大家好,欢迎来到IT知识分享网。
线性可分(假设每一个点都分对了)
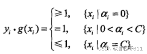
支持向量机的一个重要性质:训练完成后,大部分的训练样本都不需要保留,最终模型仅与支持向量有关。
支持向量:真正发挥作用的数据点,ɑ值不为0的点
(kkt就像求导一样,是取强对偶的必要条件,不过一般当成充要了)
感觉不满足ktt会使w变大
一个简单的例子
需要坐标点那个向量点乘
对aerfa求导,得到aerfa1=1.5 aerfa2=-1
不符合条件。
所以极值在每个aerfa取0时可能得到
最后aerfa1=aerfa3=0.25 aerfa2=0
即x1和x3来发挥作用
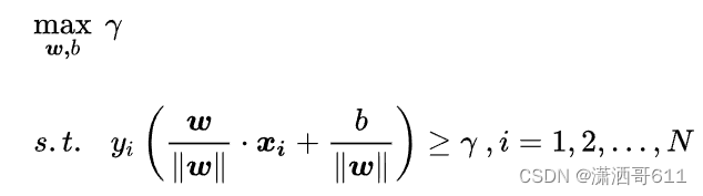
作用:选出来离雷区最远的决策边界(雷区就是边界上的点,要Large Margin)

几何间隔:(对几维空间都成立)
(几何间隔)恒大于0,不用带绝对值符号。
y(i)是数据点的标签,取+1,或者-1
取几何间隔的最小值,这个距离就是我们所谓的支持向量到超平面的距离。因此,SVM模型的求解最大分割超平面问题可以表示为以下约束最优化问题
一通简单的变换:

得到一个新的式子:
第一个图的+1,-1两条线就是这么来的。这就是一个约束条件。
为了使几何间隔最大,需要w取最小值(很好理解:找到支持向量了,那么w越小,几何间隔就越大)
原问题就变成了:
每一个点都是约束条件
之后就可以对其使用拉格朗日乘子法得到其对偶问题(对偶问题变量是拉格朗日乘子,一定是凸优化,更加方便)
当样本点不满足约束条件时,将 aerfa设成无线大,所以thrta(w)也无限大
所以得到原函数分段形式
对偶问题:
p和d的联系呢?p>=d,当满足两个条件:
① 优化问题是凸优化问题
(凸优化问题:凸函数 又是凸集
凸集交集也是凸集
所以对偶函数一定是凸优化问题
一般凸优化就是强对偶关系)
② 满足KKT条件
时,等号成立。
证明凸优化一定强对偶
也很好理解!(t是f(x) lamta是拉格朗日乘子)
或者公式来分析!
只有当 G2是一个凸集的时候,等号才会成立。(t是f(x) u是限制函数)
这里想象一下t和u都是一个三维曲面,它们都是凸集,所以交集也是凸集,然后从三维投影到二维
去掉x轴,仍是凸集。
凸集那么上图可知,一定是强对偶问题。
首先,本优化问题显然是一个凸优化问题
然后是KKT条件:(kkt就像求导一样,是取强对偶的必要条件,不过一般当成充要了)
把上图条件分别标号1-5
这是:4,1,5
松弛意味着lamta为0,该条件无效
这是:3(把w和b都看成x就好了,我觉得x是除了拉格朗日乘子的其他项)
带入拉格朗日目标函数中,消去w和b ,b自己就没了
把目标式子加一个负号,将求解极大转换为求解极小
smo优化算法,最后由aerfa得到结果:
b=y(j)-wx(j)
过渡
这里加平方主要为了不再引入新的约束条件,如果只引入a(i),会导致a(i)>0
KKT. 的公式推导。(感觉不如我的图直观)
线性不可分(hinge损失)
但是实际情况下几乎不存在完全线性可分的数据,为了解决这个问题,引入了“软间隔”的概念,即允许某些点不满足约束。
一个直观的理解:一万个数据,有一个分错了,那么如果线性可分模型,就会报错。但是如果用hinge损失的话,只会对目标函数有轻微的影响,最后模型会把这个点相当于是忽略了。
这个式子意味着每一个点都在边界线外。如果等于1,那就在边界线上了
以此类推,小于1大于0,意味着点可以分在边界线内部了
就是我们可以为了更大的决策边界来忽视一些边界点
之后为原函数加上惩罚项。
当C趋近于很大时:oumiga必须取很小,意味着分类严格不能有错误
当C趋近于很小时:oumiga可以取很大,意味着可以有更大的错误容忍
和
等价(好神奇,我想了好久)原来下面这个式子隐藏了一个条件:就是目标函数要取最小值
那么oumiga一定是最小的那个,瞬间就等价了
现在两种限制条件了,所以得两种拉格朗日乘子
之后就是求w和oumiga共同的最小值了。
之后做法差不多:
对oumiga求导,多了一个等式,就是c那个。
大于1,说明就和线性可分没区别了,即oumiga=0;
等于1,说明在决策边界上,和线性也没区别
小于1,在决策边界內部 ,此时,oumiga会把这个点拉回决策边界,需要对目标函数有一个惩罚项来平衡。
不难发现软间隔SVM只是在对拉格朗日乘子阿aerfa的约束上加上了一个上界C。 来减少这个点对整体模型构建的影响。
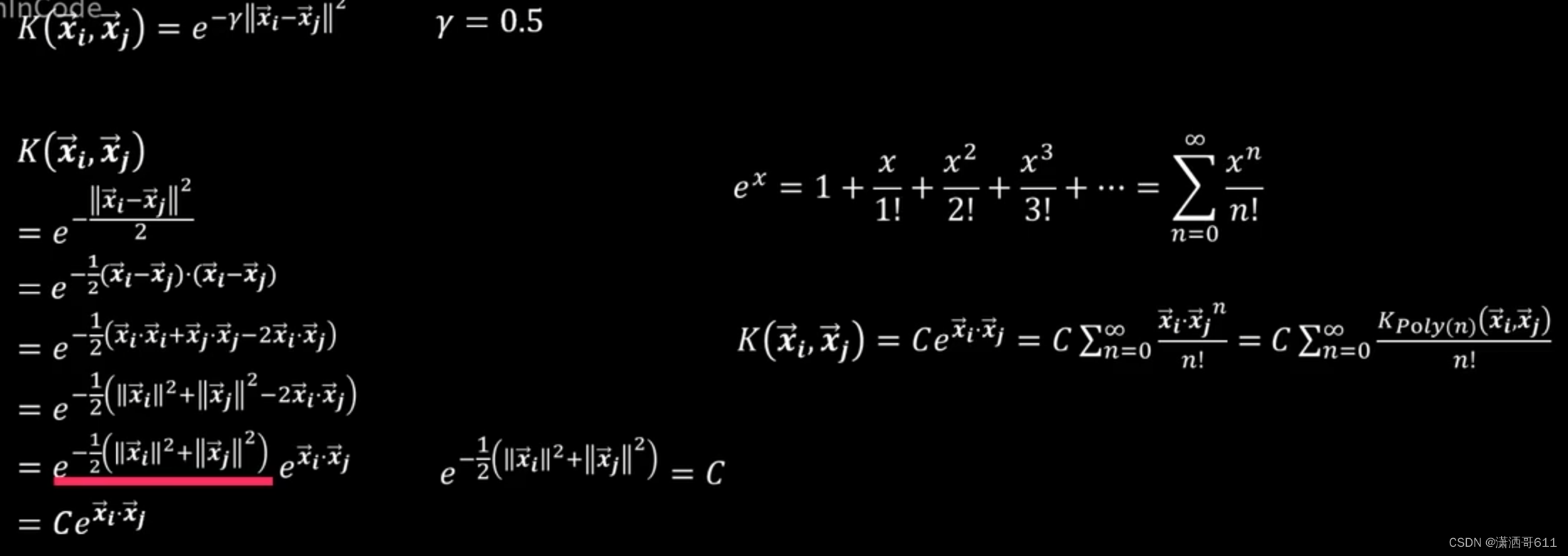
核函数
低维空间映射到高维空间后维度可能会很大,如果将全部样本的点乘全部计算好,这样的计算量太大了。核函数的引入一方面减少了我们计算量,另一方面也减少了我们存储数据的内存使用量。
核函数的作用


映射多了一个z轴,映射到了三维空间,然后切割
免责声明:本站所有文章内容,图片,视频等均是来源于用户投稿和互联网及文摘转载整编而成,不代表本站观点,不承担相关法律责任。其著作权各归其原作者或其出版社所有。如发现本站有涉嫌抄袭侵权/违法违规的内容,侵犯到您的权益,请在线联系站长,一经查实,本站将立刻删除。 本文来自网络,若有侵权,请联系删除,如若转载,请注明出处:https://haidsoft.com/155434.html










































