大家好,欢迎来到IT知识分享网。
回顾总结 第一章
主要研究了
总述 第二章
自本章起,全书仅针对线性时不变(LTI)系统进行讨论。本章将研究以下知识点:
- 给出LTI离散时间系统的差分方程描述
- 给出LTI连续时间系统的微分方程描述
- 建立LTI离散时间系统单位冲激响应的概念
- 建立LTI连续时间系统单位冲激响应的概念
- 导出求解LTI离散时间系统零状态响应的方法——卷积和
- 导出求解LTI连续时间系统零状态响应的方法——卷积积分
- 研究单位冲激响应与系统特性的关系(对LTI离散时间系统与LTI连续时间系统分别分析)
- 研究卷积的运算性质(对LTI离散时间系统与LTI连续时间系统分别分析)
2.1 线性时不变离散时间系统的差分方程描述(含知识点1)
本节叙述架构:
| 给出线性常系数差分方程定义 |
| 简述差分方程的求解步骤 |
| 给出系统零输入响应和零状态响应的定义 |
补充:什么是系统?
用于产生、处理、传输信号的物理装置。
在数字信号处理的理论中,人们把能加工、变换数字信号的实体称作系统。由于处理数字信号的系统是在指定的时刻或时序对信号进行加工运算,所以这种系统被看作是离散时间的,也可以用基于时间的语言、表格、公式、波形四种方法来描述。人们研究系统,设计系统,利用系统加工信号、服务人类。除上述的四种描述方法,描述系统的方法还有符号、单位脉冲响应、差分方程和图形。
补充:描述系统的方法主要有哪些?
主要有——输入输出描述法、状态变量描述法、使用微分方程或差分方程表示的方法。
- 输入输出描述法——主要关注系统的输入和输出之间的关系,通过系统用微分方程或差分方程表示的方法来解析系统的行为。这种方法通过建立输出变量及其导数与输入变量及其导数的关系式,来描述系统的动态行为。微分方程是指含有未知函数及其导数的关系式,而差分方程则是指包含未知函数的差分及自变量的方程,两者都用于描述一般控制系统的动态行为。
- 状态变量描述法——则是通过引入状态空间的概念,将原本的高阶微分(差分)方程转化为一组微分方程组的形式,从而简化系统的描述。状态空间的引入使得我们可以更方便地理解和分析系统的动态行为。
- 使用微分方程或差分方程表示的方法——提供了数学模型,这些模型可以用来说明系统的构成和行为的数学方程和图像,甚至用物理形式表达。通过这些模型,我们可以有效地求得系统的设计参数和确定各种制约条件,进而改进模型,以确切反映和符合系统的客观实际。
2.1.1 LTI离散时间系统的差分方程
补充:系统的分析过程:
对系统物理特性进行数学抽象,建立数学模型——>已知系统数学模型、系统起始状态、输入激励信号,运用数学方法求解响应——>对所求结果作出物理解释、赋予物理意义,回到物理实际
补充:为什么用差分方程描述LTI离散时间系统?
因为离散时间系统的输入和输出都是离散信号,而差分方程能够有效地表达离散信号之间的关系。
在连续系统中,我们使用常微分方程来描述系统的动态行为,因为在连续系统中,输入和输出信号都是连续的,可以通过微分运算来描述它们的变化。然而,在离散时间系统中,输入和输出信号都是离散的,这意味着它们只在特定的时间点上有值,而在其他时间点上值为零。因此,微分运算在这里失去了意义,因为它依赖于函数在无限小的时间间隔内的变化率,这在离散系统中并不适用。相反,差分运算更适合描述离散信号的变化,因为它关注的是相邻时间点上的值之间的差异。
差分方程通过定义系统在离散时间点的响应来描述LTI系统的特性。具体来说,差分方程反映了系统输出与输入之间的关系,这种关系在每个离散时间点上都是线性的,并且系统参数在一段时间内保持不变。这种描述方式不仅适用于离散时间信号的处理和分析,而且为数字信号处理提供了理论基础。例如,在数字滤波器的设计中,差分方程是一个重要的工具,用于实现特定的频率响应或滤波效果。
1.如何描述LTI离散时间系统输入f[n]和响应y[n]间的映射关系?
线性常系数差分方程和一组初始条件
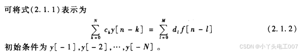
2.线性常系数差分方程的一般形式
3.求解线性常系数差分方程
2.1.2 离散时间系统零输入响应和零状态响应的概念
1.零输入响应![《信号与系统》何子述第二章——线性时不变系统的系统描述和系统响应学习笔记(Part one)插图13 y_{s}[n]](data:image/svg+xml,%3Csvg%20xmlns='http://www.w3.org/2000/svg'%20viewBox='0%200%200%200'%3E%3C/svg%3E)
输入信号为零,离散时间系统的响应仅由初始状态产生。
2.零状态响应![《信号与系统》何子述第二章——线性时不变系统的系统描述和系统响应学习笔记(Part one)插图17 y_{f}[n]](data:image/svg+xml,%3Csvg%20xmlns='http://www.w3.org/2000/svg'%20viewBox='0%200%200%200'%3E%3C/svg%3E)
系统只有输入信号,初始状态为零。
3.系统的全响应
由于系统产生响应的原因有两个,一个是输入信号,另一个是系统的初始状态,根据系统的线性——“和的响应等于响应的和“,所以,系统的全响应为零输入响应与零状态响应之和,即
2.2 线性时不变离散时间系统响应——卷积和(含知识点5)
本节叙述架构:
| 给出离散时间系统单位冲激响应的定义 |
| 导出基于系统LTI特性的求系统零状态响应的方法——卷积和 |
| 介绍一些求卷积和的计算方法 |
补充:什么是卷积?
卷积的定义:
在泛函分析中,卷积、旋积或褶积(英语:Convolution)是通过两个函数f和g生成第三个函数的一种数学运算,其本质是一种特殊的积分变换,表征函数f与g经过翻转和平移的重叠部分函数值乘积对重叠长度的积分。如果将参加卷积的一个函数看作区间的指示函数,卷积还可以被看作是“滑动平均”的推广。
深刻理解卷积概念:
通常来讲,一个系统的响应不仅与当前时刻的输入有关,也与之前若干时刻的输入有关。常言道,“冰冻三尺非一日之寒。”所以我们计算系统输出时就必须考虑当前时刻的信号输入产生的响应和之前一个时刻信号输入产生的响应,这两者叠加起来才是系统的响应。
我们使用离散序列来理解卷积的这种叠加效果:
设输入信号为x[n],输出信号也就是系统响应为y[n],那么:
在n=0时刻:输入——x[0],响应——y[0];
在n=1时刻:输入——x[1],若此种响应未改变,则系统响应为——y[0]+y[1];
依此类推。此时的系统响应称为序列的累加和。
但在实际系统中,0时刻的响应不太可能在1时刻仍旧没有变化,这种变化可能是削弱、增加等等。所以我们需要一种关系表述这种变化,引入这种关系能够表示y[0]在1时刻究竟被削弱了多少,削弱后剩下的值才是y[0]在1时刻的真实值,再通过求和运算,计算出真实的系统响应。
再向前分析,某时刻的系统响应往往不一定是由当前时刻和前一时刻这两个响应决定的,也可能是再加上前前时刻,前前前时刻,前前前前时刻,等等,那么怎么约束这个范围呢,就是通过对h(n)这个函数在表达式中变化后的h(n-m)中的m的范围来约束的。即说白了,就是当前时刻的系统响应与多少个之前时刻的响应的 “残留影响”有关。
卷积是人为定义的一种运算,就是为了计算的方便规定的一种算法。
卷积是一种积分运算,它可以用来描述线性时不变系统的输入和输出的关系:即输出可以通过输入和一个表征系统特性的函数(冲激响应函数)进行卷积运算得到。
补充:卷积的实质
对信号进行滤波。
2.2.1 离散时间系统的冲激响应(含知识点3)
冲激响应的定义
冲激响应是“信号与系统”课程中的一个基本概念,其定义为,当离散时间系统的输入信号为单位冲激信号![《信号与系统》何子述第二章——线性时不变系统的系统描述和系统响应学习笔记(Part one)插图23 \delta [n]](https://haidsoft.com/wp-content/uploads/2022/11/2022112316405970.jpg)
解差分方程,求冲激响应:递推求解法/直接解方程法
2.2.2 卷积和(含知识点5)
在“信号与系统”课程中,可将冲激信号![《信号与系统》何子述第二章——线性时不变系统的系统描述和系统响应学习笔记(Part one)插图23 \delta [n]](https://haidsoft.com/wp-content/uploads/2022/11/2022112316405970.jpg)
![《信号与系统》何子述第二章——线性时不变系统的系统描述和系统响应学习笔记(Part one)插图23 \delta [n]](https://haidsoft.com/wp-content/uploads/2022/11/2022112316405970.jpg)
已知LTI离散时间系统的输入信号f[n]和冲激响应h[n],怎样求解系统的零状态响应y[n]?
思路:
由于:系统对冲激信号的响应为h[n],倘若输入信号可以分解成若干个延时的冲激信号加权和的形式,则根据系统的线性时不变性,系统的响应即为若干个延时的冲激响应加权和的形式。
免责声明:本站所有文章内容,图片,视频等均是来源于用户投稿和互联网及文摘转载整编而成,不代表本站观点,不承担相关法律责任。其著作权各归其原作者或其出版社所有。如发现本站有涉嫌抄袭侵权/违法违规的内容,侵犯到您的权益,请在线联系站长,一经查实,本站将立刻删除。 本文来自网络,若有侵权,请联系删除,如若转载,请注明出处:https://haidsoft.com/156877.html








