大家好,欢迎来到IT知识分享网。
一、什么是泊松方程
二、泊松方程告诉了我们什么
1.积分形式
2.薄层电荷
一、什么是泊松方程
二、泊松方程告诉我们什么
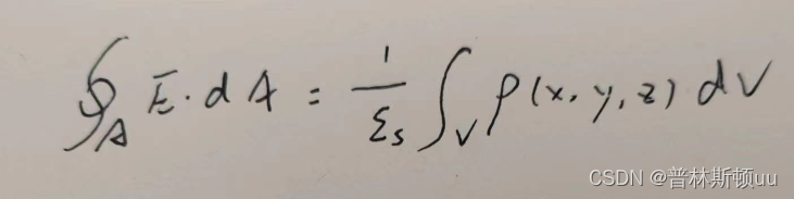
1、积分形式

对电场强度在一个封闭曲积分等于封闭曲面所包围体积的电荷量除以介电常数
2、薄层电荷
E1(0-)和E1(0+)分别表示界面两侧的电场强度,

泊松方程常常用来表示来求解耗尽层内,由电荷体密度
免责声明:本站所有文章内容,图片,视频等均是来源于用户投稿和互联网及文摘转载整编而成,不代表本站观点,不承担相关法律责任。其著作权各归其原作者或其出版社所有。如发现本站有涉嫌抄袭侵权/违法违规的内容,侵犯到您的权益,请在线联系站长,一经查实,本站将立刻删除。 本文来自网络,若有侵权,请联系删除,如若转载,请注明出处:https://haidsoft.com/125910.html



