大家好,欢迎来到IT知识分享网。
第一步 建立层次结构图
确定决策目标、决策准则、可执行方案
第二步 构造判断矩阵
根据重要程度表对方案进行两两比较
首先确定各指标的重要性,两两比较填入表中
然后针对各指标,对各方案根据重要程度进行打分
对于打分得到的表格。表格中的数据构成了判断矩阵
类似于这样
对于得到的判断矩阵,称之为A,元素为 a[i,j]
表示与 j 相比 i 的重要程度
且有 a[i,j] * a[j,i] = 1
得到判断矩阵后,应当进行一致性检验,即判断我们得到的矩阵与一致矩阵的差别大不大(有些可能不合逻辑)
一致性矩阵: 对于A中元素,满足 A[i,j] * a[j,k] = a[i,k] 且行或列之间呈线性关系
其中 λ 表示A的最大特征值, n 表示矩阵的阶
如果不符合一致性矩阵,则需要对矩阵进行修正
第三步,判断矩阵求权重
进行归一化处理
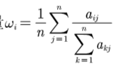
(1)算术平均法求权重
每一个元素处于所在列之和
然后按行求和
最后除以矩阵阶数n
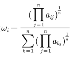
(2)几何平均法求权重
按行相乘
开n次方
相加除以n
(3)特征值法求权重
第四步,计算权重和,确定最优方案
免责声明:本站所有文章内容,图片,视频等均是来源于用户投稿和互联网及文摘转载整编而成,不代表本站观点,不承担相关法律责任。其著作权各归其原作者或其出版社所有。如发现本站有涉嫌抄袭侵权/违法违规的内容,侵犯到您的权益,请在线联系站长,一经查实,本站将立刻删除。 本文来自网络,若有侵权,请联系删除,如若转载,请注明出处:https://haidsoft.com/125560.html







