大家好,欢迎来到IT知识分享网。
注:John J. Craig主编的机器人学导论一书中所用的建模方法为MDH,切勿搞混,否则会让刚迈入门槛的你瞬间自闭,别留言问我是怎么知道的。
回答:DH参数表是唯一的么?
DH参数表不是唯一的。因为各个连杆坐标系的建立不是唯一的,导致DH参数不同;若机器人基坐标系与末端工具坐标系一致,则最终计算得到末端工具坐标系到机器人基坐标系下的齐次变换矩阵是唯一的。
声明:
SDH-Standard DH-标准DH
MDH-Modified DH-改进DH
1.建立坐标系的区别
注:离基座近为近端,离基座远为远端
(1)SDH将连杆 i i i的坐标系设置在连杆的远端:
(2)MDH将连杆 i i i的坐标系设置在连杆的近端:
2.确定 X i X_{i} Xi轴有区别
(1)SDH确定 X i X_{i} Xi轴
当 i i i的轴线与 i − 1 i-1 i−1的轴线相交,则 X ^ i \hat{X}_i X^i在 Z ^ i \hat{Z}_i Z^i和 Z ^ i − 1 \hat{Z}_{i-1} Z^i−1两轴线所在平面的垂线上;
当 i i i的轴线与 i − 1 i-1 i−1的轴线不相交, X ^ i \hat{X}_i X^i在 Z ^ i \hat{Z}_i Z^i和 Z ^ i − 1 \hat{Z}_{i-1} Z^i−1两轴线的公垂线上;
当 i i i的轴线与 i − 1 i-1 i−1的轴线平行,即 a i a_{i} ai不等于零, X ^ i \hat{X}_i X^i在 Z ^ i \hat{Z}_i Z^i和 Z ^ i − 1 \hat{Z}_{i-1} Z^i−1两轴线的公垂线上,沿着连杆 i i i长度方向;
(2)MDH确定 X i X_{i} Xi轴
当 i i i的轴线与 i + 1 i+1 i+1的轴线相交,即 a i a_{i} ai等于零,则 X ^ i \hat{X}_i X^i在 Z ^ i \hat{Z}_i Z^i和 Z ^ i + 1 \hat{Z}_{i+1} Z^i+1两轴线所在平面的垂线上;
当 i i i的轴线与 i + 1 i+1 i+1的轴线重合,即 a i a_{i} ai等于零,意味着 i i i关节为移动关节,则 X ^ i \hat{X}_i X^i与 X ^ i − 1 \hat{X}_{i-1} X^i−1平行;
当 i i i的轴线与 i + 1 i+1 i+1的轴线不相交,即 a i a_{i} ai不等于零, X ^ i \hat{X}_i X^i在 Z ^ i \hat{Z}_i Z^i和 Z ^ i + 1 \hat{Z}_{i+1} Z^i+1两轴线的公垂线上,沿着 a i a_{i} ai方向;
当 i i i的轴线与 i + 1 i+1 i+1的轴线平行,即 a i a_{i} ai不等于零, X ^ i \hat{X}_i X^i在 Z ^ i \hat{Z}_i Z^i和 Z ^ i + 1 \hat{Z}_{i+1} Z^i+1两轴线的公垂线上,沿着连杆 i i i长度方向;
详细过程:链接: MDH运动学
3.DH表顺序和参数有区别
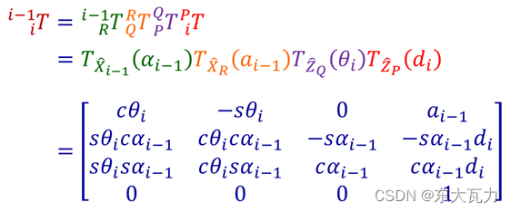
(1)MDH按照 α i − 1 、 a i − 1 、 θ i 、 d i \alpha_{i-1}、a_{i-1}、\theta_{i}、d_{i} αi−1、ai−1、θi、di的顺序确定:
(2)SDH按照 θ i 、 d i 、 a i 、 α i \theta_{i}、d_{i}、a_{i}、\alpha_{i} θi、di、ai、αi的顺序确定:
4.优劣:
SDH适合应用于开链结构的机器人;当使用SDH表示树状或闭链结构的机器人时,会产生歧义;MDH法对开链、树状、闭链结构的机器人都适用,推荐使用。
5.例子
(1)MDH
(2)SDH
免责声明:本站所有文章内容,图片,视频等均是来源于用户投稿和互联网及文摘转载整编而成,不代表本站观点,不承担相关法律责任。其著作权各归其原作者或其出版社所有。如发现本站有涉嫌抄袭侵权/违法违规的内容,侵犯到您的权益,请在线联系站长,一经查实,本站将立刻删除。 本文来自网络,若有侵权,请联系删除,如若转载,请注明出处:https://haidsoft.com/155945.html










