大家好,欢迎来到IT知识分享网。
1.微分算子法求解常系数线性微分方程特解
参考资料:全网讲解最清楚的微分算子法!
1.1 微分算子法的思路
1.2 f ( x ) = e α x f(x)=e^{\alpha x} f(x)=eαx 型
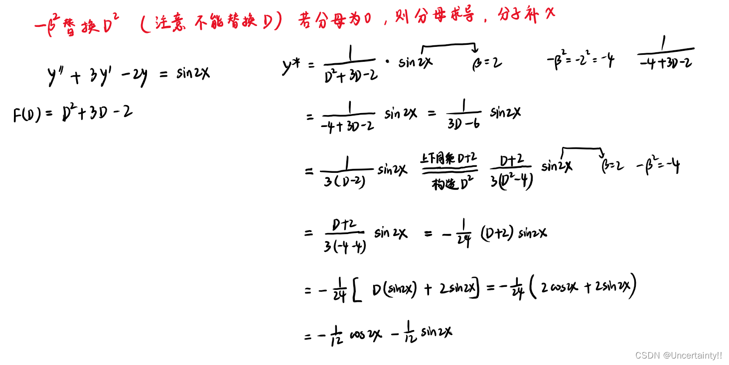
1.3 f ( x ) = sin β x f(x)=\sin\beta x f(x)=sinβx 或 f ( x ) = cos β x f(x)=\cos\beta x f(x)=cosβx 型
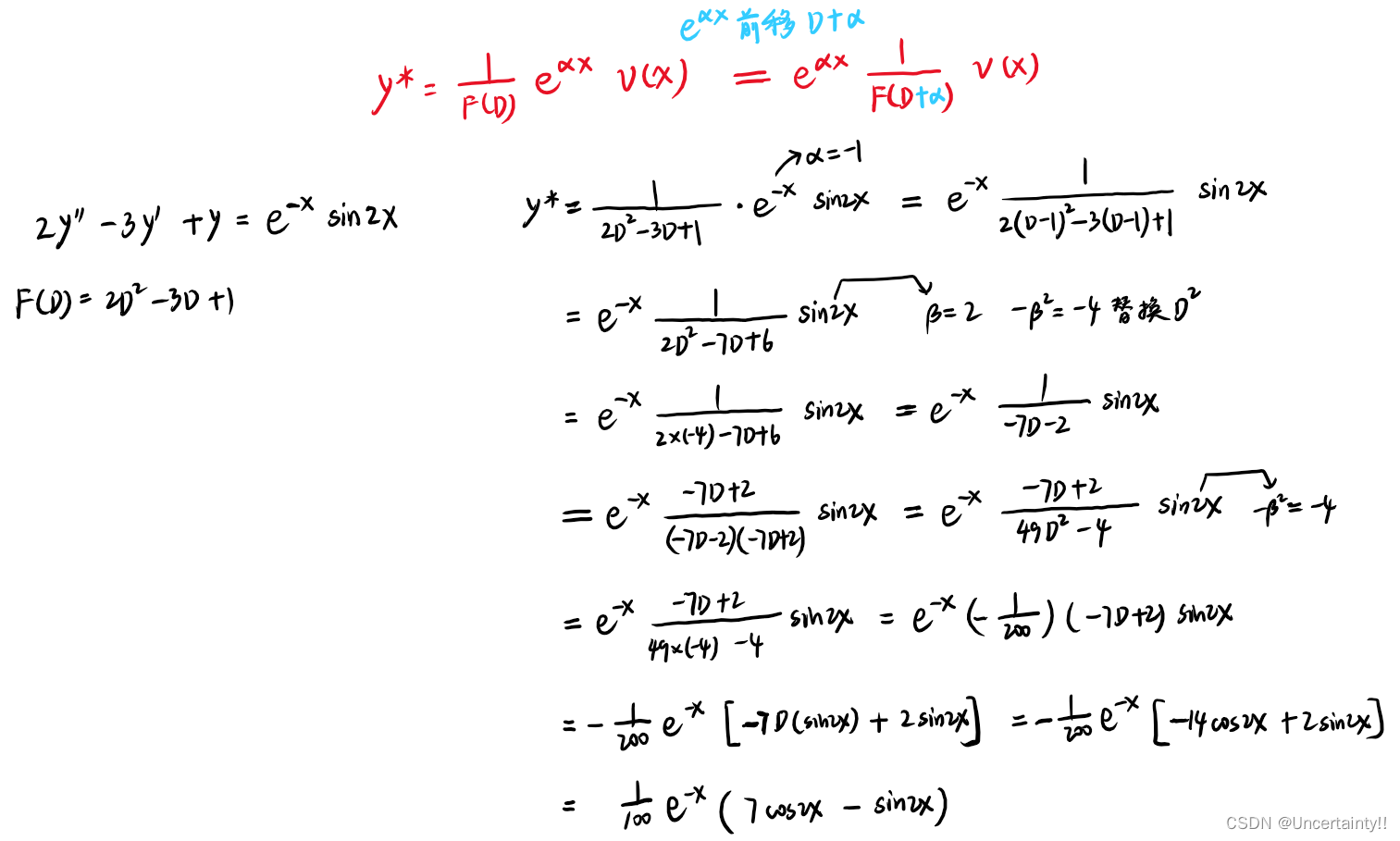
1.4 f ( x ) = e α x sin β x f(x)=e^{\alpha x}\sin\beta x f(x)=eαxsinβx 或 f ( x ) = e α x cos β x f(x)=e^{\alpha x}\cos\beta x f(x)=eαxcosβx 型
1.5 f ( x ) = P n ( x ) f(x)=P_n(x) f(x)=Pn(x) 型
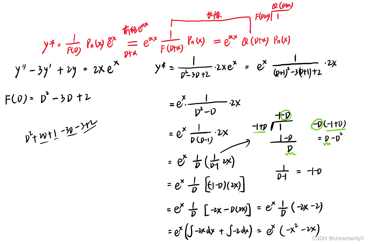
1.6 f ( x ) = P n ( x ) e α x f(x)=P_n(x)e^{\alpha x} f(x)=Pn(x)eαx 型
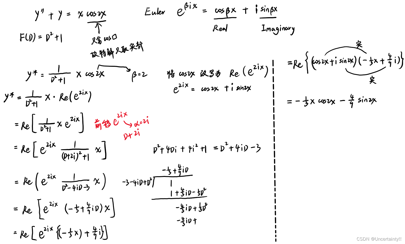
1.7 f ( x ) = P n ( x ) sin β x f(x)=P_n(x)\sin\beta x f(x)=Pn(x)sinβx 或 f ( x ) = P n ( x ) cos β x f(x)=P_n(x)\cos\beta x f(x)=Pn(x)cosβx 型
1.8 f ( x ) = P n ( x ) e α x sin β x f(x)=P_n(x)e^{\alpha x}\sin\beta x f(x)=Pn(x)eαxsinβx 或 f ( x ) = P n ( x ) e α x cos β x f(x)=P_n(x)e^{\alpha x}\cos\beta x f(x)=Pn(x)eαxcosβx 型
1.8 小结
免责声明:本站所有文章内容,图片,视频等均是来源于用户投稿和互联网及文摘转载整编而成,不代表本站观点,不承担相关法律责任。其著作权各归其原作者或其出版社所有。如发现本站有涉嫌抄袭侵权/违法违规的内容,侵犯到您的权益,请在线联系站长,一经查实,本站将立刻删除。 本文来自网络,若有侵权,请联系删除,如若转载,请注明出处:https://haidsoft.com/126067.html











