大家好,欢迎来到IT知识分享网。
镜像法是用一组适当配置的电荷系统来替代要求解的给定系统。
根据唯一性定理,只要新添加的电荷(镜像电荷)不进入原求解区域,以保证不改变原求解区域内的电荷分布,就能保证不改变原求解区域内的电位方程,并且原区域边界处的条件保持不变就可满足要求。
镜像法实际上是用在求解区域外添加的电荷来替代原有边界对系统的影响,因此,在使用镜像法时,首先把原有的边界去掉,再在求解区域外适当添加若干电荷,调整电荷数量、电荷量和位置,使得在原有边界处的条件不变。这样根据唯一性定理,新系统的解在原求解区域中就是原系统的解。
目录
1.在无限大接地导体平板上方放置一个点电荷的系统
如果没有导体板,电场就是由q产生,且在导体板位置没有等位面。因为导体板的存在,让该位置强行变成等位面
导体板对电场的作用是因为表面的感应电荷,原系统的电力线分布为:
添加镜像电荷后的电力线分布为:
可以看见,在上半空间,电位分布没有变化,原求解区域的边界条件依然满足,导体板所在位置依然是等位面,那么现在即要求解-q位置及大小
没有添加镜像电荷之前
对于上半空间:
对于下半空间:
添加镜像电荷
(1)因为镜像电荷不能影响原求解区域的电位分布,因此镜像电荷只能放在下半空间
(2)导体板上的感应电荷大小为q,符号为负,所以镜像电荷大小取q,符号取负
(3)电荷q和镜像电荷-q共同产生的电场满足:
所以,镜像电荷的位置为-d,和q的连线垂直于导体板
(至此,我们就确定了镜像电荷的大小、位置、符号等,可以用镜像电荷和点电荷系统求解上半空间的电位分布,但要注意,对于下半空间,不能用镜像电荷和点电荷系统求解)
2.接地导体球外放置一个点电荷的系统
一接地导体球壳,距离d处有一电荷q,确定镜像电荷
在q旁边,导体球壳所在位置是等位面,其接地后φ=0
现确定镜像电荷的大小位置:
(1)根据对称性,镜像电荷一定在o和q的连线上
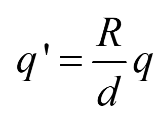
(2)假设镜像电荷距离o点为b,那么即要求b的大小,-q’的大小
去掉接地球壳后,系统由镜像电荷及点电荷组成,要满足边界条件φ=0,即:
(球壳上任意一点电位,由点电荷产生的电位与镜像电荷产生的电位叠加而来,r和r’根据余弦定理计算)
整理得到:
因为对于球壳上任意一点电位都等于零,所以对于任意θ上式恒成立,即:
当q’和b取上述值时,满足边界条件,即添加镜像电荷后,导体球外空间的电位分布不改变;那么根据唯一性定理,求解球外区域电位分布问题,就可以转化为,由点电荷和镜像电荷组成系统求解电位分布问题。
结论:
导体板如平面镜,镜像电荷大小相等,距离相等;
导体接地球壳如凹凸镜,大小、距离成比例拉伸。
3.不接地不带电的导体球外放置一个点电荷的系统
导体球壳不接地后,表面要产生感应电荷,由上文可知,感应电荷量为-q’;导体球壳为一个等位面,但电位不一定等于0,而是一个常数,且球内电位处处等于球表面电位。
目前系统由球壳表面感应电荷-q’及点电荷q组成,现确定镜像电荷:
(1)球壳表面为等位面,所以镜像电荷一定在球心位置
(2)镜像电荷的大小,可以由上文结论计算
即:
那么原系统就转换为:由q、-q’、q’组成的电荷系统
在导体球内:
电位分布只取决于-q’、q’
在导体球外:
因为q’电力线无法穿出球体,所以外部电场只取决于-q’、q
在导体球表面:
电位为常数
免责声明:本站所有文章内容,图片,视频等均是来源于用户投稿和互联网及文摘转载整编而成,不代表本站观点,不承担相关法律责任。其著作权各归其原作者或其出版社所有。如发现本站有涉嫌抄袭侵权/违法违规的内容,侵犯到您的权益,请在线联系站长,一经查实,本站将立刻删除。 本文来自网络,若有侵权,请联系删除,如若转载,请注明出处:https://haidsoft.com/150818.html
















