大家好,欢迎来到IT知识分享网。
一、余弦距离
形式化描述:
余弦夹角也可以叫余弦相似度。几何中夹角余弦可用来衡量两个向量方向的差异,机器学习中借用这一概念来衡量样本向量之间的差异。
余弦取值范围为[-1,1]。求得两个向量的夹角,并得出夹角对应的余弦值,此余弦值就可以用来表征这两个向量的相似性。夹角越小,趋近于0度,余弦值越接近于1,它们的方向更加吻合,则越相似。当两个向量的方向完全相反时,夹角余弦取最小值-1。当余弦值为0时,两向量正交,夹角为90度。因此可以看出,余弦相似度与向量的幅值无关,只与向量的方向有关。
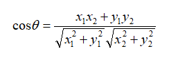
公式描述:
在二维空间中向量

Python实现:
import numpy as np vec1 = [1,2,3,4] vec2 = [5,6,7,8] #法一:根据公式求解 dist1 = np.dot(vec1,vec2)/(np.linalg.norm(vec1)*np.linalg.norm(vec2)) print("余弦距离为:\t"+str(dist1)) #法二:根据scipy库求解 from scipy.spatial.distance import pdist Vec = np.vstack([vec1,vec2]) dist2 = 1 - pdist(Vec,'cosine') print("余弦距离为:\t"+str(dist2))
余弦距离为: 0.69662 余弦距离为: [0.]
二、欧式距离
形式化描述:
在数学中,欧几里德距离或欧几里德度量是欧几里德空间中两点间“普通”(即直线)距离。使用这个距离。欧式空间成为度量空间。相关联的范数称为欧几里德范数。较早德文献称之为毕达哥拉斯度量。
公式化描述:
1)平面上两点
三、曼哈顿距离
四、明可夫斯基距离
五、切比雪夫距离
六、杰卡德距离
七、汉明距离
八、标准化欧式距离
九、皮尔逊相关系数
十、编辑距离
来源:自然语言处理理论与实战
免责声明:本站所有文章内容,图片,视频等均是来源于用户投稿和互联网及文摘转载整编而成,不代表本站观点,不承担相关法律责任。其著作权各归其原作者或其出版社所有。如发现本站有涉嫌抄袭侵权/违法违规的内容,侵犯到您的权益,请在线联系站长,一经查实,本站将立刻删除。 本文来自网络,若有侵权,请联系删除,如若转载,请注明出处:https://haidsoft.com/121834.html

