大家好,欢迎来到IT知识分享网。
一、视觉误差因子
VINS-FUSION 优化问题可以统一用损失函数表示如下:
式中,包括先验误差因子(滑窗边缘化产生),IMU预积分误差因子,视觉误差因子。本文将结合论文和对应源码详细叙述。
在经典的视觉slam算法中,视觉误差通常用重投影误差表示。
重投影误差:指的真实三维空间点在图像平面上的投影(也就是图像上的像素点)和重投影(其实是用我们的计算值得到的虚拟的像素点)的差值。
在计算重投影误差时,有两种特征参数化方式:特征点3D位置和特征点深度/逆深度。
1.特征点3D位置
其中:3D位置![VINS-FUSION 优化-视觉误差因子插图5 P_{l} = [x_{l},y_{l},z_{l}]^{T}](https://haidsoft.com/wp-content/uploads/2022/11/2022112316405970.jpg)



2.深度/逆深度
从第i帧到j帧重投影误差可以表示如下:
其中:
实质上两者是一致的,可以相互转化。
可以把
二、vins-fusion源码中视觉误差因子
1.求视觉残差(重投影误差)
bool ProjectionFactor::Evaluate(double const *const *parameters, double *residuals, double jacobians) const { TicToc tic_toc; Eigen::Vector3d Pi(parameters[0][0], parameters[0][1], parameters[0][2]); Eigen::Quaterniond Qi(parameters[0][6], parameters[0][3], parameters[0][4], parameters[0][5]); Eigen::Vector3d Pj(parameters[1][0], parameters[1][1], parameters[1][2]); Eigen::Quaterniond Qj(parameters[1][6], parameters[1][3], parameters[1][4], parameters[1][5]); Eigen::Vector3d tic(parameters[2][0], parameters[2][1], parameters[2][2]); Eigen::Quaterniond qic(parameters[2][6], parameters[2][3], parameters[2][4], parameters[2][5]); double inv_dep_i = parameters[3][0]; Eigen::Vector3d pts_camera_i = pts_i / inv_dep_i; Eigen::Vector3d pts_imu_i = qic * pts_camera_i + tic; Eigen::Vector3d pts_w = Qi * pts_imu_i + Pi; Eigen::Vector3d pts_imu_j = Qj.inverse() * (pts_w - Pj); Eigen::Vector3d pts_camera_j = qic.inverse() * (pts_imu_j - tic); Eigen::Map<Eigen::Vector2d> residual(residuals); #ifdef UNIT_SPHERE_ERROR residual = tangent_base * (pts_camera_j.normalized() - pts_j.normalized()); #else double dep_j = pts_camera_j.z(); residual = (pts_camera_j / dep_j).head<2>() - pts_j.head<2>(); #endif ... }
其中:Pi,Qi表示i帧位姿,对应公式为
Pj,Qj表示i帧位姿,对应公式为
tic,qic表示外参,对应公式为
inv_dep_i 表示特征点l的逆深度值;
pts_i表示为该特征点在第i帧被观测到;
pts_j表示为该特征点在第j帧被观测到;
pts_i,pts_j表示为global的特征点被i, j帧同时观测到,是同一个global的特征点。
将上述代码转译成公式如下:
对比如下公式:
其实就是上述深度/逆深度参数,从第i帧到j帧重投影误差公式的展开形式。
2.雅可比矩阵
残差对优化变量的雅可比矩阵。
残差:
优化变量



根据链式求导法则:
其中:
(1)残差对p的雅可比矩阵
(2)残差对
(3)残差对
(3)残差对
(4)残差对
雅克比矩阵对应源码:
bool ProjectionFactor::Evaluate(double const *const *parameters, double *residuals, double jacobians) const { ... #ifdef UNIT_SPHERE_ERROR residual = tangent_base * (pts_camera_j.normalized() - pts_j.normalized()); #else double dep_j = pts_camera_j.z(); residual = (pts_camera_j / dep_j).head<2>() - pts_j.head<2>(); #endif residual = sqrt_info * residual; if (jacobians) { Eigen::Matrix3d Ri = Qi.toRotationMatrix(); Eigen::Matrix3d Rj = Qj.toRotationMatrix(); Eigen::Matrix3d ric = qic.toRotationMatrix(); Eigen::Matrix<double, 2, 3> reduce(2, 3); #ifdef UNIT_SPHERE_ERROR double norm = pts_camera_j.norm(); Eigen::Matrix3d norm_jaco; double x1, x2, x3; x1 = pts_camera_j(0); x2 = pts_camera_j(1); x3 = pts_camera_j(2); norm_jaco << 1.0 / norm - x1 * x1 / pow(norm, 3), - x1 * x2 / pow(norm, 3), - x1 * x3 / pow(norm, 3), - x1 * x2 / pow(norm, 3), 1.0 / norm - x2 * x2 / pow(norm, 3), - x2 * x3 / pow(norm, 3), - x1 * x3 / pow(norm, 3), - x2 * x3 / pow(norm, 3), 1.0 / norm - x3 * x3 / pow(norm, 3); reduce = tangent_base * norm_jaco; #else reduce << 1. / dep_j, 0, -pts_camera_j(0) / (dep_j * dep_j), 0, 1. / dep_j, -pts_camera_j(1) / (dep_j * dep_j); #endif reduce = sqrt_info * reduce; if (jacobians[0]) { Eigen::Map<Eigen::Matrix<double, 2, 7, Eigen::RowMajor>> jacobian_pose_i(jacobians[0]); Eigen::Matrix<double, 3, 6> jaco_i; jaco_i.leftCols<3>() = ric.transpose() * Rj.transpose(); jaco_i.rightCols<3>() = ric.transpose() * Rj.transpose() * Ri * -Utility::skewSymmetric(pts_imu_i); jacobian_pose_i.leftCols<6>() = reduce * jaco_i; jacobian_pose_i.rightCols<1>().setZero(); } if (jacobians[1]) { Eigen::Map<Eigen::Matrix<double, 2, 7, Eigen::RowMajor>> jacobian_pose_j(jacobians[1]); Eigen::Matrix<double, 3, 6> jaco_j; jaco_j.leftCols<3>() = ric.transpose() * -Rj.transpose(); jaco_j.rightCols<3>() = ric.transpose() * Utility::skewSymmetric(pts_imu_j); jacobian_pose_j.leftCols<6>() = reduce * jaco_j; jacobian_pose_j.rightCols<1>().setZero(); } if (jacobians[2]) { Eigen::Map<Eigen::Matrix<double, 2, 7, Eigen::RowMajor>> jacobian_ex_pose(jacobians[2]); Eigen::Matrix<double, 3, 6> jaco_ex; jaco_ex.leftCols<3>() = ric.transpose() * (Rj.transpose() * Ri - Eigen::Matrix3d::Identity()); Eigen::Matrix3d tmp_r = ric.transpose() * Rj.transpose() * Ri * ric; jaco_ex.rightCols<3>() = -tmp_r * Utility::skewSymmetric(pts_camera_i) + Utility::skewSymmetric(tmp_r * pts_camera_i) + Utility::skewSymmetric(ric.transpose() * (Rj.transpose() * (Ri * tic + Pi - Pj) - tic)); jacobian_ex_pose.leftCols<6>() = reduce * jaco_ex; jacobian_ex_pose.rightCols<1>().setZero(); } if (jacobians[3]) { Eigen::Map<Eigen::Vector2d> jacobian_feature(jacobians[3]); #if 1 jacobian_feature = reduce * ric.transpose() * Rj.transpose() * Ri * ric * pts_i * -1.0 / (inv_dep_i * inv_dep_i); #else jacobian_feature = reduce * ric.transpose() * Rj.transpose() * Ri * ric * pts_i; #endif ... }
其中:
reduce与
jacobians[0]与
jacobians[1]与
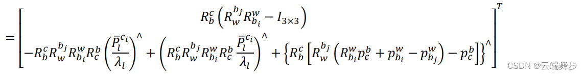
jacobians[2]与
jacobians[3]与
3.协方差
视觉约束的噪声协方差与标定相机内参的重投影误差相关。即视觉约束的噪声协方差可以根据标定内参时重投影误差来取定。代码中选取的是偏移1.5个像素,对应到归一化相机平面的协方差矩阵需要除以焦距f。而信息矩阵sqrt_info等于协方差矩阵的逆,如下:
sqrt_info = FOCAL_LENGTH / 1.5 * Matrix2d::Identity();
至此,论文公式和源码就一一对应起来了。
三、参考
1.VINS-Mono: A Robust and Versatile Monocular Visual-Inertial State Estimator
2.Online Temporal Calibration for Monocular Visual-Inertial Systems
3.https://github.com/HKUST-Aerial-Robotics/VINS-Fusion
免责声明:本站所有文章内容,图片,视频等均是来源于用户投稿和互联网及文摘转载整编而成,不代表本站观点,不承担相关法律责任。其著作权各归其原作者或其出版社所有。如发现本站有涉嫌抄袭侵权/违法违规的内容,侵犯到您的权益,请在线联系站长,一经查实,本站将立刻删除。 本文来自网络,若有侵权,请联系删除,如若转载,请注明出处:https://haidsoft.com/148387.html








