大家好,欢迎来到IT知识分享网。
🎓作者简介:科技自媒体优质创作者
🌐个人主页:莱歌数字-CSDN博客
💌公众号:莱歌数字
📱个人微信:yanshanYH
211、985硕士,职场15年+
从事结构设计、热设计、售前、产品设计、项目管理等工作,涉足消费电子、新能源、医疗设备、制药信息化、核工业等领域
涵盖新能源车载与非车载系统、医疗设备软硬件、智能工厂等业务,带领团队进行多个0-1的产品开发,并推广到多个企业客户现场落地实施。
专题课程
Flotherm电阻膜自冷散热设计(90分钟实操)
Flotherm通信电源风冷仿真教程(实操)
基于FloTHERM电池热仿真(瞬态分析)
基于Flotherm的逆变器风冷热设计(零基础到精通)实操
每日篇行业发展资讯,让大家更及时了解外面的世界。
更多资讯,请关注B站/公众号【莱歌数字】,有视频教程~~
本期给大家带来的是关于功率损耗的计算方法研究内容,希望对大家有帮助。
之前有很多人在问,做热设计、仿真分析时,器件的损耗怎么来的。一般有三种方法:包含理论计算、软件仿真、以及实验测试。
今天给大家分享的是理论计算,即拿到元器件的相关资料,通过初步的计算获得元器件的理论损耗值,可用于仿真评估设计方案的可行性。
随着电力电子功率器件向高功率密度方向的发展, 元件单位体积内的热量也相应增加。
在大功率高频通信电源等设备中功率开关器件的电能损耗尤其突出, 这部分消耗功率会转变为热量使功率器件管芯发热、结温升高, 如果不能及时、有效地将此热量释放, 就会影响到器件的工作性能, 从而降低系统工作的可靠性, 甚至损坏器件。
电力电子设备中的功率器件在工作时其自身也会消耗一定的电能, 把单位时间内功率器件所消耗的电能称作为器件的功率损耗。
器件的功率消耗将导致其结温升高从而产生了散热冷却的要求; 而散热器在单位时间内所散发出的热能量叫耗散功率。在设备正常稳定工作时, 器件的功率损耗和散热器的耗散功率将达到平衡, 器件的温度也不会继续升高, 即系统达到了热平衡状态。
而PCB中工作的功率器件,功耗往往很大。它们作为热源,会影响整个PCB的散热分布。因此,在研究PCB的散热分析之前,首先要根据器件的数据手册以及电路的工作参数来计算其功率损耗。
功率器件的功率损耗一般分为通态损耗、开通损耗、关断损耗以及断态漏电流损耗。下面给出了各种损耗的计算公式:
通态损耗
功率器件的工作状态是周期性变化的,通态损耗与器件的占空比有关系。当器件的输出占空比为平均损耗为δ时,平均通态损耗如下:
上式中,IDS为脉冲电流幅值;Uon为器件的通态压降;δ为输出波形占空比。实际应用中器件手册里大多给的是器件的通态电阻。所以,上式可表示为:
式中,RDS为器件的通态电阻。
开关损耗
器件的开关损耗由开通损耗和关断损耗构成。器件在工作过程中不断地开通和关断,电压与电流产生了剧烈的变化,由此产生了较大的损耗。
器件的开关损耗占了总功耗的很大部分。当器件高频工作时,开关损耗会成为功率损耗的主要部分。功率器件的开关损耗公式如下:
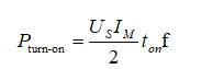
开通损耗:
关断损耗:
式中,US为段太电压值;IM为通态电流值;f为开关频率值;ton为开通时间值;toff为关断时间值。
断态损耗:
一般情况下,功率器件关断时,漏电流非常微小,可以视为无损耗,比如MOSFET器件。但有些大功率器件,比如IGCT。断态电压US很高,其漏电流仍会产生不可忽略的断态功率损耗Pco,其公式为:
式中,Ico为器件漏电流;US为断态电压;δ为器件输出波形占空比。
器件的总功耗由通态损耗、开关损耗和断态损耗组成,其表达式为:
以IR公司的IRF048N MOSFET损耗计算为例。
计算条件:MOSFET两端最大值电压VDS=50V,流入MOS电流ID=50A。ID为最大峰值电流。开关频率100Hz,占空比D=0.5。
驱动电压VGS=15V。MOSFET栅极驱动Qg=89nc。MOSFET损耗包括驱动损耗,开通损耗,导通损耗,关断损耗。
芯片手册:Qg=89nc,Tr=78ns,Tf=48ns
驱动损耗PQ:
开通损耗PT:
导通损耗PON:
关断损耗PF:
总损耗PW:
开关频率很低,基本上都在导通损耗上。
免责声明:本站所有文章内容,图片,视频等均是来源于用户投稿和互联网及文摘转载整编而成,不代表本站观点,不承担相关法律责任。其著作权各归其原作者或其出版社所有。如发现本站有涉嫌抄袭侵权/违法违规的内容,侵犯到您的权益,请在线联系站长,一经查实,本站将立刻删除。 本文来自网络,若有侵权,请联系删除,如若转载,请注明出处:https://haidsoft.com/141041.html












