大家好,欢迎来到IT知识分享网。
定义
1.向量可以用多种方式定义,以下是几种常见的定义:
- 几何定义:向量是一个有方向和大小的量,通常用箭头表示。向量的起点称为原点,终点称为向量的端点。
- 代数定义:向量是一个有序的数组,通常表示为列向量或行向量。
2.例如,一个 n 维列向量可以表示为:
一个 n 维行向量可以表示为:
其中 v1,v2,…,vn是向量的分量。
行向量和列向量再本质上没有区别。
2.向量的表示
向量可以用多种方式表示,以下是几种常见的表示方法:
- 几何表示:在二维或三维空间中,向量通常用箭头表示,箭头的方向表示向量的方向,箭头的长度表示向量的大小。
- 代数表示:向量可以用列向量或行向量表示,如上所述。
- 坐标表示:在二维或三维空间中,向量可以用坐标表示。例如,二维向量 v=(v1,v2)v=(v1,v2) 表示在 xx 轴和 yy 轴上的分量。
向量的运算
向量有几种基本的运算,包括加法、数乘、点积和叉积。
向量加法
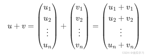
1.向量加法是将两个向量的对应分量相加,得到一个新的向量。例如,两个 n 维向量 u 和 v 的加法为:
向量数乘
1.向量数乘是将一个向量的每个分量乘以一个标量,得到一个新的向量。例如,一个 n 维向量 v 与标量 k 的数乘为:
向量点积
1.向量点积(内积)是将两个向量的对应分量相乘,然后将结果相加,得到一个标量。例如,两个 n 维向量 u 和 v 的点积为:
2.例子
- 假设有两个向量 u 和 v
- 求u+v,2u,uv
矩阵的特征值和特征向量
定义
1.设 A 是一个 n×n 的方阵。如果存在一个非零列向量 v 和一个标量 λ,使得:
那么 λ 称为矩阵 A的特征值,v 称为对应于特征值 λ 的特征向量。
注:λ可以为0,而v不能为0,并且v是列向量。因为A是n维矩阵,如果v是行向量,则维数是1xn,不满足矩阵相乘。
将定义中的等式移项,得到:
由于v是非零列向量,相当于求上述方程的非零解,由方程有非零解的充要条件是行列式为0的定理可知:
说明:(A-λE):特征矩阵;|A-λE|:特征行列式或特征多项式;|A-λE|=0:特征方程
结论:
- λ是A的特征值,v是对应λ的一个特征向量,则cv也是λ的一个特征向量,c为不等于0的标量。
2.根据定义
等式两边同乘以c
所以cv也是λ的一个特征向量。
2.例子
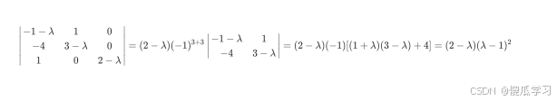
- 假设有矩阵A:
求A的特征值λ及对应λ的特征向量。
- 解:根据定义可知:
- 计算行列式:
- 所以
- 所以λ1=2,λ2=λ3=1
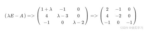
- 计算特征向量
- 当λ=2时
- 将矩阵进行初等行变换,形成行简化阶梯形矩阵
- 可以得出v1=0,v2=0,v3为任意数,取v3=1,所以特征向量
- 当λ=1时
- 将矩阵进行初等行变换,形成行简化阶梯形矩阵
- 可以得出v1=-v3,v2=-2v3,v3为任意数,取v3=-1,所以特征向量:
3.练习
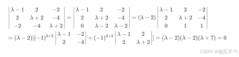
- 假设有矩阵A
求A的特征值λ及对应λ的特征向量。
- 解:根据特征值定义可知:
- 计算行列式
所以λ1=λ2=2,λ3=-7
- 计算特征向量
- 当λ=-7时
可以得出v1=-(1/2)v3,v2=-v3,v3为任意数,取v3=-2,所以特征向量:
- 同理,当λ=2时
- 所以:
- 当v2=1,v3=0时,v1=-2;当v3=1,v2=0时,v1=2
- 所以特征向量为
向量的模
1.定义:向量 v 的模记作 ∥v∥,计算公式为:
2.几何解释:在二维空间中,向量 v=(v1,v2)的模表示从原点到点 (v1,v2)的距离。在三维空间中,向量 v=(v1,v2,v3)的模表示从原点到点 (v1,v2,v3)的距离。
||v||=1,叫做单位向量的模。如:v=(1,0,0)
2.性质
- 非负性:∥v∥≥0,并且 ∥v∥=0 当且仅当 v=0(零向量)。
- 齐次性:对于任意标量 k,∥kv∥=∣k∣∥v∥。
- 三角不等式:对于任意向量 u 和 v,∥u+v∥≤∥u∥+∥v∥。
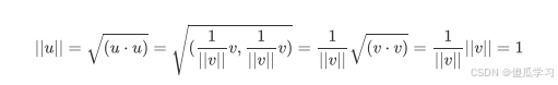
3.例子
- 证明以下公式,如果:
则u为v的单位向量。
- 证明:
向量的内积
1.定义:对于两个 n 维向量 a=(a1,a2,…,an) 和 b=(b1,b2,…,bn),它们的内积(点积)表示为 a⋅b,计算公式为:
2.几何解释:在几何上,内积也可以通过向量的模和它们之间的夹角来表示。具体来说,如果 θ 是向量 a 和 b 之间的夹角,那么内积可以表示为:
其中:
- ∥a∥ 和 ∥b∥ 分别是向量 a 和 b 的模(长度)。
- cos(θ)是夹角 θ 的余弦值。
3.性质
- 交换律:a⋅b=b⋅a
- 分配律:a⋅(b+c)=a⋅b+a⋅c
- 数乘结合律:(ka)⋅b=k(a⋅b)=a⋅(kb)(,其中 k 是标量。
- 正定性:a⋅a≥0,并且 a⋅a=0 当且仅当 a=0。
4.例子
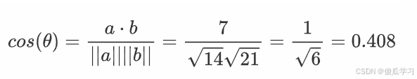
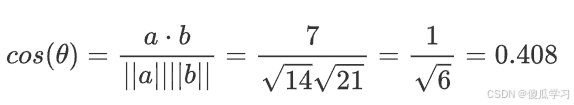
- 假设有两个三维向量 a 和 b:a=(2,3,1),b=(4,−1,2)
- 计算a和b的内积。
- 解:根据内积的定义,两个向量的内积是它们对应分量的乘积之和。具体计算如下:
a⋅b=(2⋅4)+(3⋅−1)+(1⋅2)=8-3+2=7
- 因此,向量 a 和 b 的内积为:a⋅b=7
- 如果我们要通过几何方法来验证这个结果,可以使用向量的模和它们之间的夹角。假设 θ 是向量 a和 b 之间的夹角,那么内积可以表示为:a⋅b=∥a∥∥b∥cos(θ)
- 首先计算向量 a 和 b 的模:
- 然后使用内积的结果来求 cos(θ):
5.结论:向量内积的几何解释其实就是余弦相似度算法的公式,当cos(θ)=1时,表示两个向量重合;当cos(θ)=0时,表示两个向量垂直。如果使用两个向量分别近似表示两个文本或图像,两个向量的cos(θ)越接近1,表示这两个文本内容越相似,cos(θ)越接近0,表示这两个文本内容越不相似。
免责声明:本站所有文章内容,图片,视频等均是来源于用户投稿和互联网及文摘转载整编而成,不代表本站观点,不承担相关法律责任。其著作权各归其原作者或其出版社所有。如发现本站有涉嫌抄袭侵权/违法违规的内容,侵犯到您的权益,请在线联系站长,一经查实,本站将立刻删除。 本文来自网络,若有侵权,请联系删除,如若转载,请注明出处:https://haidsoft.com/142145.html






































