大家好,欢迎来到IT知识分享网。
原文链接:http://hmfly.info/2012/10/17/mercator那些事儿/
数据分类、地图分级(Classification)通常用于Choropleth Map(面量图)的制作中,是专题制图中最初,也是最基本的一个步骤。没有进行过分类的地图,很难让人理解其表意。比如,以中共十八大的各省代表人数为例。假若为每一个省(港澳台除外)单独设色,会是这样的效果(注:每张地图点击都可以看大图的,不再说明):
(图1 单一设色分类)
这样的地图让人不明其意,不知道各个省的代表人数到底几何。因为人眼分辨差异(类别数)的能力是有限的(多于7个类别就有点难了吧)。倘若为之分类,就可以极大地简化数据,显现出数据的空间分布特征、模式,更便于人们使用和分析。
所谓数据分类,就是将数据按照大小排列,并以一定的方法(主观、客观的或统计的,等等),将某一部分归为一类,这样每一个数据都有自己的类别,且仅属于一类。数据分类看似是一个很简单的东西,一般我们做图时选择往往随便选个分类,可能连分类方法都不去看,再找个顺眼的颜色,也不知道这些颜色因何而配的(我也不知道),确定显示觉得ok就行了,不ok就再改改,直到满足你的审美为止。最终可能看上去漂亮,但也就只剩看上去还行了,而缺乏基本的分类依据。比如,各个分类方法的原理是什么?什么分类方法适用于什么数据?ArcGIS为什么选择了Natural Breaks作为默认分类法?这些都是简单的操作背后值得思考的问题。
数据说明
本文将以刚刚胜利结束的中共十八大中各省参会代表人数为数据源,讨论数据分类的问题。本届会议各省代表共计1556人,以下是分布直方图:
(图2 数据分布直方图)
为什么用这个数据?一直觉得,不管是学习还是工作,使用的数据一定要真实,最好还有时效性。真实是一个首要条件。学习中,如果数据真实,才会让自己产生更多的兴趣,有折腾的动力;工作中,只有数据真实,你的工作才有点用处,不然再怎么努力也是自欺欺人。另外,全国各省的矢量数据还是比较容易获得的,这样关联起来就成了本文所用的数据了。至于数据分布是否合适,这就是天命了,该怎么样就怎么样。
常用的分类方法
以ArcGIS提供的六种分类方法为例:Defined Interval、Equal Interval、Quantile、Standard Deviation、Natural Breaks(Jenks)、Geometry Interval(Geometry Interval是Esri自己开发的一种分类法,资料太少,这个就先不讨论),介绍下各种方法的原理、实现以及用途,以前文数据为例。
Defined Interval
定义间隔分类。定义一个间隔,比如0~100的数据,定义10为间隔,那么10,20…就是断点,分类数由间隔大小决定。
(图3 Defined Interval分类图,Interval=15)
用Defined Interval分类,提供的信息不多,只能看出不同的省份落在了不同的区间而已,而这个区间的大小没有太大的实际意义。
Equal Interval
等距分类。定义一个分类数,比如0~100的数据,分为4类,那么间隔就是25。间隔定了,那就和定义间隔分类的原理一致了。
等距分类和上面的定义间隔分类原理简单,易于计算。比较适合用在温度、成绩和百分比等范围、间隔都为人熟知的数据。但是这两种分类法可能会有“空类”(定义间隔也是的),比如0~100的数据,大部分都在0~50中,剩下的几个在90~100。如果你再按10为间隔去分类,那将会有4个空类!
(图4 Equal Interval分类图)
同样,Equal Interval分类提供的信息也不多。
Quantile
等量分类。又叫分位数分类,每一类的数目一样,这样就不会出现空类了。等量分类适合用于线性分布的数据,比如排名数据。但它不考虑数值大小,很可能将两个大小相近的值分到不同的类别中,也可能数据一样的数据,却分在不同的类中。
(图5 Quantile分类图)
Quantile分类,每一类中的数目是相同的,也就是每一种颜色的省份个数一样,但它忽视了省份之间人数的差异。
Standard Deviation
标准差分类。显然适合正态分布的数据,用于表现与均值相异的程度。但涉及一点点统计知识,普通用户可能不好理解。
(图6 Standard Deviation分类,Interval=1std)
Standard Deviation分类可以看出黄色的省份人数适中(均值),而绿色就偏少了,红色最多。另外,这种分类法的图例与一般的不一样,原因是显而易见的。
Natural Breaks(Jenks)
自然断点分类。一般来说,分类的原则就是差不多的放在一起,分成若干类。统计上可以用方差来衡量,通过计算每类的方差,再计算这些方差之和,用方差和的大小来比较分类的好坏。因而需要计算各种分类的方差和,其值最小的就是最优的分类结果(但并不唯一)。这也是自然断点分类法的原理。另外,当你去看数据的分布时,可以比较明显的发现断裂之处(可以参看前文直方图),这些断裂之处和Natural Breaks方法算出来也是一致的。因而这种分类法很“自然”。
那Jenks又是谁?简单介绍下:
George F. Jenks (1916-1996),美国制图学家,生于纽约。41年本科毕业后加入陆军航空队,退伍后进入雪城大学深造,在Richard Harrison指导下学习制图。49年博士毕业后获堪萨斯大学教职,设计并执教制图学课程至退休。Jenks发明的Natural Breaks分类法是最常用的数据分类法,也是ArcGIS中的默认分类法。
Natural Breaks算法又有两种:
(1)Jenks-Caspall algorithm(1971),是Jenks和Caspall发明的算法。原理就如前所述,实现的时候要将每种分类情况都计算一遍,找到方差和最小的那一种,计算量极大。n个数分成k类,就要从n-1个数中找k-1个组合,这个数目是很惊人的。数据量较大时,如果分类又多,以当时的计算机水平根本不能穷举各种可能性。所以当时计算的得到的自然断点是看“运气”的!当然也有一些经验得来的评价指标。
(2)Fisher-Jenks algorithm(1977),Fisher(1958)发明了一种算法提高计算效率,不需要进行穷举(暂时还没看明白,文献也很少。等我弄明白了,再另写吧)。Jenks将这种方法引入到数据分类中。但后来者几乎只知道Jenks而不知Fisher了,难道是学地理的数学都太差的缘故: P。ArcGIS也是以这个算法为基础改进的,就是说还要更快!开源软件中也有些实现了,后面再说。
(图7 Natural Breaks分类图)
Natural Breaks分类可以很好地“物以类聚”,类别之间的差异明显,而类内部的差异是很小的,每一类之间都有一个明显的断裂之处。
比较与总结
从直观上看,这份数据用Standard Deviation和Natural Breaks分类的效果较好,它们两个都考虑了数据分布的统计特征。而Equal(Defined) Interval和Quantile,仅仅是两种相对主观的分类法,不管是类间的距离还是类的数目,在这里都没有明确的标准。不像温度这样的数据,长久以来大家都有默认的区间,比如以10度为区间。
这个比较还说明了一点,即相同的数据,用不同分类方法,所表现的效果是截然不同的,特别是偏度很大或很小的数据。idvsolutions曾撰文讨论过,可参考。
另外,如果要表示时序数据的时候,分类一定要确定,不能因为不同时刻不同数据有不同的分类。比如地图汇的这个气温变化例子,做得很好。不过有个小问题,就是图例的区间都是闭合且连续的。即上一个区间的终点和下一个区间的起点相同,那这个间断点到底应该属于哪一类呢?貌似地图汇暂时都是这样的处理。
分类的评价指标
GVF,The Goodness of Variance Fit,暂且叫“方差拟合优度”吧,公式如下:
(公式1 GVF)
其中,SDAM是the Sum of squared Deviations from the Array Mean,即原始数据的方差;SDCM是the Sum of squared Deviations about Class Mean,即每一类方差的和。显然,SDAM是一个常数,而SDCM与分类数k有关。
一定范围内,GVF越大,分类效果越好。SDCM越小,GVF越大,越接近于1。而SDCM随k的增大而大,当k等于n时,SDMC=0,GVF=1。也就是说k越大,GVF越大。但这显然不是说k越大分类效果越好,就如前文提到过的,人的眼睛能识别的类别是有限的,而且也见过了单一设色的效果,很糟糕。
那这个GVF怎么用,又有什么用呢?主要有两种用途:
(1)类数相同,比较方法的优劣
GVF可以用来比较不同的方法,在相同类数情况下,分类效果的优劣。比如,上述几个分类的GVF:
| 分类方法 | GVF |
| Defined Interval | 0.7203 |
| Equal Interval | 0.7128 |
| Quantile | 0.7271 |
| Natural Breaks | 0.8524 |
| Standard Deviation | 0.8137 |
(表1 GVF大小比较图;注:Standard Deviation类数肯定是奇数的,区间为1std时是5;其余分类数均为4)
可见,Natural Breaks明显优于别的分类法,而且任何数据都是这个结果,因为GVF中的SDCM就是Natural Breaks中类方差和嘛。既然Natural Breaks计算出的方差和(SDCM)是最小的,那GVF显然是最大的了。从这个角度来说,Natural Breaks是最优的分类法,ArcGIS将其作为默认分类法也是因为这个原因,有些地方将也称Natural Breaks为Optimal,都显示出了该方法的优越性。
(2)方法相同,比较类数的优劣
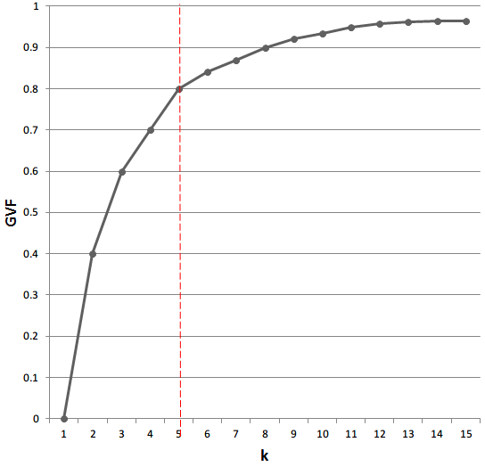
GVF还能用于比较一个方法,不同分类数的分类效果好坏。以k和GVF做图可得:
(图8 GVF变化图)
随着k的增大,GVF曲线变得越来越平缓。特别是在红线处(k=5),曲线变得基本平坦(之前起伏较大,之后起伏较小),k(5)也不是很大,所以可以分为5类。一般来说,GVF>0.7就可以接受了,当然越高越好,但一定要考虑k不能太大。显然,这是一个经验公式,但总比没有好吧。
不分类可以吗?
数据分类的缘起就是因为早年的制图技术不能实现唯一值设色,客观技术的制约导致了数据分类的需求。现在的技术已经完全可以实现,因而有人对数据分类的必要性提出过质疑。但我想数据分类还是必须的,原因前文已述。但如果真的不分类,如何才能更好地表达专题信息?
Prism Map(棱柱图),可以满足这一的需求:
(图9 单一棱柱图)
如果再加上自然断点分类,效果就更好了:
(图10 分类棱柱图)
但这不是专题制图的常规手段,比如ArcScene中不能加图例吧。Jenks说可以以Prism Map为标准来评价各种分类的效果,还提出了tabular error、overview error和boundary error三种指标。有兴趣的去翻论文吧: P
由此,可以想到地图投影的各种方法。没有一种投影是完美的,一种投影只能保持一种性质不变。反观数据分类,同样也没有一种分类是完美的,也需要根据不同的需求去选择。空间参考未来或许会归结为没有投影,仅存地理坐标系,所有的显示、分析都基于球面坐标。类似,数据可能也会不需要分类。
更高级的分类法
上述的各种分类法顶多考虑了数据在数轴上的分布,通过统计特征进行分类。而GIS中的数据都是具有空间位置的,如果将空间位置等考虑进去,那分类方法还有很多值得研究的地方。比如空间位置相邻,数值大小也相近,但自然断点分类后却在两个不同的类别中的两个要素,是不是可以考虑分为一类内?类似的分类法(考虑多指标)已经有人研究,目前还没有流行开来,但可以期待是GIS软件中会出现更多的分类方法。
GIS软件中的实现
总结一下各GIS软件中对分类法的实现也是蛮有意思的(以ArcGIS分类法为参考):
| ArcGIS | SuperMap | MapGIS | QGIS | uDig | |
| Defined Interval | O | O | X | X | X |
| Equal Interval | O | O | O | O | O |
| Quantile | O | O | X | O | O |
| Standard Deviation | O | O | X | O | X |
| Natural Breaks | O | X | X | O | X |
| 其他 | Geometry Interval |
对数分段、开方分段 | 默认提供等距分段 | Pretty Breaks | Unique Values |
(表2 GIS软件分类法比较)
其中,各测试软件版本号为:ArcGIS 10.1、SuperMap Deskpro 6、MapGIS K9、QGIS 1.8、uDig 1.3.2。
各个厂商对分类的理解不一致的,ArcGIS 不再介绍;超图没有自然断点,另外提供了对数、开方分段;MapGIS默认给数据做等距分段,没有方法选择,只能手动修改;QGIS不提供Defined Interval,矢量支持Natural Breaks,还提供Pretty Breaks(貌似在R中见过);uDig没有Defined Interval、Quantile以及Natural Breaks,但提供Unique Values(可这不就是不分类吗,这也算一种分类法Orz)。
参考
主要参考了Thematic Cartography and Geovisualization和Cartography: Thematic Map Design,以及若干文献,就不逐一列出了。
代码
我用C#实现了上述提到的分类法,其中Natural Breaks比较“暴力”(穷举),没有用到Fisher的算法,只能有时间再研究了。
using System; using System.Collections.Generic; using System.Linq; namespace Classification { //------------------------ COMMON METHOD public static class ClassUtil { public const double TOLERANCE = 1E-5; public enum Distance { One, Half, Quarter, } public static double SquareDeviation(IEnumerable<double> vals) { var mean = vals.Sum() / vals.Count(); return vals.Sum(v => (v - mean) * (v - mean)) / vals.Count(); } public static double StandardDeviation(IEnumerable<double> vals) { return Math.Sqrt(SquareDeviation(vals)); } public static void GetBreaksDetail(double[] vals, double[] breaks, out int[,] range, out double[,] legend) { var ord_vals = vals.OrderBy(v => v).ToArray(); var min = ord_vals[0]; var max = ord_vals[ord_vals.Length - 1]; var k = breaks.Length + 1; range = new int[k, 2]; legend = new double[k, 2]; range[0, 0] = 0; range[k - 1, 1] = ord_vals.Length - 1; legend[0, 0] = min; legend[k - 1, 1] = max; for (var i = 1; i < k; i++) { var _break = breaks[i - 1]; double[] nearest_vals = null; int[] nearest_indexes = null; findNearestVals(ord_vals, _break, out nearest_indexes, out nearest_vals); range[i - 1, 1] = nearest_indexes[0]; range[i, 0] = nearest_indexes[1]; legend[i - 1, 1] = nearest_vals[0]; legend[i, 0] = nearest_vals[1]; } } private static void findNearestVals(double[] vals, double obj, out int[] nearest_indexes, out double[] nearest_vals) { nearest_indexes = new int[2]; nearest_vals = new double[2]; for (var i = 0; i < vals.Length; i++) // pre class end { if (vals[i] - obj >= 0) { nearest_indexes[0] = i - 1; nearest_vals[0] = vals[i - 1]; break; } } for (var i = vals.Length - 1; i >= 0; i--) // current class begin { if (vals[i] - obj == 0) { nearest_indexes[1] = i; nearest_vals[1] = vals[i]; break; } else if (vals[i] - obj < 0) { nearest_indexes[1] = i + 1; nearest_vals[1] = vals[i + 1]; break; } } } public static double GVF(double[] vals, int[,] range) // goodness of viriance fit { var SDAM = ClassUtil.SquareDeviation(vals); // the sum of squared deviations from the array mean var SDCM = 0.0d; // the sum of squared deviations between classes var val_list = vals.OrderBy(v => v).ToList(); for (var i = 0; i < range.GetUpperBound(0) + 1; i++) { var class_vals = val_list.GetRange(range[i, 0], range[i, 1] - range[i, 0] + 1); SDCM += ClassUtil.SquareDeviation(class_vals); } var GVF = 1 - SDCM / SDAM; return GVF; } public static void PrintLegend(double[,] legend, String method) { Console.WriteLine(method); for (var i = 0; i < legend.GetUpperBound(0) + 1; i++) { Console.WriteLine(String.Format("{0}~{1}", legend[i, 0], legend[i, 1])); } } public static void PrintGVF(double[] vals, int[,] range) { Console.WriteLine("GVF: " + ClassUtil.GVF(vals, range)); } } //------------------------ DEFINED INTERVAL public static class DefinedInterval { public static double[] GetBreaks(double[] vals, double interval) { var ord_vals = vals.OrderBy(v => v).ToArray(); var min = ord_vals[0]; var max = ord_vals[ord_vals.Length - 1]; var range = max - min; var result = new List<double>(); var _break = min; while (max - (_break + interval) > ClassUtil.TOLERANCE) // the last class interval may be different(arcgis is the first class) { _break += interval; result.Add(_break); } return result.ToArray(); } } //------------------------ EQUAL INTERVAL public static class EqualInterval { public static double[] GetBreaks(double[] vals, int count) { var result = new List<double>(); var ord_vals = vals.OrderBy(v => v).ToArray(); var min = ord_vals[0]; var max = ord_vals[ord_vals.Length - 1]; var interval = (max - min) / count; var _break = min; while (max - (_break + interval) > ClassUtil.TOLERANCE) { _break += interval; result.Add(_break); } return result.ToArray(); } } //------------------------ QUANTILE public static class Quantile { public static double[] GetBreaks(double[] vals, int count) { var result = new List<double>(); var ord_vals = vals.OrderBy(v => v).ToArray(); var min = ord_vals[0]; var max = ord_vals[ord_vals.Length - 1]; var class_count = (int)(ord_vals.Length / count); var _break = min; for (var i = 1; i < count; i++) { _break = ord_vals[i * class_count]; result.Add(_break); } return result.ToArray(); } } // STANDARD DEVIATION public static class StandardDeviation { public static double[] GetBreaks(double[] vals, ClassUtil.Distance distance) { var result = new List<double>(); var ord_vals = vals.OrderBy(v => v).ToArray(); var mean = ord_vals.Sum() / ord_vals.Length; var min = ord_vals[0]; var max = ord_vals[ord_vals.Length - 1]; var std = ClassUtil.StandardDeviation(vals); var dist = 0.0d; switch (distance) { case ClassUtil.Distance.One: dist = std; break; case ClassUtil.Distance.Half: dist = std / 2; break; case ClassUtil.Distance.Quarter: dist = std / 4; break; default: break; } var _break = mean - dist / 2; result.Add(_break); while (_break - dist - min > ClassUtil.TOLERANCE) { _break -= dist; result.Add(_break); } result.Reverse(); _break = mean + dist / 2; result.Add(_break); while (max - (_break + dist) > ClassUtil.TOLERANCE) { _break += dist; result.Add(_break); } return result.ToArray(); } } // NATURAL BREAKS public static class NaturalBreaks { public static double[] GetBreaks(double[] vals, int count) { var group_vals = vals.OrderBy(v => v).GroupBy(v => v).ToDictionary(g => g.Key, g => g.ToArray()); var n = group_vals.Keys.Count; var k = count; var all_breaks = getAllBreaks(n - 1, k - 1); // combination var min_sum_sqd = double.MaxValue; int[] optimal_breaks = null; foreach (var breaks in all_breaks) { var break_positions = new List<int>(); break_positions.Add(0); break_positions.AddRange(breaks); break_positions.Add(n); var sum_sqd = 0.0d; for (var i = 0; i < break_positions.Count - 1; i++) { var begin = break_positions[i]; var gap = break_positions[i + 1] - begin; var class_vals = new List<double>(); for (var j = 0; j < gap; j++) { var key_index = begin + j; var key = group_vals.Keys.ElementAt(key_index); var key_vals = group_vals[key]; class_vals.AddRange(key_vals); } sum_sqd += ClassUtil.SquareDeviation(class_vals.ToArray()); } if (sum_sqd < min_sum_sqd) // ignore the same min_sum_sqd { min_sum_sqd = sum_sqd; optimal_breaks = breaks; } } var result = new List<double>(); foreach (var _break in optimal_breaks) { result.Add(group_vals.Keys.ElementAt(_break)); } return result.ToArray(); } private static List<int[]> getAllBreaks(int n, int k) { var r = new int[k + 1]; var rs = new List<int[]>(); combination(n, k, r, rs); return rs; } private static void combination(int n, int k, int[] r, List<int[]> rs) { for (var i = n; i >= k; i--) { r[k] = i; if (k > 1) { combination(i - 1, k - 1, r, rs); } else { rs.Add(r.Skip(1).ToArray()); } } } } }这是测试数据。
免责声明:本站所有文章内容,图片,视频等均是来源于用户投稿和互联网及文摘转载整编而成,不代表本站观点,不承担相关法律责任。其著作权各归其原作者或其出版社所有。如发现本站有涉嫌抄袭侵权/违法违规的内容,侵犯到您的权益,请在线联系站长,一经查实,本站将立刻删除。 本文来自网络,若有侵权,请联系删除,如若转载,请注明出处:https://haidsoft.com/156553.html


