大家好,欢迎来到IT知识分享网。
3.1 电容的单位
电容的基本单位是:F(法)、uF(微法)、pF(皮法)、nF(纳法)。各单位之间的换算关系:1F= uF,1uF = 1000nF = pF,1nF = 1000pF。uF 就是 10^(-6)F,nF 就是 10^(-9)F,pF就是10^(-12)F。电容通常没有mF标称,但是一定要写出mF,也没有错的,电感的话mH是比较多的。
3.2 电容的分类
3.2.1 有极性电容
有极性电容的正负不能接反,接反电容很容易爆炸。
3.2.1.1 液态电解电容
液态电解电容具有容值高、电压高、尺寸大、高频性能差、使用寿命一般、有正负极之分的特点。通常用于电源稳压上。 譬如我们常用的铝电容,全称是铝电解电容是一种有极性电容。在电源附近经常看到它作为储能作用。
优点:
1)价格低。 2)容量很大。 3)耐压可以做得很高,比如可以到 600V,1000V 等。
缺点:
1)体积大 2)有电解液,容易挥发,寿命短 3)阻抗比较大(ESR和ESL较大),发热,加速挥发,容量就急剧下降 4)使用温度范围较窄 5)铝电解不可以承受反向耐压的,接反很危险,会爆炸
铝电容极性判断方法:
有标志的是负极;腿长的是正极。
液态电解电容容值:
0.1uF/50V 1uF/50V 100uF/25V 1000uF/16V 0.22uF/50V 2.2uF/50V 100uF/35V 1000uF/25V 0.33uF/50V 3.3uF/50V 100uF/50V 1000uF/50V 0.47uF/50V 4.7uF/50V 220uF/25V 2200uF/6.3V 10uF/50V 330uF/35V 2200uF/25V 22uF/50V 470uF/25V 2200uF/50V 33uF/16V 470uF/50V 3300uF/25V 47uF/25V 680uF/16V 3300uF/35V 47uF/50V 680uF/25V 3300uF/50V 4700uF/25V 4700uF/50V
这是低压电解电容,实际电解电容也有高压的,但是高压电解电容,尺寸就会更大。
尺寸越大越容易做大容量,也越容易做高压,尺寸越小,反之。
液态电解电容一般都是被用来做容量储存使用,但是因为电解电容随着时间,温度等参数的影响,寿命是有限的,其具体的表现为容量下降,这样就会导致计算出来的值与实际值就会有偏差,计算值远远大于实际值(考虑衰减,需要放余量),所以在使用的时候需要考虑电容的电压和容值都要考虑放有一定的余量。但是由于电容的余量放大了之后,导致我们在计算出来的结果就不准确了。所以在我们进行电路设计的时候,往往都是采用经验法来选择电容。
3.2.1.2 固态电解电容
钽电容也属于电解电容的一种,使用金属钽替代了电解液,属于固态电解电容的一种。具有容值高、电压低、尺寸小、高温特性好、使用寿命长、有正负极之分的特点。通常用于低电压紧凑型设备的电源滤波和音频滤波。 例如手机里面就会用到一些钽电容,电脑上也有不少。
钽电容极性判断方法:有标志的是正极。
3.2.2 无极性电容
3.2.2.1 陶瓷电容
陶瓷电容(也被称为瓷片电容)具有容值小、电压高、尺寸小、高频性能好、不区分正负极的特点。陶瓷电容通常用于去耦、滤波等场景。
比较常见的瓷片电容容值:
5PF 100PF(121) 1500PF/1.5nF(152) 15nF/0.015uF (153)
12PF 150PF(151) 1800PF/1.8nF(182) 20nF/0.02uF (203)
15PF 220PF(221) 2000PF/2nF(202) 22nF/0.022uF (223)
18PF 330PF(331) 2200PF/2.2nF(222) 33nF/0.033uF (333)
20PF 470PF(471) 2700PF/2.7nF(272) 40nF/0.04uF (403)
30PF 820PF(821) 5600PF/5.6nF(562) 100nF/0.1uF (104)
33PF 39PF 47PF 50PF 68PF 82PF 100nF 220nf 330nf 470nf 1uf
备注:1)12pF、15pF多使用在单片机晶振电路中。主要是帮助起振,起振起来之后可以不需要电容;
2)100nf电容一般用在电源退耦部分,主要是并联在大电解电容的旁边,用于去除高次谐波的干扰。
3.2.2.2 X 电容
X电容是在电路中用来滤波差分信号的。一般用在开关电源的输入,跨接在L和N线之间,L和N线之间是220V的电压,L和N之间是交流,电容是隔直通交的,放在这里的电容,不可以大,如果,X电容容量非常大,是不是容抗会非常低?如果,容抗低了,L和N之间 电流会很大,会存在风险的。电流直通了。1/(2ΠfC)这个是电容的容抗,如果C 越大,容抗就越低。
在开关电源输入部位,是必装X电容的,不然产品的EMI干扰是过不了的,X电容是滤除差模干扰的,必须要安装,容量也不能大,所以X电容的容量10nF-2.2μF之间。另外,还有一点,这个电容在端口,接触的是高压220V,是有风险的,所以,对于这个电容,是有特别的规定的,不是什么电容都可以。必须是要经过认证的安规电容。其他任何电容,不能替代它。
3.2.2.3 Y电容
Y电容在电路中用来滤除共模干扰。共模干扰:信号对大地的干扰。跨接在L与大地,或者 N与大地之间,它是滤除共模干扰的,也是EMI的需要就用到了。
3.3 电容存储能力原理
像这个样子,大家看下,一边是正一边是负,是不是,互相吸引?电容断电之后,正电和负电,紧紧把薄片吸住,他们之间会有很强的电场。这个电场就是能量,如果正电荷和负电荷堆积得越来越多,电场的作用就越来越大,正电荷和负电荷就牢牢的吸在薄片的两端,这样就实现了电容存储电能的作用。
电荷分布在薄片两边,又相互过不去,相互吸引,又不能流动,电解电容是离子导电,离子的体积是比较大的,薄片完全能挡住两端。这个电场之间的吸引力电场就是能量,如果电荷放完,两端电荷就没了,存储的能量就消失了,对于这个,大家大概了解就行,毕竟是元器件厂商才会深入研究。
3.4 电容的容抗特性
电容是有容抗的,电容的容抗与频率有关,也与容量是有关系的,这个就是电容的容抗公式:
首先,容抗是与频率有关系的,对于直流,频率是多高?直流,就是周期无穷大,那么 1/ T =0,那么,此时容抗是多大?f趋近于0,那么容抗就是无穷大,所以电容隔直流。
3.5 电容的高频模型
上方是电容的高频模型,只要对于实际的元器件,它跟理想的元器件都是有差异的。只要是元器件,它都是由物体组成,只要是物体组成,无论导电性多强,都是有电阻的,只是电阻值很小,所以在电解电容中,它也会有电阻的,在模型中可以等效于电容串联的一个电阻,这个电阻,在电容的高频模型中称为ESR。另外,只要有引线,其实也会存在电感的,可以称为寄生电感,在电容的高频模型,称为ESL。
3.6 电容的几个需要掌握的关键参数
1)标称容值
2)耐压
耐压这个参数也是我们必须考虑的,如果耐压不够,电容很容易就炸了。
3)温度等级
比如说不同的材质,对应的温度范围是不一样的,温度范围越宽,说明这个电容的适应范围就更广了。
4)误差等级
这个误差就是电容的标称值与实测值之间可能不太一样,正常实测值应该要满足所标的误差范围。表示这个容值允许有一定范围的波动,如果超过这个波动的范围,那么这个电容制作就不合规了。
5)材质
NPO基本上是最好的材质了。瓷片电容中的佼佼者。但是价格比较贵啊,一般在非特殊地方很少使用。
6)封装
就是 0402、0603、0805、1206、1210 等等。
3.7 电容在电路中的作用
电容主要是储能以及滤波的作用。
电容如果在工作,无非是有两种状态: 1、被充电 2、被放电。边冲边放不成立,如果充电电流=放电电流,电流就抵消了,所以不会说边冲边放的。
储能作用例子1:
C1 在这里是做储能用的,比如芯片需要供电 12V,右边已经有了一个 12V 的电源了,按理直接不用电容,理论上应该没问题,但是12V 的电源,就是为芯片来提供能量,他的带载能量是有限的,假设12V电源最多只能输出 50mA 的能力。
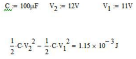
假设芯片遇到一个突发情况,突然变成为60mA,如果没有电解电容的情况下,带载能力会不够,12V 电压,肯定会被这60mA 拉低的,有可能导致芯片关闭,如果有了电解电容之后,电解电容中是不是有能量?电容的能量公式如下图所示。C是电容容值,V是电压。
假设,芯片的额定供电为12V 电压,最小供电为11V 电压,芯片电压只要不跌出11V,芯片就还能工作,假设C1=100uF,C1从12V掉到11V 电压,会给芯片补给多少能量?
12V的时候 C1 有能量 :1/2*C1*V2^2;
掉电到 11V 的时候,C1 的能量 只剩下了 :1/2*C1*V1^2。
那么电解电容可以补给的能量为
其实单片机旁边电容的选取,在一些单片机的手册中一般会给建议值的,一般都是两个电容配合使用,建议都是一个大电容一个小电容配合着来,大电容与小电容配合,滤低频也滤高频。一般大电容的话都是10uF以下,小电容是104。几乎都是这样搭配使用,当然对于不同的单片机,有的引脚需要接特殊的电容,那么这个特殊的电容在手册中都会给出推荐值。
储能作用例子2:
有时候电路的回路走线比较长,那么走线长会存在什么问题呢?走线越长,走线上的等效电感就会越大。有电感,是不是就会有感抗呢?那么这个时候假设直流电源能给后级提供10A的能力,因为感抗的存在,就不能提供这么大的电流了。
假设这个负载是一个动态负载,假设这个负载平常工作时,只需要1A 的电流,那么这个时候,直流电源能够提供,但如果这个时候,负载瞬间需要5A的电流,那么这个时候由于走线上的阻抗存在,就无法为后级电路提供那么大的电流了,这个时候这个电路就无法满足我们的需求了。可以用公式计算下:电感的电压公式U = L*di/dt,假设在1us的时间内,电流从1A变到5A,我们假设L = 100nH
根据公式可以知道电感两端产生0.4v的压降了,那么如果这个时候电感变得更大,电流变化也更大,那么电感两端压降就会越大,那么负载两端压降也会降低,负载就无法得到我们想到的5A的电流了。
既然走线长了,走线上可能存在感抗,无法瞬间提供负载需要的能量,那么这个时候我们可以在电路中加一个电容,这个电容作为储能所使用,就可以解决能量供应不足的问题。
这样即使负载瞬间需要5A的电流,那么可以通过电容来进行提供。后面负载瞬间需要一个比较大的能量,就可以由电容来提供,但是假设后级负载需要的能量很大很大,这个时候电容可能发热会比较严重,因为电流很大,即使一个小的ESR,那么产生的功耗也会比较大:I^2*ESR,这个就是全部用来发热了。既然发热的源头是ESR,那么我们能不能去减小ESR呢?可以通过并联电容来减小ESR,比如之前是使用一个1000uF 的电容,那么现在可以换成两个470uF的电容并联(电容的并联就相当于电阻的串联,总的容量是两个并联电容的容量相加)。
滤波作用:
如图所示,电源上出现了一个瞬间高的能量的时候,此时会有一个尖峰电压。
没有电容的时候,这个电源上的毛刺波幅值是很大的,如果这个幅值超过了后极芯片的最大耐压值,那这个芯片可能一次不坏,但是次数多了,可能就扛不住。
当A点加电容后,尖峰的幅值变低了,时间变宽了,但是降低后的尖峰幅值在芯片的安全范围内,那这个电路就比较安全了。
当能量不是很大的时候,电容可以起到滤波作用。毛刺波可以等效成交流电压,而交流电压是可以通过电容传到地的。
3.8 电容电压纹波率
电容电压的纹波率 = 峰峰值/直流分量,纹波率可以用这个公式来进行求解。
大家看这个图(横坐标是时间,纵坐标是电压),理想情况下,直流5V电压是没有一点波动的,是一条纯粹的直线,但是对于开关电源而言,实际上5V是没有那么干净的,5V 上或多或少会有一些波动的。
实际上可能是这样的波形是吧,所以这里就涉及到两个概念了,第一:直流分量,我们把纯粹这一根直线,称为直流分量。
图中的蓝色波形成为交流分量,从图中可以看出:交流分量是驼在直流分量上的是吧,那我们一般就把交流分量的峰峰值成为电压纹波了。
如图所示,就是交流分量的峰峰值,知道了这两个概念之后,下面我们就可 以一起来计算一下纹波率了啊,假设峰峰值是 50mV,那么大家是否可以把电压 纹波率计算出来啊?电容电压的纹波率 = 峰峰值/直流分量 电容电压的纹波率 = 50mV / 5V * 100% = 1% 对于我们做一个电源来说,为什么要有纹波这个技术指标呢?我们设计一个电源,是不是为了给后级供电啊,比如 单片机供电要 3.3V 是吧,那么如果 我们设计出来的 3.3V 波动特别大。
这样的波动,我们能忍受吗?是不是单片机耐压可能出现问题,或者会出现单片机工作不稳定啊,那么我们退一步来说,即使这个电压工作范围单片机能正常工作,那么这样的电源是一个好的电源设计吗?实际产品中,客户还想,电源一点纹波都没有呢!但是这是不可能的,所以我们设计一个电源,就有了纹波这一个技术指标了。我们说下怎么减小纹波: 第一点:最简单的方法,可以增大电容的容量。 第二点:我们可以降低所选电容的ESR,比如说,可以选择两个电解电容并联使用。例如一个1000uF 的电容,我们可以使用两个 470uF的电容并联。
免责声明:本站所有文章内容,图片,视频等均是来源于用户投稿和互联网及文摘转载整编而成,不代表本站观点,不承担相关法律责任。其著作权各归其原作者或其出版社所有。如发现本站有涉嫌抄袭侵权/违法违规的内容,侵犯到您的权益,请在线联系站长,一经查实,本站将立刻删除。 本文来自网络,若有侵权,请联系删除,如若转载,请注明出处:https://haidsoft.com/124698.html






























