大家好,欢迎来到IT知识分享网。
上一节主要是介绍LSD算法理论,这节主要是介绍LBD算法。
参考文章:An efficient and robust line segment matching approach based on LBD descriptor and pairwise geometric consistency —-Lilian Zhang , Reinhard Koch
第二部分:Line detection and description
1.尺度空间中提取线段
为了克服在线检测碎片问题和提高大尺度变化的性能,我们的检测框架采用由对原始图像进行高斯下采样( with a set of 尺度因子and 高斯模糊 )的尺度空间金字塔组成(N层图像)。我们首先用Edline算法每层的尺度空间产生一组线。每条直线都有一个方向,它是由从直线左侧到右侧的大部分边缘像素点的梯度构成的。然后通过在尺度空间中找到对应的直线来组织它们。在尺度空间中所有的线,他们被分配一个唯一的ID,如果在图像中他们相关相同的事件,将其存储在一个称为LineVecs的向量中(即图像的同一区域具有相同的方向)。线检测方法 不同于Wang et al.[5] ,通过重新组织从尺度空间提取的所有的线段形成LineVecs,从而降低了图匹配问题的维数。最终提取的结果是一组LineVecs如下图:
如图1所示,每个Linevec可能包括尺度空间的多条线。为描述一个LineVec局部外观,对于其中的每条线,我们会在被提取的线段的每层图中产生一种线描述符。
2.条带(Band)来表示线的支持域
在octave image给出了线段,描述符将从线段支持域(LSR)计算。该支持区域被划分为一组条带{B1;B2;…;Bm},每个条带都是LSR的子区域并且他们之间的平行的,条代数m的和每个条带的宽度w,条带的长度等于线段的长度,如下图当m =5 ,w=3的LSR例子。
类似于 MSLD[11],引入两个方向构成a local 2D coordinate frame(局部二维坐标系),用于区分具有相反梯度方向的平行线并使描述符旋转不变。根据线的方向为





对于SIFT[23] and MSLD,两个高斯函数应用在每一行沿着







此方法描述子区域的优点:首先,它对



3.构造条带描述符
(the Line Band Descriptor) LBD:
每条条带的描述子BDj:通过其最近的两相邻行的条带Bj-1 ; Bj+1来计算 。特别是,对于在顶部和底部的条带带B1和Bm,在计算B1和Bm的描述子时行在LSR之外不会被考虑在内。(所以下面n的取值会把j=1||m单独出来)
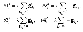
BDj的计算(其实就是描述的上下左右四个方向):
k:表示在条带Bj的第k行,我们累积的像素的梯度在这行;
条带描述矩阵the band description matrix (BDM):
BDj由BDMj矩阵的均值向量Mj and标准方差 Sj 得到:
LBD的均值部分和标准方差部分由于其大小不同,分别进行规范化处理。此外,为减少非线性光照变化的影响,对LBD每个维度的进行抑制,使它小于一个阈值(经验:0.4的是一个很好的值)。最后,我们重新规范约束向量得到单元的LBD。
二.描述符性能评价
在检测我们提出的图像匹配算法之前,我们线分析一下LSR参数的影响,例如条带的数量m和条带的宽度w,评价LBD的性能与MSLD描述子做比较。
Mikolajczyk and Schmid [33]建立一个基准,评价局部描述符的性能。我们使用这个框架来比较线描述符的性能。实验数据集包括八组图像:光照变化、面内旋转、jpeg压缩、图像模糊、图像遮挡、低纹理场景中视点变化和纹理场景,以及尺度变化。
针对这一部分所描述的描述符的匹配性能,我们选择了最近邻匹配准则,根据描述符的距离对线进行匹配,避免了由于不同描述符偏爱不同阈值而造成距离阈值的偏差。这种匹配准则的另一个优点是,召回率(正确匹配的数量除以地面对应的数目)和匹配精度(正确匹配的数量除以总数量的匹配)是唯一的决定正确匹配的数量由于不同的描述符的分母是相等的。
描述子维数
下图显示了所有的图像正确匹配的数量是由这两个参数(m和w)影响的。It is clear that LBD and MSLD share similar rules: the performance increases fast at the beginning with the increment of m or w, then reaches the best performance when m=9 and w is about 7 or 9, after that there is a steady performance decrease.
The results are well explained by the fact that larger values of m and w (i.e. larger LSR) make the descriptor more distinctive(独特的) while they also reduce the repeatability(可重复性) of the LSR.
We also evaluate the time performances of these two descriptors which are given in Table 1.
Although the time performances may change from image to image, their relative relationship will keep the same. We only show the results which are generated from an example image with the size of 900×600 and 573 extracted lines. Basically, the larger m and w are, the more computational time is consumed.
LBD is less sensitivity(敏感) to the increase of m and w than that of MSLD, especially for the increase of w.Based on the aforementioned evaluation, through the rest of the paper, the descriptor will be computed from a LSR with m= 9 and w= 7, resulting in a 72-dimensional descriptor. Then the computing times of LBD and MSLD for the example image are 28 ms, and 137 ms, respectively.
2.MSLD and LBD更多比较
比较每组照片的,MSLD and LBD recall ratios如下图:
(a) shows the performances of MSLD and LBD for the image illumination changes. From image 1 to image 5, the lighting condition gets worse. The recall ratios decrease with the increment(增长) of the lighting distortion(照明畸变).
(b) shows the results for images which are generated by a set of in-plane rotation varying from15° to75° .It is interesting that when the rotation angle is 45 (between image 3 and the reference image), LBD and MSLD perform worst because of the aliasing of discrete lines(离散线的混叠).
(c) and (d) show the descriptor performance against the image compression(压缩) and the image blurring(模糊), respectively. Not surprisingly, the performances decrease with the increment of the image compression ratio(压缩比) or the image blurring.
(e) shows the descriptor performance against image occlusion(遮挡). To evaluate the occlusion effect, we first artificially(人工地) add some vertical line(垂直线) features in a background image, then shift the region of interest along the vertical direction of the artificial image to generate a set of smaller images as shown in Fig. 5(e). This process makes sure that for the most of the lines, their LSR in the image sequence(图像序列) will change gradually (some part of the LSR moves out or in). The results show that the descriptor performance decreases with the increment of the image occlusion.
(f) shows the descriptor performance in the lowtexture scene(低纹理场景). Images in this sequence are captured in front of the window with small view point changes. The results do not show drastic change(巨大的变化) in performance because of the small baseline between images.
(h) shows the most challenging case for the descriptors, i.e, the large scale change. The scale ratio(比率) between the query images and the reference image range from 0.9 to 0.3. The performance decreases fast with the scale change.
转载于:https://www.cnblogs.com/Jessica-jie/p/7523364.html
免责声明:本站所有文章内容,图片,视频等均是来源于用户投稿和互联网及文摘转载整编而成,不代表本站观点,不承担相关法律责任。其著作权各归其原作者或其出版社所有。如发现本站有涉嫌抄袭侵权/违法违规的内容,侵犯到您的权益,请在线联系站长,一经查实,本站将立刻删除。 本文来自网络,若有侵权,请联系删除,如若转载,请注明出处:https://haidsoft.com/156806.html










