大家好,欢迎来到IT知识分享网。
一、放大的概念
放大的特征是功率的放大,本质上是能量的控制和转换。放大的必要条件是有源元件,前提是信号不失真。
二、构建基本放大电路
目标:将小功率信号变为大功率信号;
条件:元件和电源;
技术路线:1、三极管处于放大状态(发射结正偏,集电结反偏);
2、小信号控制
3、合理的输出。
例子:下图的电路是否具有放大功能。答案是不能,输入回路有小信号
什么是静态工作点?
在放大电路中,当有信号输入时,交流量与直流量共存。将输入信号为零、即直流电源单独作用时晶体管的基极电流








正确的基本共射放大电路因该是:
作为硬件工程师看到这个电路,内心很恼火,如此简单的电路居然要使用两个电源。于是呢,必须要做出优化:假如把

要保证集电结反偏,我们可以控制

于是再加一个电阻,根据叠加定理,此时b点的信号才是直流和交流的叠加,三极管才正常工作,该电路被称为直接耦合共射放大电路。
名词解释:
耦合:电路之间信号的传递称为信号的耦合;
直接耦合:输入输出直接加在三极管上,不经过其他元件,称为直接耦合。
对于上述直接耦合共射放大电路,又有一些问题:输入信号


所以我们现在的目标是去直流通交流,这不正是电容的特性吗,于是在输入端把电阻
三、放大电路的性能指标
1、放大倍数
放大倍数是直接衡量放大电路放大能力的重要指标,其值为输出量与输入量之比。对于小功率放大电路,人们常常只关心电路单一指标的放大倍数,如电压放大倍数,而不研究其功率放大能力。电压放大倍数是输出电压与输入电压之比。
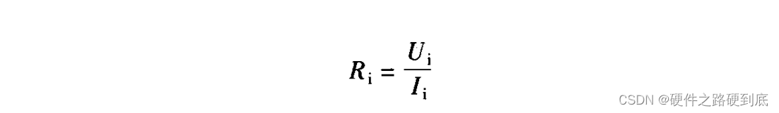
2、输入电阻
放大电路与信号源相连接就成为信号源的负载,必然从信号源索取电流电流的大小表明放大电路对信号源的影响程度。输入电阻






3、输出电阻
任何放大电路的输出都可以等效成一个有内阻的电压源,从放大电路输出端看进去的等效内阻称为输出电阻



4、通频带
通频带用于衡量放大电路对不同频率信号的放大能力。由于放大电路中电容、电感及半导体器件结电容等电抗元件的存在,在输人信号频率较低或较高时,放大倍数的数值会下降并产生相移。一般情况,放大电路只适用于放大某一个特定频率范围内的信号。下图所示为某放大电路放大倍数的数值与信号频率的关系曲线,称为幅频特性曲线,图中
免责声明:本站所有文章内容,图片,视频等均是来源于用户投稿和互联网及文摘转载整编而成,不代表本站观点,不承担相关法律责任。其著作权各归其原作者或其出版社所有。如发现本站有涉嫌抄袭侵权/违法违规的内容,侵犯到您的权益,请在线联系站长,一经查实,本站将立刻删除。 本文来自网络,若有侵权,请联系删除,如若转载,请注明出处:https://haidsoft.com/139513.html








