大家好,欢迎来到IT知识分享网。
不定积分
1.定义
如果函数 F(x) 满足 F′(x)=f(x),则称 F(x) 是 f(x) 的一个原函数。不定积分
表示 f(x) 的所有原函数,通常写成:
其中,C是积分常数,表示原函数的不确定性。 f(x)是被积函数,dx表示对 x 的积分变量。
不定积分的结果是一个函数簇,而不是一个具体的数值。其几何含义是一组平行的曲线簇。
2.基本积分公式
常数积分:

幂函数积分:

指数函数积分:

对数函数积分:
三角函数积分:
反三角函数积分:
3.换元积分法
3.1 第一类换元积分法
3.2 第二类换元积分法
第二类换元积分法通常涉及三角函数替换或带根号形式的替换。
定积分
定积分是微积分中的一个重要概念,用于求解函数在某个区间上的累积效应或面积。

定积分
的几何意义是函数 f(x) 在区间 [a,b]上的曲线下面积。具体来说:
- 如果 f(x)≥0,则定积分表示曲线下方的面积。
- 如果 f(x)≤0,则定积分表示曲线上方的面积的负值。
3.性质
定积分具有以下重要性质:
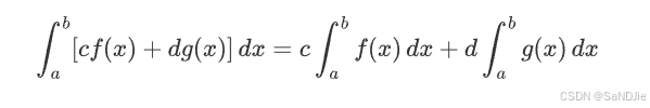
- 线性性质:
其中 c 和 d 是常数。
- 区间可加性:
其中 a≤c≤b。
- 积分上下限交换:
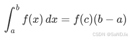
- 定积分中值定理
如果函数 f(x) 在闭区间 [a,b] 上连续,则存在 c∈[a,b],使得:
4.微积分基本公式
牛顿-莱布尼茨公式
5.定积分换元法
步骤
选择合适的变量替换: 选择一个合适的变量替换 t=g(x),使得积分变得更简单,并求反函数:
求导数: 对 x 的导数
替换积分变量: 将原积分中的 x 替换为 t,并将 dx 替换为
确定新的积分上下限: 将原积分的上下限 a 和 b 替换为新的上下限 t 的值。即 t 的下限为 t1,上限为 t2。
求解新积分: 求解新的定积分
多元函数
1.二元极限
定义
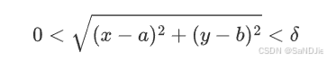
设函数 f(x,y) 在点 (a,b) 的某个去心邻域内有定义。如果对于任意给定的正数 ϵ,总存在正数 δ,使得当
时,总有:
∣f(x,y)−L∣<ϵ
则称 L 为函数 f(x,y)在点 (a,b)处的极限,记作:
几何意义
当点 (x,y)从任意方式趋近于点 (a,b) 时,函数 f(x,y) 的值趋近于 L。换句话说,函数图像在二维平面的点 (a,b)附近趋近于一个三维立体平面上的点 (a,b,L)。可将(a,b)想象为(a,b,L)投影在二维平面的点。
如果 (x,y)从不同方式趋近于点 (a,b),函数 f(x,y) 的值不相等,则表示 f(x,y) 不存在。
2.偏导数
偏导数是多元函数求导的一种形式,表示在多个自变量中,当其中一个自变量改变而其他自变量保持不变时函数值的变化率。
这实质上是将其他自变量视为常数,然后按照单变量函数求导的方法进行运算。
定义
设函数 f(x,y) 在点 (x0,y0) 的某个邻域内有定义。如果极限:
存在,则称此极限为函数 f(x,y)在点 (x0,y0) 处对 x 的偏导数,记作:
类似地,如果极限:
存在,则称此极限为函数 f(x,y)在点 (x0,y0)处对 y的偏导数,记作:
偏导数的计算方法
对于二元函数z=f(x,y),求z对x的偏导数时,将y看作常量,对x求导;求z对y的偏导数时,将x看作常量,对y求导。
3.全微分
定义
如果函数z=f(x, y)在点(x, y)处的全增量
可以表示为
,其中A、B不依赖于Δx, Δy,仅与x, y有关,ρ趋近于0(ρ=√[(Δx)²+(Δy)²]),此时称函数z=f(x, y)在点(x, y)处可微分,AΔx+BΔy称为函数z=f(x, y)在点(x, y)处的全微分,记为dz即dz=AΔx +BΔy。
可微的必要条件条件
若z=f(x,y)在(x,y)点处可微,则偏导数
存在,并且
可微的充分条件
z=f(x,y)在(x,y)的某个邻域内有连续的偏导数
则在(x,y)处可微,
4.梯度
梯度是一个向量,表示多元函数在某一点处的最大变化率和变化方向。
定义
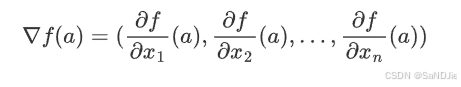
设 f(x1,x2,…,xn)是一个定义在 Rn(n维欧几里得空间) 上的多元函数,函数 f在n维向量点 a=(a1,a2,…,an)处的梯度定义为:
其中,
是函数 f 在点 a 处对第 i 个自变量的偏导数。
性质
- 最大变化率:梯度 ∇f(a) 的方向是函数 f在点 a 处变化率最大的方向。
- 变化率:梯度 ∇f(a) 的大小(模)是函数 f 在点 a 处沿梯度方向的变化率。
沿梯度方向是是函数 f在点 a 处变化率增加最大的方向;沿梯度反方向是是函数 f在点 a 处变化率减小最大的方向;沿梯度垂直方向函数 f在点 a 处变化率为0。
梯度下降
梯度下降是一种优化算法,用于寻找多元函数的最小值。其基本思想是沿着函数的负梯度方向逐步更新参数,以减少函数值。
算法步骤
- 初始化:选择一个初始点 x0。
- 迭代更新:对于每次迭代 k,计算当前点的梯度
,并更新参数:
其中,η 是学习率(步长),控制每次更新的步幅。
- 终止条件:当梯度的模足够小或达到预设的迭代次数时,停止迭代。通常,终止条件可以是以下几种:
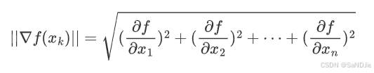
- 梯度的模足够小:当梯度的模(或范数)
小于某个阈值时,停止迭代。
说明:
梯度的范数表示梯度向量的大小,即梯度向量的长度。
梯度的范数(模) ∥∇f(xk)∥是这个向量的欧几里得长度,定义为:
- 达到预设的迭代次数:当迭代次数达到预设的最大迭代次数时,停止迭代。
- 函数值变化足够小:当函数值的变化
小于某个阈值时,停止迭代。
- 梯度的模足够小:当梯度的模(或范数)
学习率
学习率 η是一个重要的超参数,控制着每次更新的步幅。选择合适的学习率对于梯度下降算法的性能至关重要:
- 学习率过大:如果步幅过大,算法可能会“跳过”最优解,导致在最优解附近来回震荡。
- 学习率过小:可能导致算法收敛速度过慢。
5.二重积分
二重积分是多元微积分中的一个重要概念,用于计算二维区域上的函数积分。它通常用于计算平面区域上的面积、质量、重心等问题。二重积分的基本思想是将一个二维区域分割成无数个小区域,然后在每个小区域上计算函数值的积分。
定义
设 f(x,y)f(x,y) 是定义在平面区域 D 上的函数,二重积分记作:
其中 dA表示面积元素。
几何意义
如果 f(x,y)是非负函数,二重积分
表示以 D 为底、以 f(x,y)为顶的曲顶柱体的体积。
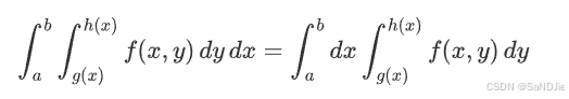
二重积分的计算步骤-直角坐标系
在直角坐标系下,二重积分可以表示为两个定积分的乘积:
其中 D 是由 x=a 到 x=b 以及 y=g(x)到 y=h(x) 围成的区域。
- 确定积分区域 D:首先,你需要确定积分区域 D的边界。这个区域可以是矩形、圆形、多边形等。
- 设置积分限:根据积分区域 D,设置积分的限。例如,对于直角坐标系中的矩形区域,积分限通常是 a≤x≤b 和 c≤y≤d。
- 写出积分表达式:根据积分限写出二重积分的表达式:
- 计算内层积分:先对 y 进行积分,得到关于 x 的表达式。
- 计算外层积分:再对 x 进行积分,得到最终的积分值。
三角函数
1. 基本定义
- 正弦函数(sin):
- 余弦函数(cos):
- 正切函数(tan):
2. 基本关系
2.1 毕达哥拉斯恒等式
这个恒等式可以从直角三角形的勾股定理推导出来。
2.2 商数关系
2.3 倒数关系
3. 三角函数的周期性
- 正弦函数和余弦函数:
其中,k 是任意整数。
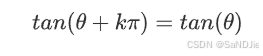
- 正切函数:
其中,k 是任意整数。
4. 三角函数的对称性
- 正弦函数:
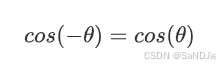
- 余弦函数:
- 正切函数:
5. 三角函数的和差公式
- 正弦函数的和差公式:
- 余弦函数的和差公式:
- 正切函数的和差公式:
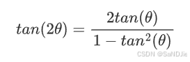
6. 三角函数的倍角公式
- 正弦函数的倍角公式:
- 余弦函数的倍角公式:
- 正切函数的倍角公式:
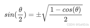
7. 三角函数的半角公式
- 正弦函数的半角公式:
- 余弦函数的半角公式:
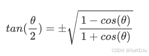
- 正切函数的半角公式:
免责声明:本站所有文章内容,图片,视频等均是来源于用户投稿和互联网及文摘转载整编而成,不代表本站观点,不承担相关法律责任。其著作权各归其原作者或其出版社所有。如发现本站有涉嫌抄袭侵权/违法违规的内容,侵犯到您的权益,请在线联系站长,一经查实,本站将立刻删除。 本文来自网络,若有侵权,请联系删除,如若转载,请注明出处:https://haidsoft.com/141227.html



















































