大家好,欢迎来到IT知识分享网。
欢迎纠错
#傅里叶变换
傅里叶级数
【积分变换】积分变换常用公式定理与方法
基本性质
F ( ω ) = ∫ − ∞ + ∞ f ( τ ) e − j ω τ d τ = F [ f ( t ) ] f ( t ) = 1 2 π ∫ − ∞ + ∞ F ( ω ) e j ω t d ω = F − 1 [ F ( ω ) ] F(\omega)=\int_{-\infty}^{+\infty}f(\tau)e^{-j\omega\tau}d\tau=\mathcal{F}[f(t)]\\\ \\ f(t)= \frac 1 {2\pi} \int_{-\infty}^{+\infty} F(\omega)e^{j\omega t}d\omega=\mathcal F^{-1}[F(\omega)] F(ω)=∫−∞+∞f(τ)e−jωτdτ=F[f(t)] f(t)=2π1∫−∞+∞F(ω)ejωtdω=F−1[F(ω)]
1. 线 性 性 质 : F [ α f 1 ( t ) + β f 2 ( t ) ] = α F 1 ( ω ) + β F 2 ( ω ) 2. 位 移 性 质 : F [ f ( t ± t 0 ) ] = e ± j ω t 0 F ( ω ) F [ e ± j ω t 0 f ( t ) ] = F ( ω ∓ ω 0 ) 1.线性性质:\\\ \\ \mathcal{F}[\alpha f_1(t)+\beta f_2(t)]=\alpha F_1(\omega)+\beta F_2(\omega)\\\ \\ 2.位移性质:\\\ \\ \mathcal{F}[f(t\pm t_0)]=e^{\pm j\omega t_0} F(\omega)\\\ \\ \mathcal{F}[e^{\pm j\omega t_0}f(t)]=F(\omega\mp\omega_0) 1.线性性质: F[αf1(t)+βf2(t)]=αF1(ω)+βF2(ω) 2.位移性质: F[f(t±t0)]=e±jωt0F(ω) F[e±jωt0f(t)]=F(ω∓ω0)
3. 微 分 性 质 F [ f ( n ) ( t ) ] = ( j ω ) n F ( ω ) F [ t f ( t ) ] = j d F ( ω ) d ω F [ t n f ( t ) ] = 1 ( − j ) n d n F ( ω ) d ω n 4. 积 分 性 质 : F [ g ( t ) ] = 1 j ω F ( ω ) 3.微分性质\\\ \\ \mathcal{F}[f^{(n)}(t)]=(j\omega)^n F(\omega)\\\ \\ \mathcal{F}[tf(t)]=j\frac{dF(\omega)}{d\omega}\\\ \\ \mathcal{F}[t^nf(t)]=\frac{1}{(-j)^n}\frac{d^nF(\omega)}{d\omega^n}\\\ \\ 4.积分性质:\\\ \\ \mathcal{F}[g(t)]=\frac{1}{j\omega}F(\omega)\\\ \\ 3.微分性质 F[f(n)(t)]=(jω)nF(ω) F[tf(t)]=jdωdF(ω) F[tnf(t)]=(−j)n1dωndnF(ω) 4.积分性质: F[g(t)]=jω1F(ω)
5. 相 似 性 质 : F [ f ( a t ) ] = 1 ∣ a ∣ F ( ω a ) 5.相似性质:\\\ \\ \mathcal{F}[f(at)]=\frac{1}{|a|}F(\frac \omega a)\\\ \\ 5.相似性质: F[f(at)]=∣a∣1F(aω)
d r a c − d e l t a drac-delta drac−delta函数(单位冲激函数)
单 位 阶 跃 函 数 u ( t ) 的 导 数 为 δ ( t ) 筛 选 性 : ∫ − ∞ + ∞ δ ( t − t 0 ) f ( t ) d t = f ( t 0 ) F [ δ ( t − t 0 ) ] = e − j ω t 0 F [ u ( t ) ] = 1 j ω + π δ ( ω ) f ( t ) δ ( t ) = f ( 0 ) δ ( t ) 单位阶跃函数u(t)的导数为\delta(t)\\\ \\ 筛选性: \int_{-\infty}^{+\infty}\delta(t-t_0)f(t)dt=f(t_0)\\\ \\ \mathcal F[\delta(t-t_0)]=e^{-j\omega t_0}\\\ \\ \mathcal F[u(t)]=\frac 1 {j\omega} +\pi\delta(\omega)\\\ \\ f(t)\delta(t)=f(0)\delta(t) 单位阶跃函数u(t)的导数为δ(t) 筛选性:∫−∞+∞δ(t−t0)f(t)dt=f(t0) F[δ(t−t0)]=e−jωt0 F[u(t)]=jω1+πδ(ω) f(t)δ(t)=f(0)δ(t)
c h a i n : 1 2 π ⇒ F δ ( t ) ⇒ F 1 ⇒ F 2 π δ ( t ) chain:\frac 1 {2\pi} \stackrel{\mathcal F}\Rightarrow \delta{(t)} \stackrel{\mathcal F}\Rightarrow 1 \stackrel{\mathcal F}\Rightarrow2\pi\delta(t) chain:2π1⇒Fδ(t)⇒F1⇒F2πδ(t)
卷积
f 1 ( t ) ∗ f 2 ( t ) = ∫ − ∞ + ∞ f 1 ( τ ) f 2 ( t − τ ) d τ 交 换 律 : f 1 ∗ f 2 = f 2 ∗ f 1 结 合 律 : f 1 ∗ ( f 2 ∗ f 3 ) = ( f 1 ∗ f 2 ) ∗ f 3 分 配 律 : f 1 ∗ ( f 2 + f 3 ) = f 1 ∗ f 2 + f 1 ∗ f 3 f ( t ) ∗ δ ( t ) = f ( t ) a [ f 1 ∗ f 2 ] = [ a f 1 ] ∗ f 2 d [ f 1 ∗ f 2 ] d t = d f 1 d t ∗ f 2 f_1(t)*f_2(t)=\int_{-\infty}^{+\infty}f_1(\tau)f_2(t-\tau)d\tau\\\ \\ 交换律:f_1*f_2=f_2*f_1\\\ \\ 结合律:f_1*(f_2*f_3)=(f_1*f_2)*f_3\\\ \\ 分配律:f_1*(f_2+f_3)=f_1*f_2+f_1*f_3\\\ \\ f(t)*\delta(t)=f(t)\\\ \\ a[f_1*f_2]=[af_1]*f_2\\\ \\ \frac{d[f_1*f_2]}{dt}=\frac{df_1}{dt}*f_2 f1(t)∗f2(t)=∫−∞+∞f1(τ)f2(t−τ)dτ 交换律:f1∗f2=f2∗f1 结合律:f1∗(f2∗f3)=(f1∗f2)∗f3 分配律:f1∗(f2+f3)=f1∗f2+f1∗f3 f(t)∗δ(t)=f(t) a[f1∗f2]=[af1]∗f2 dtd[f1∗f2]=dtdf1∗f2
卷 积 定 理 : F [ f 1 ∗ f 2 ] = F 1 ( ω ) ⋅ F 2 ( ω ) F [ f 1 ⋅ f 2 ] = 1 2 π F 1 ( ω ) ∗ F 2 ( ω ) f ( t ) ∗ δ ( t − t 0 ) = f ( t − t 0 ) 卷积定理:\\\ \\ \mathcal F[f_1*f_2]=F_1(\omega)\cdot F_2(\omega)\\\ \\\ \mathcal F[f_1\cdot f_2]=\frac 1 {2\pi}F_1(\omega) * F_2(\omega)\\\ \\ f(t)*\delta(t-t_0)=f(t-t_0) 卷积定理: F[f1∗f2]=F1(ω)⋅F2(ω) F[f1⋅f2]=2π1F1(ω)∗F2(ω) f(t)∗δ(t−t0)=f(t−t0)
# L a p l a c e Laplace Laplace变换
基本性质
F ( s ) = ∫ 0 + ∞ f ( τ ) e − s τ d τ = L [ f ( t ) ] f ( t ) = 1 2 π j ∫ β − j ∞ β + j ∞ F ( s ) e s t d s = L − 1 [ F ( s ) ] F(s)=\int_{0}^{+\infty}f(\tau)e^{-s\tau}d\tau=\mathcal{L}[f(t)]\\\ \\ f(t)= \frac 1 {2\pi j} \int_{\beta-j\infty}^{\beta+j\infty} F(s)e^{st}ds=\mathcal L^{-1}[F(s)] F(s)=∫0+∞f(τ)e−sτdτ=L[f(t)] f(t)=2πj1∫β−j∞β+j∞F(s)estds=L−1[F(s)]
1. 线 性 性 质 : L [ α f 1 ( t ) + β f 2 ( t ) ] = α F 1 ( s ) + β F 2 ( s ) 2. 位 移 性 质 : L [ e ± a t f ( t ) ] = F ( s ∓ a ) 3. 延 迟 性 质 : L [ f ( t − t 0 ) ] = e − s t 0 F ( s ) L − 1 [ e − s t 0 F ( s ) ] = f ( t − t 0 ) ⋅ u ( t − t 0 ) 1.线性性质:\\\ \\ \mathcal{L}[\alpha f_1(t)+\beta f_2(t)]=\alpha F_1(s)+\beta F_2(s)\\\ \\ 2.位移性质:\\\ \\ \mathcal L[e^{\pm at}f (t)]=F(s\mp a)\\\ \\ 3.延迟性质:\\\ \\ \mathcal L[f(t-t_0)]=e^{-st_0}F(s)\\\ \\ \mathcal L^{-1}[e^{-st_0}F(s)]=f(t-t_0)\cdot u(t-t_0) 1.线性性质: L[αf1(t)+βf2(t)]=αF1(s)+βF2(s) 2.位移性质: L[e±atf(t)]=F(s∓a) 3.延迟性质: L[f(t−t0)]=e−st0F(s) L−1[e−st0F(s)]=f(t−t0)⋅u(t−t0)
4. 微 分 性 质 L [ f ′ ( t ) ] = s F ( s ) − f ( 0 ) L [ f ′ ′ ( t ) ] = s 2 F ( s ) − s f ( 0 ) − f ′ ( 0 ) L [ f ( n ) ( t ) ] = s n F ( s ) − s n − 1 f ( 0 ) − s n − 2 f ′ ( 0 ) − ⋯ − f ( n − 1 ) ( 0 ) L [ t f ( t ) ] = − F ′ ( s ) L [ t n f ( t ) ] = ( − 1 ) n F ( n ) ( s ) L [ t f ′ ( t ) ] = − F ( s ) − s F ′ ( s ) L [ t f ′ ′ ( t ) ] = − ( 2 s F ( s ) + s 2 F ′ ( s ) − f ( 0 ) ) 4.微分性质\\\ \\ \mathcal L[f'(t)]=sF(s)-f(0)\\\ \\ \mathcal L[f”(t)]=s^2F(s)-sf(0)-f'(0)\\\ \\ \mathcal L[f^{(n)}(t)]=s^nF(s)-s^{n-1}f(0)-s^{n-2}f'(0)-\cdots-f^{(n-1)}(0)\\\ \\ \mathcal L [tf(t)] =-F'(s)\\\ \\ \mathcal L[t^nf(t)]=(-1) ^nF^{(n)}(s)\\\ \\ \mathcal L[tf'(t)]=-F(s)-sF'(s)\\\ \\ \mathcal L[tf”(t)]=-(2sF(s)+s^2F'(s)-f(0)) 4.微分性质 L[f′(t)]=sF(s)−f(0) L[f′′(t)]=s2F(s)−sf(0)−f′(0) L[f(n)(t)]=snF(s)−sn−1f(0)−sn−2f′(0)−⋯−f(n−1)(0) L[tf(t)]=−F′(s) L[tnf(t)]=(−1)nF(n)(s) L[tf′(t)]=−F(s)−sF′(s) L[tf′′(t)]=−(2sF(s)+s2F′(s)−f(0))
5. 积 分 性 质 : L [ ∫ 0 t f ( t ) d t ] = 1 s F ( s ) L [ ∫ 0 t ∫ 0 t ∫ 0 t ⋯ n t i m e s f ( t ) d t ] = 1 s n F ( s ) L [ f ( t ) t ] = ∫ s ∞ F ( s ) d s ⋆ ∫ 0 + ∞ f ( t ) t e − s t d t = ∫ s ∞ F ( s ) d s 取 s = 0 ∫ 0 + ∞ f ( t ) t d t = ∫ 0 ∞ F ( s ) d s 5.积分性质:\\\ \\ \mathcal L[\int_0^tf(t)dt]=\frac 1 s F(s)\\\ \\ \mathcal L[\int_0^t\int_0^t\int_0^t\stackrel{n\space times}\cdots f(t)dt]=\frac 1 {s^n} F(s)\\\ \\ \mathcal L[\frac{f(t)} t]=\int _s^\infty F(s)ds\\\ \\ \star \int_0^{+\infty}\frac{f(t)} t e^{-st}dt=\int_s^\infty F(s) ds \\取s=0\\ \int_0^{+\infty}\frac{f(t)} t dt=\int_0^\infty F(s) ds 5.积分性质: L[∫0tf(t)dt]=s1F(s) L[∫0t∫0t∫0t⋯n timesf(t)dt]=sn1F(s) L[tf(t)]=∫s∞F(s)ds ⋆∫0+∞tf(t)e−stdt=∫s∞F(s)ds取s=0∫0+∞tf(t)dt=∫0∞F(s)ds
卷积
卷 积 定 理 : L [ f 1 ∗ f 2 ] = F 1 ( s ) ⋅ F 2 ( s ) f 1 e a t ∗ f 2 e a t = e a t f 1 ∗ f 2 卷积定理:\\\ \\ \mathcal L[f_1*f_2]=F_1(s)\cdot F_2(s)\\\ \\\ f_1e^{at}*f_2e^{at}=e^{at}f_1*f_2 卷积定理: L[f1∗f2]=F1(s)⋅F2(s) f1eat∗f2eat=eatf1∗f2
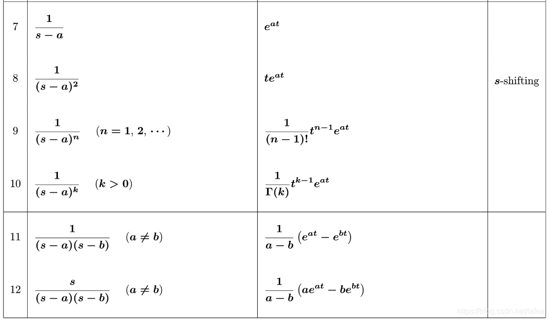
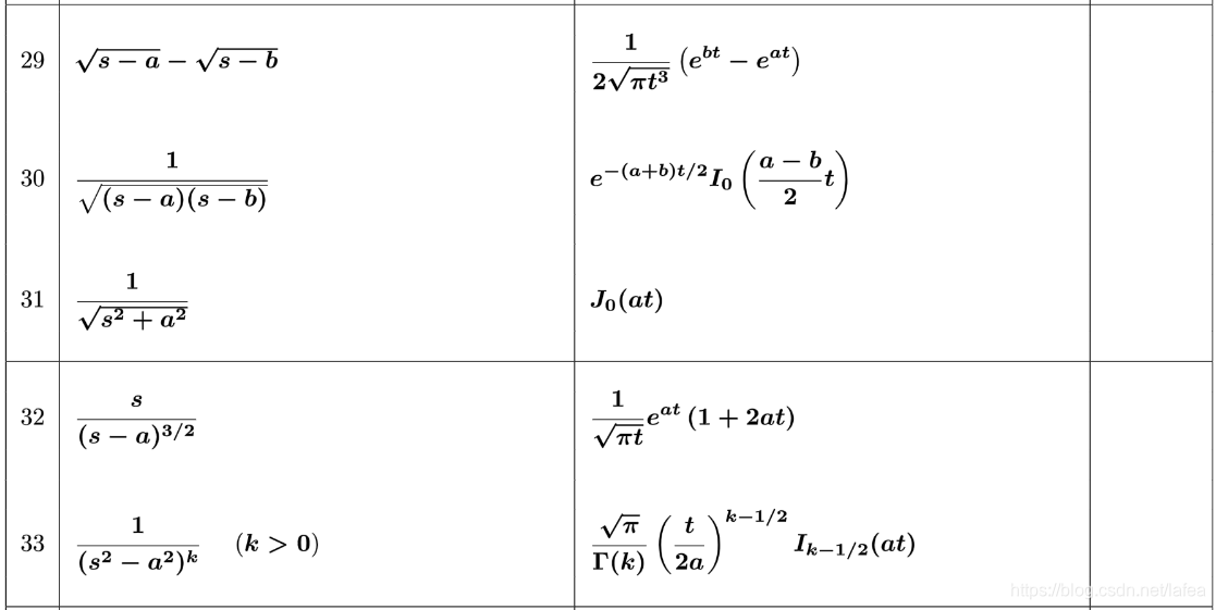
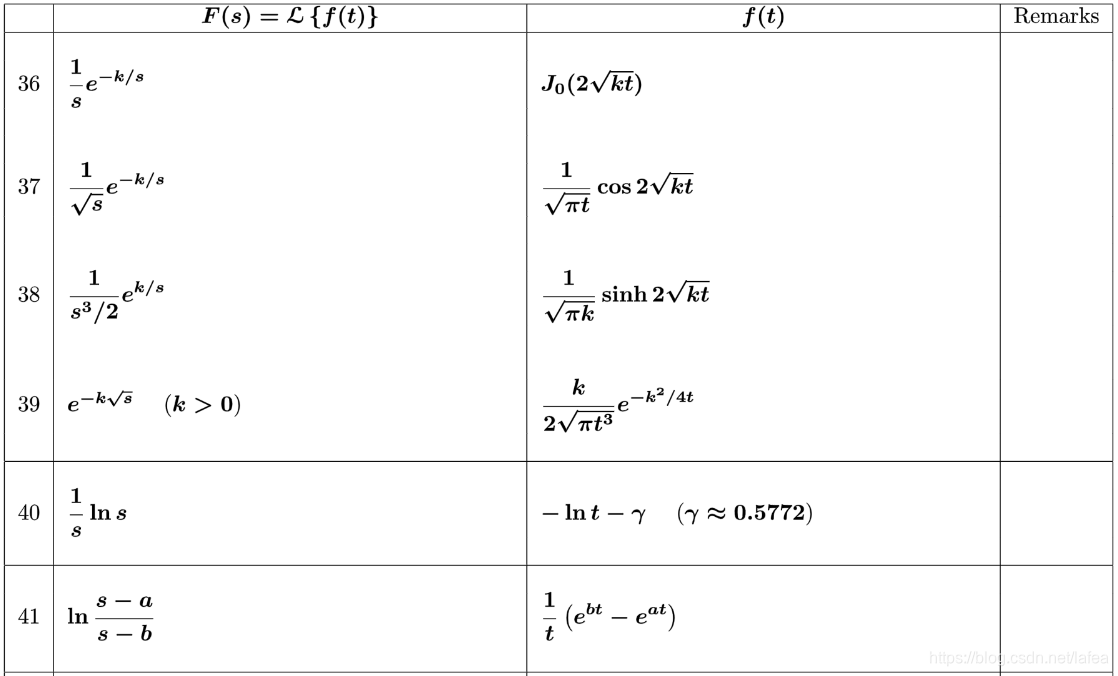
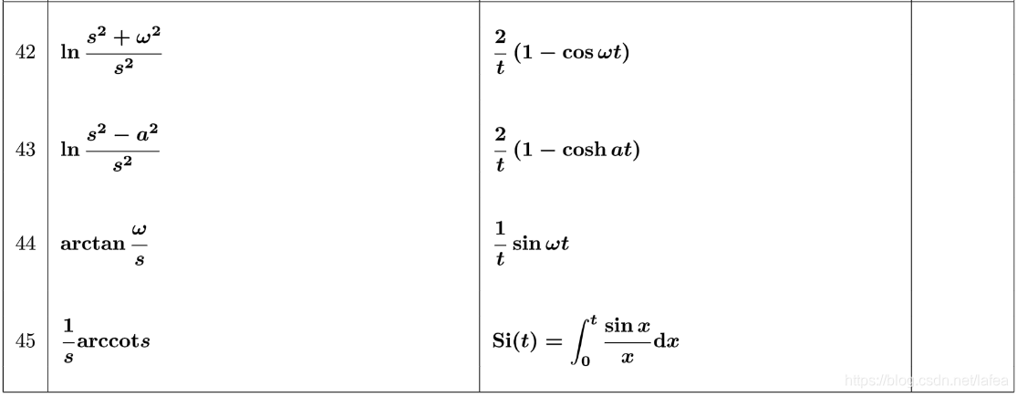
公式大全
L [ e b t u ( t − a ) ] = e − a ( s − b ) s − b \mathcal L[e^{bt}u(t-a)]=\frac{e^{-a(s-b)}}{s-b} L[ebtu(t−a)]=s−be−a(s−b)
求拉氏逆变换
公式法
直接套用公式 / 化简后套用公式 / 有理分式拆开后套用公式
留数法
免责声明:本站所有文章内容,图片,视频等均是来源于用户投稿和互联网及文摘转载整编而成,不代表本站观点,不承担相关法律责任。其著作权各归其原作者或其出版社所有。如发现本站有涉嫌抄袭侵权/违法违规的内容,侵犯到您的权益,请在线联系站长,一经查实,本站将立刻删除。 本文来自网络,若有侵权,请联系删除,如若转载,请注明出处:https://haidsoft.com/129887.html









