大家好,欢迎来到IT知识分享网。
我们知道,计算机使用的是二进制来存储信息。而在我们现实生活中,一般是用十进制来表示一系列数值。同时在更加精细的领域还存在着像八进制,十六进制等等一些进制。那么进制究竟是什么?不同的进制之间又是如何实现转换的?接下来我来详细介绍一下。
一、进制是什么?
进制即是进位计数制。是用一组固定的符号和统一的规则来表示数值的方法。生活中常见的进制有十进制、二进制、八进制、十六进制。
在计算机中,数据都是以二进制形式存储的。
进制主要包括三个部分:数位、基数、位权
数位
指数字符号在一个数中所处的位置。
我们平常说的个位数十位数等等,就是数位的概念。
基数
是一种进位计数制允许使用的基本数字符号的个数。
位权(简称“权”)
是指数制中每个固定位置对应的单位值(常数)。
例如十进制的123,1的位权是100,2的位权是10,3的位权是1。
二进制的110,从右往左,0的位权是2的零次方,第一个1的位权是2的一次方,第二个1的位权是2的二次方。
所以从二进制中可以看出,位权其实是以数字符号所处位置的序号为指数的整数次幂。
在十进制中,位权是10^n
在二进制中,位权是2^n
…
二、常见进制介绍以及之间的转换
1.表示
一般情况下,在数字后面用特点的字母(下标)表示该数的进制
二进制;B
十进制:D(可以省略O)
八进制:O
十六进制:H
同时也可以用数字后面加进制来表示。
2.限制
十进制的每位数字的范围:0~9
二进制的每位数字的范围:0~1
八进制的每位数字的范围:0~7
十六进制的每位数字的范围:0~F(f)
3.转换
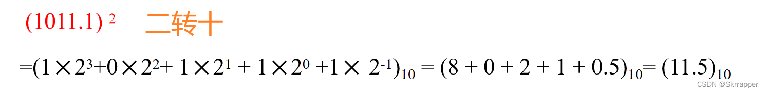
其他进制数转十进制数
十进制数转其他进制数
整数部分:除二取余法
原理:任何一个数除以2得到的余数都是0或1
例如(十转二):
小数部分:乘二取整法
原理:当小数与2相乘时不可能大于1。
例如:
二进制数转八进制数(十六同理)
以小数点为中心,整数部分自右向左每3位一组,最后一组不满3位时补0;小数部分自左向右每3位一组,最后1组不满3位时补0。
举例:
注意这个例子中小数部分最后是不满3位的,所以要补0成为110。
转十六进制数即是将每3位改为每4位。
举例:
同理小数部分不满4位,所以要补0成为1000。
八进制数转二进制数(十六同理)
即:将二转八反过来,将1位八进制数转换为3位二进制数即可。
举例:
各种进制数码对照表
实际上只要对照表格即可知道对应的关系,就相当于数学中的乘法口诀表一样,熟记于心即可快速转换。
4.基本运算
加法:
举例
减法:
举例:
乘法:
举例:
除法:
举例:
免责声明:本站所有文章内容,图片,视频等均是来源于用户投稿和互联网及文摘转载整编而成,不代表本站观点,不承担相关法律责任。其著作权各归其原作者或其出版社所有。如发现本站有涉嫌抄袭侵权/违法违规的内容,侵犯到您的权益,请在线联系站长,一经查实,本站将立刻删除。 本文来自网络,若有侵权,请联系删除,如若转载,请注明出处:https://haidsoft.com/146368.html














