,在这帧图像里面每层的每个25x25大小的网格里,取一个最大的fast点。在第0层图像上,找出canny边缘点。)
之后就是正常的跟踪processFrame()。
1.2基于稀疏点亮度的位姿预估
把上一帧的位姿作为当前帧的初始位姿。
把上一帧作为参考帧。
先创建n行16列的矩阵ref_patch_cache_,n表示参考帧上面的特征点的个数,16代表要取的图块的像素数量(即像素块的数量为4*4)。
再创建6行n*16列的矩阵jacobian_cache_。代表图块上的每个像素点误差对相机位姿的雅克比。
要优化的是参考帧相对于当前帧的位姿。
把参考帧上的所有图块结合地图点,往当前帧图像的金字塔图像上投影。在当前帧的金字塔图像上,从最高层开始,一层层往低层算。每次继承前一次的优化结果。如果前一次的误差相比前前次没有减小的话,就继承前前次的优化后的位姿。每层的优化,迭代30次。
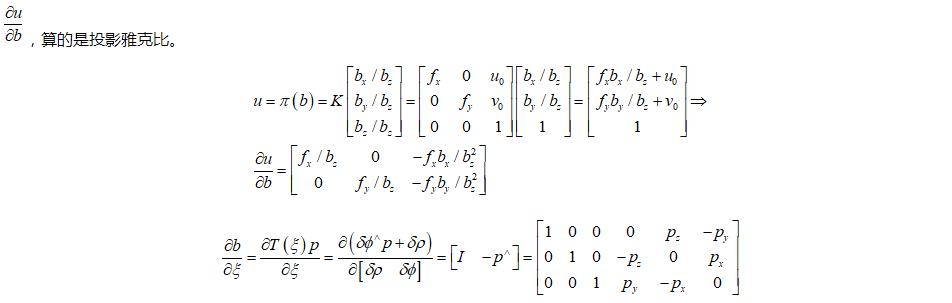
要优化的残差是,参考帧I_k-1上的特征点的图块与投影到当前帧I_k上的位置上的图块的亮度残差。投影位置是,参考帧I_k-1中的特征点延伸到三维空间中到与对应的地图点深度一样的位置,然后投影到当前帧I_k。这是SVO的一个创新点,直接由图像上的特征点延伸出来,而不是地图点(因为地图点与特征点之间也存在投影误差),这样子就保证了要投影的图块的准确性。延伸出来的空间点肯定也与特征点以及光心在一条直线上。这样子的针孔模型很漂亮。
SVO的另外一个创新点(指的是逆光流算法)是,以当前帧上的投影点的像素值为基准,通过优化调整参考帧投影过来的像素点的位置,以此来优化这两者像素值残差。这样子,投影过来的图块patch上的像素值关于像素点位置的雅克比,就可以提前计算并且固定了。(而以前普通的方法是,以参考帧投影过去的像素值为基准,通过优化投影点的位置,来优化这两者的残差。)
级联求导,但是,这样子的话,每次迭代后,雅克比J都会发生改变。一般情况下的优化,都会遇到这样的问题。
所以,采用近似的思想。首先,认为空间点P固定不动,只调整参考帧k-1的位姿,所以这个扰动不影响在当前帧上的投影点的位置,只会影响图块patch的内容。然后,参考帧在新的位姿上重新生成新的空间点,再迭代下去。虽然只是近似优化,但每次迭代的方向都是对的,假设步长也差不多,所以最终也可以优化成功。
1.3基于图块的特征点匹配
因为当前帧有了1.1的预估的位姿。对于关键帧链表里面的那些关键帧,把它们图像上的分散的5点往当前帧上投影,看是否能投影成功,如果能投影成功,就认为共视。再把所有的共视关键帧,按照与当前帧的距离远近来排序。然后,按照关键帧距离从近到远的顺序,依次把这些关键帧上面的特征点对应的地图点都往当前帧上面投影,同一个地图点只被投影一次。如果地图点在当前帧上的投影位置,能取到8×8的图块,就把这个地图点存入到当前帧投影位置的网格中。
再把候选地图点都往当前帧上投影,如果在当前帧上的投影位置,能取到8×8的图块,就把这个候选地图点存入到当前帧投影位置的网格中。如果一个候选点有10帧投影不成功,就把这个候选点删除掉。
然后,对于每一个网格,把其中对应的地图点,按照地图点的质量进行排序(TYPE_GOOD> TYPE_UNKNOWN> TYPE_CANDIDATE> TYPE_DELETED)。如果是TYPE_DELETED,则在网格中把它删除掉。
遍历网格中的每个地图点,找到这个地图点被观察到的所有的关键帧。获取那些关键帧光心与这个地图点连线,与,地图点与当前帧光心连线,的夹角。选出夹角最小的那个关键帧作为参考帧,以及对应的特征点。(注意,这里的这种选夹角的情况,是只适合无人机那样的视角一直朝下的情况的,应该改成ORBSLAM那样,还要再把视角转换到对应的相机坐标系下,再筛选一遍)。这个对应的特征点,必须要在它自己的对应的层数上,能获取10×10的图块。
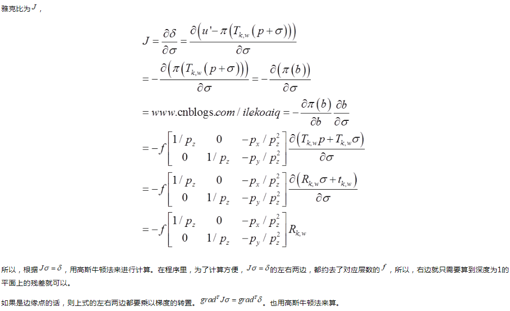
然后,计算仿射矩阵。首先,获取地图点在参考帧上的与光心连线的模。然后它的对应的特征点,在它对应的层数上,取右边的第5个像素位置和下边的第5个像素位置,再映射到第0层。再转换到单位球上,再映射到三维空间中,直到与地图点的模一样的长度。把对应的特征点也映射到三维空间中,直到与地图点的模一样的长度。然后,再把这3个点映射到当前帧的(有畸变的)图像上。根据它们与中心投影点的位置变换,算出了仿射矩阵A_cur_ref。A_cur_ref.col(0) = (px_du – px_cur)/halfpatch_size; A_cur_ref.col(1) = (px_dv – px_cur)/halfpatch_size;。(www.cnblogs.com/ilekoaiq)仿射矩阵A,就是把参考帧上的图块在它自己对应的层数上,转换到当前帧的第0层上。(这种把比例变换转换成矩阵表示的方法,很好)。
然后,计算在当前帧的目标搜索层数。通过计算仿射矩阵A_cur_ref的行列式,其实就是面积放大率。如果面积放大率超过3,就往上一层,面积放大率变为原来的四分之一。知道面积放大率不再大于3,或者到最高层。就得到了目标要搜索的层数。
然后,计算仿射矩阵的逆仿射矩阵A_ref_cur。然后,这样子,如果以投影点为中心(5,5),取10×10的图块,则图块上每个像素点的(相对中心点的)位置,都可以通过逆仿射矩阵,得到对应的参考帧上的对应层数图像上的(相对中心点的)像素位置。进行像素插值。就是,把参考帧上的特征点附近取一些像素点过来,可以组成,映射到当前帧上的对应层数的投影点位置的附近,这些映射到的位置刚好组成10×10的图块。
如果匹配成功的话,就在当前图像上,新生成一个特征点(包括坐标和层数),特征点指向那个地图点。如果对应的参考帧上的特征点是边缘点的话,则新的特征点的类型也设为边缘点,把梯度也仿射过来,归一化后,作为这个新特征点的梯度。
每个网格里,只要有一个地图点匹配成,就跳出这个网格的遍历循环。如果有180个网格匹配成功了,直接跳出所有网格的循环。循环结束后,如果成功匹配的网格的数量小于30个,就认为当前帧的匹配失败。
1.4进一步优化位姿
1.5优化地图点
1.6 BA
SVO里面有个选项,可以开启使用g2o的BA功能。
如果开启使用这个功能的话,则在一开始的两张图像初始化之后,两张图像以及初始化出来的地图点,会用BA来优化。用的是g2o里面的模板。
另外,会在1.5优化完地图点后,对窗口里的所有的关键帧和地图点,或者全局关键帧和地图点,进行优化。用的是g2o里面的模板。
1.7对畸变图像处理的启发
SVO的跟踪都是在畸变的鱼眼图像上跟踪的,没有对图像进行校正,这样子可以尽可能地保留图像的原始信息。
又因为在1.2中的逆向图块雅克比的方法,除了可以加快计算外,还避免了对畸变参数的雅克比计算。因为如果用正向图像雅克比的话,在计算雅克比的时候,必须要把畸变参数也考虑进来。
而在1.3中,图块匹配就是用畸变的图块取匹配的,保证了准确性。为了避免对畸变参数的雅克比计算,在匹配完成后,把投影点位置和匹配点位置都从畸变的图像上,转换到了单位平面上。以后在畸变图像上,计算重投影误差,就用这样的方法。
2.创建地图点
特征点提取的方法,放在了地图线程里。因为与ORBSLAM不同的是,它跟踪的时候,不需要找特征点再匹配,而是直接根据图块亮度差匹配的。
而如果是vins的话,也可以参考这个方法,把特征点提取放到地图线程里,连续帧之间的特征点用光流匹配。但光流要求帧与帧之间不能差别太大。
而在SVO中,后端的特征点是只在关键帧上提取的,用FAST加金字塔。而上一个关键帧的特征点在这一个关键帧上找匹配点的方法,是用极线搜索,寻找亮度差最小的点。最后再用depthfilter深度滤波器把这个地图点准确地滤出来。
选取30个地图点,如果这30个地图点在当前帧和最近一个关键帧的视差的中位数大于40,或者与窗口中的关键帧的距离大于一定阈值,就认为需要一个新的关键帧。然后把当前帧设置为关键帧,对当前帧进行操作。
2.1初始化种子
当关键帧过来的时候,对关键帧进行处理。在当前图像上,划分出25像素*25像素的网格。
首先,当前帧上的这些已经有的特征点,占据住网格。
在当前帧的5层金字塔上,每层头提取fast点,首先用3×3范围的非极大值抑制。然后,对剩下的点,全部都计算shiTomasi分数,有点像Harris角点里面的那个分数。再全部映射到第0层的网格上,每个网格只保留分数最大的,且大于阈值的那个点。
找边缘点的话,都只在第0层上面找。同样也是画网格,然后再每个网格中找canny线,然后对于网格中的在canny线上的点,计算它的梯度的模,保留模梯度最大的那个点,作为边缘点。梯度方向是二维的,就是这个点的右左下上梯度。程序里用了cv::Scharr结合cv::magnitude来快速算出所有点的横纵方向的梯度。
然后,对于所有的新的特征点,初始化成种子点。用高斯分布表示逆深度。均值为最近的那个点的深度的倒数。深度范围为当前帧的最近的深度的倒数,即1.0/depth_min。高斯分布的标准差为1/6*1.0/depth_min。
2.2更新种子,深度滤波器
如果新来一个关键帧,或者是当前的普通的帧,或者之前的关键帧,用于更新种子点。对于每个种子点,通过正负1倍标准差,确定逆深度的搜索范围。这些参数都是对应种子点在它自己被初始化的那一帧。
然后把深度射线上的最短和最长的深度,映射到当前帧的单位深度平面上,其实就得到的在单位平面上的极线线段。然后,再把逆深度的均值对应的深度,映射到当前帧,就是跟1.3中的同样的方法,得到图块仿射矩阵,和最佳搜索层数。
(对于边缘点,如果把梯度仿射过来后,梯度的方向与极线方向的夹角大于45度,就认为沿着极线找,图块像素也不会变化很大,就不搜索了,直接返回false。)
把极线线段投影到对应的层数上,如果两个端点间的像素距离小于2个像素,就直接进行优化位置。用的是1.3中的找图块匹配的方法,把对应的图块映射过来。找到最佳匹配位置后,进行三角定位。三角定位的方法参考《视觉SLAM十四讲》的三角定位,矩阵分块计算。
如果两个端点间像素距离大于2个像素,就在极线上进行搜索。首先,确定总步长数,以两端点间的距离除以0.7,得到总步长数n_steps。然后,把单位深度平面上的极线线段分n_steps段,从一个端点开始往另外一个端点走,每走一步,就把位置投影(包括畸变)到对应层数的图像上,坐标取整后,获取图块。(这里可以改进,不应该对坐标进行取整,而应该改成插值)。然后,计算投影过来的图块与投影位置图块的相似度,相似度的计算公式如下,其中有消除均值的影响。
3.重定位
SVO中重定位,实现很简单,就是在跟丢之后,仍然假设当前帧的位姿和前一帧一样,往这个位姿上投地图点,用第1部分中的方法去优化计算,如果优化成功,就重定位回来,如果优化不成功,就继续下一帧。所以,在跟丢后,只能再回到跟丢时的位置,才能重定位回来。
这样子实现重定位的方法很简单,可重定位的效果就很差了。这地方可以进行改进。
4.总结
SVO的定位很好,抖动很小。尤其在重复纹理的环境中,表现得比基于特征点法的ORBSLAM2要出色。
将来可以在上面增加更鲁棒的重定位,回环闭环,全局地图的功能,来满足更多的实际应用场景,比如室内机器人、无人机、无人车。
免责声明:本站所有文章内容,图片,视频等均是来源于用户投稿和互联网及文摘转载整编而成,不代表本站观点,不承担相关法律责任。其著作权各归其原作者或其出版社所有。如发现本站有涉嫌抄袭侵权/违法违规的内容,侵犯到您的权益,请在线联系站长,一经查实,本站将立刻删除。 本文来自网络,若有侵权,请联系删除,如若转载,请注明出处:https://haidsoft.com/122315.html

















