大家好,欢迎来到IT知识分享网。
一、电力系统概论
1. 电力系统和供配电系统概述
1.1电力系统
- 电能:是一种清洁的二次能源。
- 二次能源:经过加工,转化成另一种形态的能源
- 电力系统 = 发电厂 + 变电所 + 电力线路 + 电能用户 供配电系统
- 发电厂:将一次能源转换成电能
- 变电所:接收电能,变换电压和分配电能
- 电力线路:将发电厂、变电所、和电能用户 连接起来,完成输送电能和分配电能的任务
- 电能用户:又称电力负荷,所有消耗电能的用电设备或用电单位
- 世界上所有国家主要发电形式仍为火力发电、水力发电、核能发电,其他除潮汐和风力发电
- 变电所:升压变电所+降压变电所,从规模上分,变电所有枢纽变电所,地区重要变电所和一般变电所
- 枢纽变电所:一次电压330kv和500kv,二次电压为220kv或110kv
- 地区重要变电所:一次电压220kv和330kv,二次电压为110kv、35kv或10kv
- 一般变电所:设在负荷中心,尽可能靠近用户,一次电压大多为110kv,二次电压为10kv或以下等级
- 电力系统特性:
- 整体性
- 即发即用
- 实时性,随机性
1.2供配电系统
供配电系统:由总降压变电所、高压配电所、配电线路、车间变电所和用户设备组成
供配电基本要求::安全,可靠,优质,经济
2.电力系统的额定电压
- 电力系统的电压是有等级的,电力系统额定电压包括电力系统中的各种发电、供电、用电设备的额定电压。
- 额定电压:是能使电气设备长期运行在经济效果最好的电压。又叫标称电压
- 系统最高电压:是指在正常运行条件下,在系统的任何时间和任何点上出现的电压的最高值,不包括电压瞬变
- 我国电压等级划分为:
| 电压等级 | 范围 |
|---|---|
| 特低(安全电压) | 6V、12V、24V、36V、42V |
| 低压 | 220v~660v |
| 高压 | 3kv~220kv |
| 超高压 | 330kv~750kv |
| 特高压 | 1000kV及以上交流、及以上直流 |
- 电网(线路)的额定电压:只能选用国家规定的系统标称电压。是确定各类电气设备额定电压的基本依据。
- 用电设备的额定电压:与同级电网的额定电压相同。
- 发电机的额定电压:为线路电压的105%,即UN.G=1.05UN
- 变压器的额定电压
- 一次绕组的额定电压:与发电机直接相连的升压变压器的一次绕组的额定电压应与发电机额定电压相同。连接线路上的降压变压器的一次绕组的额定电压应与线路的额定电压相同。
- 二次绕组的额定电压: 变压器的二次绕组向负荷供电,相当于发电机。当线路较长(如35kV及以上高压线路),变压器二次绕组的额定电压应比相联线路的额定电压高10%(5%用于补偿变压器绕组内部压降,5%用于补偿线路压降);当线路较短(直接向高低压用电设备供电,如10kV及以下线路),二次绕组的额定电压应比相联线路的额定电压高5%(仅考虑补偿变压器内部压降)。
- 重点例题1-1
解答:
a
a
a
a
a
a
3.电力系统的运行状态和中性点运行方式
3.1电力系统运行状态
- 电力系统的运行状态由运行参数电压、电流、功率、频率等表征。
- 电力系统的运行状态分为稳态和暂态
- 电力系统的稳态:指电力系统正常的,变化较慢较小的运行状态,运行参数与时间无关,可用代数方程描述
- 电力系统的暂态:电力系统非正常的,变化较大的运行状态,以致引起系统从一个稳定运行状态向另一个稳定的运行状态过度的变化过程。运行参数与时间有关,可用微分方程描述
- 电力系统的运行状态分为正常运行状态、异常运行状态、故障状态、和待恢复状态。
- 如系统运行条件恶化,如过负荷、低电压、单相接地等,系统便进入异常运行状态,亦称报警状态,系统不安全
- 系统处于异常运行状态应采取有效措施,恢复正常运行状态,若措施不当或又发生故障,系统便进入故障状态。
- 系统处于故障状态,保护装置或自动装置应快速动作,切除故障设备或线路,系统便进入待恢复状态。
3.2电力系统的中性点运行方式
3.2.1中性点不接地电力系统
- 线电压对称,各相对地电压对称,等于各相的相电压,中性点对地电压为零,各相对地电容电流也对称,其电容电流的向量和为零
- 发生单相接地短路故障:接地相(C相)对地电压为零,非接地相对地电压升高为线电压,即等于相电压的 √3倍 。从而,接地相电容电流为零,非接地相对地电容电流也增大 倍。因此,要求电气设备的绝缘水平也提高,在高电压系统中,绝缘水平的提高将使设备费用大为增加 。C相接地时,系统的接 地电流,(流过接地点的电容电流)应为A、B两相对地电容电流之和。取接地电流的正方向从相线到大地,因此,单相接地的接地电流为正常运行时每相对地电容电流的3倍。
3.2.2中性点经消弧线圈接地电力系统
- 中性点不接地系统的单相接地电流超过规定值时,为了避免产生断续电弧,引起过电压和造成短路,减小接地
电弧电流使电弧容易熄灭,中性点应经消弧线圈接地。消弧线圈实际上就是电抗线圈。 当中性点经消弧线圈
接地系统发生单相接地时,流过接地点的电流是接地电容电流和流过消弧线圈的电感电流之相量和。两电流相
抵后使流过接地点的电流减小。
3.2.3中性点直接接地电力系统
- 中性点直接接地系统发生单相接地时,通过接地中性点形成单相短路,产生很大的短路电流,继电保护动作切除故障线路,使系统的其它部分恢复正常运行。因此,直接接地系统供电安全性较差。由于中性点直接接地,发生单相接地时,中性点对地电压仍为零,非接地相对地电压也不发生变化。
3.2.4中性点经电阻接地电力系统
- 中性点经高电阻接地
- 中性点经低电阻接地:若采用中性点经消弧线圈接地方式无法完全消除接地故障点的电弧和抑制谐振过电压,可采用中性点经低电阻接地方式。该方式具有切除单相接地故障快,过电压水平低的优点。
4.电能的质量指标
- 电力系统的电能指标是指电压、频率和波形的质量
- 电能的质量指标主要包括:电压偏差、电压波动、闪变、及三相电压不平衡、频率偏差和谐波等
- 电压的质量:以电压偏差、电压波动与闪变和三相不平衡等指标衡量。
- 频率的质量:以频率偏差来衡量
- 波形的质量:以谐波电压含有率,间谐波电压含有率和电压波形畸变率来衡量。
- 电压偏差:实际电压对系统标称电压的偏差相对值。
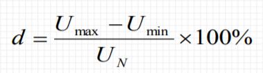
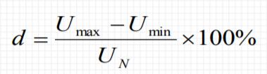
- 电压波动:指电压方均根值(有效值)一系列的变动或连续的变化。电压方均根值变动的时间特性曲线上相邻两个极值电压最大值Umax与电压最小值Umin之差。
- 电压变动频度:是指单位时间内电压波动的次数
- 电压闪变:是电压波动在一段时间内的累计效果。电压闪变程度主要用短时间闪变值和长时间闪变值来衡量。
- 三相电压不平衡:在三相交流系统中,如果三相电压在幅值不等或相位差不为120° ,或兼而有之时称为三相电压不平衡。
- 频率质量指标:世界上的电网的额定频率有两种:50Hz和60Hz
- 波形质量指标:供电电力系统中,由于有大量非线性负荷,其电压、电流波形不是正弦波形,而是不同程度畸变的非正弦波。非正弦波通常是周期性交流量,含基波和各次谐波。
5.电力负荷
5.1按负荷种类分类
- 一级负荷:为中断供电将造成人身伤亡者;中断供电将在经济上造成重大损失的负荷 ;中断供电将影响有重大政治、经济影响的用电单位的正常工作的负荷。一级负荷应由两个独立电源供电。所谓独立电源,就是当一个电源发生故障时,另一个电源应不致同时受到损坏。在一级负荷中的特别重要负荷,除上述二个独立电源外,还必须增设应急电源。
- 二级负荷:二级负荷应由两回线路供电,在负荷较小或地区供电条件较差时,二级负荷可由一回6kV及以上专用的架空线路供电。
- 三级负荷:三级负荷为不属于一级和二级负荷者。对一些非连续性生产的中小型企业,停电仅影响产量或造成少量产品报废的用电设备,以及一般民用建筑的用电负荷等均属三级负荷。 三级负荷对供电电源没有特殊要求。
5.2按负荷工作制分类
- 连续工作制负荷:是指长时间连续工作的用电设备,其特点是负荷比较稳定,连续工作发热使其达到热平衡状态,其温度达到稳定温度,用电设备大都属于这类设备。如泵类、通风机、压缩机、电炉、运输设备、照明设备等。
- 短时工作制负荷:是指工作时间短、停歇时间长的用电设备。其运行特点为工作时其温度达不到稳定温度,停歇时其温度降到环境温度,此负荷在用电设备中所占比例很小。如机床的横梁升降、刀架快速移动电动机、闸门电动机等。
- 反复短时工作制负荷:是指时而工作、时而停歇、反复运行的设备,其运行特点为工作时温度达不到稳定温度,停歇时也达不到环境温度。如起重机、电梯、电焊机等。
负荷持续率ε:
tw为工作时间,to为停歇时间,T为工作周期。
免责声明:本站所有文章内容,图片,视频等均是来源于用户投稿和互联网及文摘转载整编而成,不代表本站观点,不承担相关法律责任。其著作权各归其原作者或其出版社所有。如发现本站有涉嫌抄袭侵权/违法违规的内容,侵犯到您的权益,请在线联系站长,一经查实,本站将立刻删除。 本文来自网络,若有侵权,请联系删除,如若转载,请注明出处:https://haidsoft.com/132968.html



