大家好,欢迎来到IT知识分享网。
1.1基本电量
1.带电粒子运动形成电流
电流由带电粒子的移动产生,带电粒子的定向运动则必须施加定向的电场,电场又是由于电动势产生的
2.电流的描述、电荷能量守恒
某种能量形式->电动势->电场(电能)->电压->其他能量形式
3.有源无源网络,功率
最基本的抽象元件:
储能:
端口定义:这里说的是一个端口
4.器件基础:二极管
3.电路定理
1.几种电压源电流源表现形式
2.线性内阻电源:
理想电压源电流源是没有内阻的但一般情况下都想有内阻的,且一般都不是直线,但实际的分析中我们可以把曲线抽象成直线,这样可以简化分析过程(直线伏安特性)
上面有流控形式即带内阻电压源表现形式图(与电阻串联,戴维南电压源)
分析方法:把i-v图像特性曲线化为数学语言成为约束方程,画出等效电路
同理,我们可以从上面线性内阻电源公式推出压控形式即带内阻的电流源(与电阻并联,诺顿电压源)
3.源负载功率分析
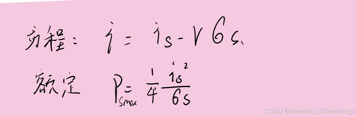
1.最大功率条件推导:
2.戴维南电压源和诺顿电流源的端口转化:v->i R->G 可推出诺顿电流源的端口额定功率
3.由此可推出对偶定理
串联RLC对应并联GCL
| 对偶电路元器件摆置 | |||||
| 串联 | 电压源 | 电阻 | L | C | 开路电压 |
| 并联 | 电流源 | 电导 | C | L | 短路电压 |
| 分压系数 | 电阻 | v |
| 分流系数 | 电导 | i |
串联总电阻等于串联总电阻之和
并联总电导等于并联总电导之和
4.单端口网络等效 加压求流,加流求压
1.不含源的端口等效:
示例:
上面有加压、加流、量纲验证方法、极端情况验证方法
下面是惠斯通电桥推导过程
2.推出替代定理
3.含源的端口等效
4.推出戴维南定理
5.由戴维南定理类比推出诺顿定理
6.回顾,更新解题方式
5.二端口网络等效
1.例子
1.等效示意图
2.对端口1进行加压分析
3.对端口2进行加流分析
4.将两个端口合并运用叠加定理
我们可以看出这个二端口的网络之间端口1,2参量之间互相影响,为了简化网络,引入了受控源。
2.受控源
1.引入受控源的概念
受控源实际上是端口之间作用关系的抽象描述
2.对每个量进行分析:
3.转换表述形式:(更简便)
4.多种受控源
5.基本单向放大器
4.完备方程列写方法
1.二端口的戴维南定理和诺顿定理
1.无独立源
2.有独立源
3.根据对偶定理推诺顿定理
4.由此推出二端口网络的多种表达形式:
、
教材:《电子电路系统基础》李国林主编
暂定更新目录:
8.27更新网络参量 二极管
8.28-29晶体管 MOSFET
8.30 BJT
8.31反相电路 数字门
9.1小信号放大 大信号放大
免责声明:本站所有文章内容,图片,视频等均是来源于用户投稿和互联网及文摘转载整编而成,不代表本站观点,不承担相关法律责任。其著作权各归其原作者或其出版社所有。如发现本站有涉嫌抄袭侵权/违法违规的内容,侵犯到您的权益,请在线联系站长,一经查实,本站将立刻删除。 本文来自网络,若有侵权,请联系删除,如若转载,请注明出处:https://haidsoft.com/141602.html

































