大家好,欢迎来到IT知识分享网。
SLOPE函数说明:
返回根据 known_y’s 和 known_x’s 中的数据点拟合的线性回归直线的斜率。斜率为直线上任意两点的重直距离与水平距离的比值,也就是回归直线的变化率。
语法
SLOPE(known_y's, known_x's)
- Known_y’s 必需。数字型因变量数据点数组或单元格区域。
- Known_x’s 必需。自变量数据点集合。
说明
- 参数可以是数字,或者是包含数字的名称、数组或引用。
- 如果数组或引用参数包含文本、逻辑值或空白单元格,则这些值将被忽略;但包含零值的单元格将计算在内。
- 如果 known_y’s 和 known_x’s 为空或其数据点个数不同,函数 SLOPE 返回错误值 #N/A。
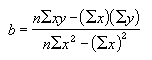
- 回归直线的斜率计算公式如下:
其中 x 和 y 是样本平均值 AVERAGE(known_x’s) 和 AVERAGE(known_y’s)。
- 函数 SLOPE 和 INTERCEPT 中使用的下层算法与函数 LINEST 中使用的下层算法不同。当数据未定且共线时,这些算法之间的差异会导致不同的结果。例如,如果参数 known_y’s 的数据点为 0,参数 known_x’s 的数据点为 1:
- SLOPE 和 INTERCEPT 返回错误 #DIV/0!。SLOPE 和 INTERCEPT 算法用来查找一个且仅一个答案,在这种情况下可能有多个答案。
- LINEST 返回值 0。LINEST 算法用来返回共线数据的合理结果,在这种情况下至少可找到一个答案。
免责声明:本站所有文章内容,图片,视频等均是来源于用户投稿和互联网及文摘转载整编而成,不代表本站观点,不承担相关法律责任。其著作权各归其原作者或其出版社所有。如发现本站有涉嫌抄袭侵权/违法违规的内容,侵犯到您的权益,请在线联系站长,一经查实,本站将立刻删除。 本文来自网络,若有侵权,请联系删除,如若转载,请注明出处:https://haidsoft.com/147531.html

