大家好,欢迎来到IT知识分享网。
一、同角三角函数关系
1、基本公式
2、快速求值方法
3、题型
3.1、一次式整式求值
sinα和cosα指数是一次的求值,建议用辅助三角形方法
例题
3.2、一次式分式求值
分子、分母同除以sinα或者cosα
例题
3.3、二次式求值
分母为看作1,将1换成sinα^2 + cosα^2,分子分母同除以sinα^2或者cosα^2即可
例题
二、异角三角函数关系
1、诱导公式
1.1、第一组诱导公式
研究方向:α和-α的三角函数值关系
简便记忆:cos(-α)的负号可以去掉,sin(-α)和tan(-α)的负号可以提出来
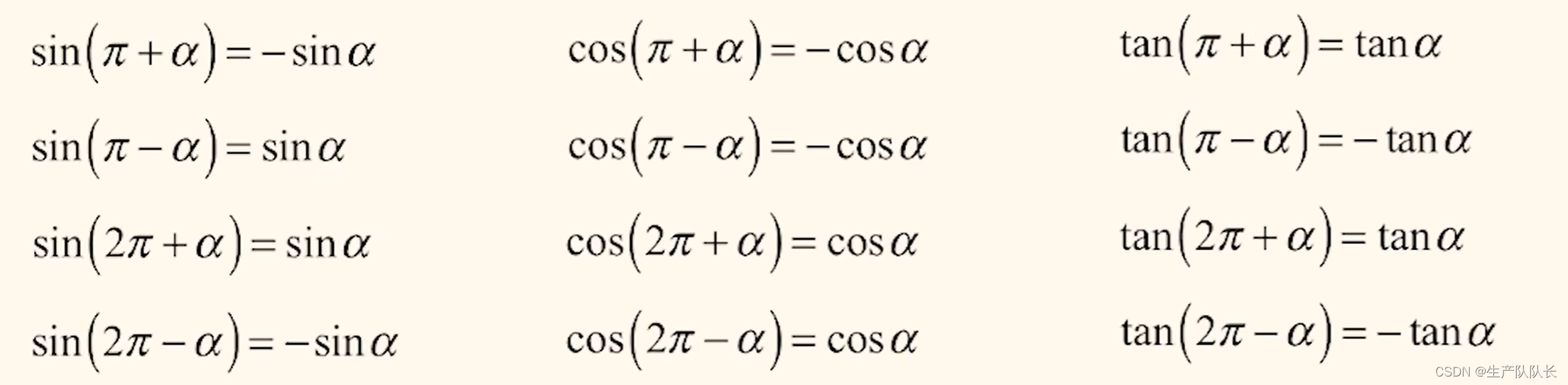
1.2、第二组诱导公式
研究方向:kπ±α与α的三角函数值关系
1.3、第三组诱导公式
研究方向:(k/2)*π±α与α的三角函数值关系
推导
1.4、三组诱导公式的简便记忆方法
口诀:奇变偶不变,符号看象限
以上所有的角,看作(k/2)*π±α
三、练习
免责声明:本站所有文章内容,图片,视频等均是来源于用户投稿和互联网及文摘转载整编而成,不代表本站观点,不承担相关法律责任。其著作权各归其原作者或其出版社所有。如发现本站有涉嫌抄袭侵权/违法违规的内容,侵犯到您的权益,请在线联系站长,一经查实,本站将立刻删除。 本文来自网络,若有侵权,请联系删除,如若转载,请注明出处:https://haidsoft.com/126211.html









