大家好,欢迎来到IT知识分享网。
一、提出问题
二、定义
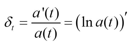
设积累函数连续可导,则时刻 t 的利息力为
三、单利在 t 时刻的利息力
单利的利息力是时间的递减函数
四、复利在时刻 t 的利息力
复利的利息力是常数!与时间无关。

转载于:https://www.cnblogs.com/wander-clouds/p/8568947.html
免责声明:本站所有文章内容,图片,视频等均是来源于用户投稿和互联网及文摘转载整编而成,不代表本站观点,不承担相关法律责任。其著作权各归其原作者或其出版社所有。如发现本站有涉嫌抄袭侵权/违法违规的内容,侵犯到您的权益,请在线联系站长,一经查实,本站将立刻删除。 本文来自网络,若有侵权,请联系删除,如若转载,请注明出处:https://haidsoft.com/140506.html





