大家好,欢迎来到IT知识分享网。
【信号与系统】用一篇文章从原理出发搞懂线性时不变系统(LTIS)的系数匹配法以及响应的求解问题
线性时不变系统(LTIS)
系统分析的任务,往往是在给定系统的结构和参数的情况下去研究系统的特性,比如说已知系统的微分方程,或者已知输入激励x(t),求输出响应y(t),以及求解系统的冲激响应h(t)、零输入响应yzi(t)、零状态响应yzs(t)。
而 线性时不变系统(linear time invariant System,LTIS)在信号系统分析中占有重要的地位,因为很多在实际中有应用的实用性的系统具有线性非时变的特点,由电阻,电容,电感等元件组成的系统都是这样的系统。LTI作为线性系统,其有两个重要的性质:齐次性和叠加性。这在系统分析中十分有用。比如我们可以在需要的时候把复杂的信号进行拆分计算,分开讨论。借助系统特性来分析LTI系统是一种基本思想。LTI系统的特性如下:
齐次性:若激励x(t)产生的响应为y(t),则激励为a·x(t)时响应为a·y(t)
叠加性:若激励x(t)产生的响应为y(t),激励f(t)产生的响应为g(t),则当激励为x(t)+f(t)时响应为y(t)+g(t)
线性:齐次性和叠加性的结合。沿用上面的定义来表示就是,当激励为a·x(t)+b·f(t)时,产生的响应是a·y(t)+b·g(t)
时不变性:字面意思,系统的参数不随时间而变化。意味着系统可以实现信号延迟,当激励是x(t-t0)时,产生的响应为y(t-t0)
微分性和积分性*:如果激励x(t)的响应是y(t),那么当激励为x(t)的微分/积分的时候,产生的响应为y(t)的微分/积分 (证明方式:将积分微分前后和输入系统前后的时域信号通过傅里叶变换成频域的一看便知,很简单的口牙,可以自己试试)
什么是响应?怎么去理解它们?
如上图所示,e(t)是从外部输入的激励;而{x(0-)}是代表系统内部初始储存的能量带给系统的激励,‘0-’表示的就是起始时刻,此时外部激励还没有接入,而‘0+’代表初始时刻,一般指输入激励信号的开始。所以最终的输出信号r(t)包含了两部分,由外部输入激励e(t)产生的响应H[e(t)]和由内部初始状态{x(0-)}造成的响应H[{x(0-)}]。
有了以上了解,我们可以通过名字来理解响应的种类了:
1、零输入响应:常用yzi(t)或rzi(t)表示,零输入顾名思义就是不考虑输入激励,指由初始状态引起的系统响应H[{x(0-)}]
2、零状态响应:常用yzs(t)或rzs(t)表示,零状态顾名思义就是不考虑系统初始状态,只考虑外部输入的激励引起的系统响应H[e(t)]
3、全响应:常用y(t)和r(t)表示,全响应就是全部考虑,即零状态和零输入响应之和。
ps:注意区分自由响应和零输入响应。【什么是“自由响应和受迫响应”——传送门】
LTI系统的冲激函数系数匹配法
冲激函数
- 定义:冲激信号在t=0处强度极大,作用时间极短的一种物理量的理想化模型。 δ ( t ) = { 0 t ≠ 0 ∞ t = 0 \delta(t) = \begin{cases} 0 &\text{t} \neq 0 \\ \infty &\text{t } =0 \end{cases} δ(t)={
0∞t=0t =0 - 积分性质:在全域进行积分我们可以得到: ∫ − ∞ ∞ δ ( t ) d t = 1 \int_{-\infty}^{\infty}\delta(t)dt=1 ∫−∞∞δ(t)dt=1由此我们还可以得到单位阶跃函数 u ( t ) u(t) u(t)是来自于 δ ( t ) \delta(t) δ(t)的积分: u ( t ) = ∫ − ∞ t δ ( τ ) d τ u(t)=\int_{-\infty}^{t}\delta(\tau)d\tau u(t)=∫−∞tδ(τ)dτ
如图单位阶跃函数描述了函数在0处的跳变: u ( 0 − ) = 0 , u ( 0 + ) = 1 u(0_-)=0,u(0_+)=1 u(0−)=0,u(0+)=1
PS:单位阶跃函数也常被写作 ε ( t ) \varepsilon(t) ε(t) - 筛选性质:冲激函数 δ ( t ) \delta(t) δ(t)作用效果是筛选与它相乘的函数在 t = 0 t=0 t=0时刻的函数值,若 x ( t ) x(t) x(t)是在 t 0 t_0 t0处连续的普通函数 x ( t ) δ ( t − t 0 ) = x ( t 0 ) δ ( t − t 0 ) x(t)\delta(t-t_0)=x(t_0)\delta(t-t_0) x(t)δ(t−t0)=x(t0)δ(t−t0)
- 取样性质:若 x ( t ) x(t) x(t)是在 t 0 t_0 t0处连续的普通函数,由于在 t = t 0 t=t_0 t=t0时 δ ( t ) \delta(t) δ(t)趋于无穷大,在该点处 x ( t ) x(t) x(t)的数值可以视为定值 x ( t 0 ) x(t_0) x(t0),由于冲激函数在冲激点处的面积是单位1,由此我们可以得到: ∫ − ∞ ∞ δ ( t − t 0 ) x ( t ) d t = x ( t 0 ) \int_{-\infty}^{\infty}\delta(t-t_0)x(t)dt=x(t_0) ∫−∞∞δ(t−t0)x(t)dt=x(t0)
- 微分性质:对于是在 t 0 t_0 t0处连续的普通函数 x ( t ) x(t) x(t),由于 δ ( t ) \delta(t) δ(t)的筛选性质,我们有: [ δ ( t − t 0 ) x ( t ) ] ′ = δ ′ ( t − t 0 ) x ( t ) + δ ( t − t 0 ) x ′ ( t ) = δ ′ ( t − t 0 ) x ( t 0 ) [\delta(t-t_0)x(t)]’=\delta'(t-t_0)x(t)+\delta(t-t_0)x'(t)=\delta'(t-t_0)x(t_0) [δ(t−t0)x(t)]′=δ′(t−t0)x(t)+δ(t−t0)x′(t)=δ′(t−t0)x(t0)且 δ ′ ( t ) 显然是一个奇函数,且与冲激函数是不同的函数 \delta'(t)显然是一个奇函数,且与冲激函数是不同的函数 δ′(t)显然是一个奇函数,且与冲激函数是不同的函数,满足 ∫ − ∞ ∞ δ ′ ( t ) d t = 0 \int_{-\infty}^{\infty}\delta'(t)dt=0 ∫−∞∞δ′(t)dt=0
由此我们知道了三个奇异函数 u ( t ) , δ ( t ) , δ ′ ( t ) u(t),\delta(t),\delta'(t) u(t),δ(t),δ′(t)的特点和彼此的关系,它们是我们进行下一步系数匹配法的重要角色
系数匹配法
系数匹配的思想在信号与系统中常常被用来解决零时刻的跳变问题,解决这类问题的方法被叫做奇异函数匹配法,后来在其基础上演变出了更为简单的冲激函数匹配法。在介绍它之前我们先看一道例题:
解:已知LTIS的系统方程,这是个二阶微分方程,那么我们可以通过解微分方程的通解和特解的方式来分析,特征方程: s 2 + 3 s + 2 = 0 s^2+3s+2=0 s2+3s+2=0 s 1 = − 1 , s 2 = − 2 s_1=-1,s_2=-2 s1=−1,s2=−2通解格式: y h ( t ) = C 1 e − t + C 2 e − 2 t y_h(t)=C_1e^{-t}+C_2e^{-2t} yh(t)=C1e−t+C2e−2t我们再求特解:
我们已知 f ( t ) = t 2 f(t)=t^2 f(t)=t2,代入系统方程右侧就是 2 t + 2 t 2 2t+2t^2 2t+2t2
要想等式取等,我们思考认为y(t)必然也是一个含t的多次函数,且不含二次以上项,那 y ( t ) y(t) y(t)我们就可以假设为 y ( t ) = a t 2 + b t + c y(t)=at^2+bt+c y(t)=at2+bt+c,代入系统方程: 2 a t 2 + ( 6 a + 2 b ) t + ( 2 a + 3 b + 2 c ) = 2 t 2 + 2 t 2at^2+(6a+2b)t+(2a+3b+2c)=2t^2+2t 2at2+(6a+2b)t+(2a+3b+2c)=2t2+2t { a = 1 b = − 2 c = 2 \begin{cases} a=1 \\ b=-2 \\ c=2 \end{cases} ⎩
⎨
⎧a=1b=−2c=2于是得到特解: y p ( t ) = t 2 − 2 t + 2 y_p(t)=t^2-2t+2 yp(t)=t2−2t+2
全解 y ( t ) = y h ( t ) + y p ( t ) = C 1 e − t + C 2 e − 2 t + t 2 − 2 t + 2 y(t)=y_h(t)+y_p(t)=C_1e^{-t}+C_2e^{-2t}+t^2-2t+2 y(t)=yh(t)+yp(t)=C1e−t+C2e−2t+t2−2t+2
根据已知初始条件 y ( 0 ) = 1 , y ′ ( 0 ) = 1 y(0)=1,y'(0)=1 y(0)=1,y′(0)=1,代入可以解得 C 1 = 1 , C 2 = − 2 C_1=1,C_2=-2 C1=1,C2=−2
最终我们得到了系统的响应: y ( t ) = e − t − 2 e − 2 t + t 2 − 2 t + 2 , t ⩾ 0 y(t)=e^{-t}-2e^{-2t}+t^2-2t+2 , t\geqslant0 y(t)=e−t−2e−2t+t2−2t+2,t⩾0
通过上述例题,我们看到了待定系数法的小试牛刀,对于此类问题基本思路可以概括为:
Step1.我们通过系统微分方程本身可获得通解,根据已知激励的特点判断特解形式。
Step2.再通过待定系数法结合已知激励和初始值/起始值得到特解,从而得到响应。
现在我们开始介绍奇异函数匹配法,我们看第二个例题
我们可以发现这道题和上一道题目的区别,例题1中我们能看到里面已知条件是时间t=0时刻,而例题2我们是已知起始值 y ( 0 − ) 和 y ′ ( 0 − ) y(0_-)和y'(0_-) y(0−)和y′(0−),要求得初始值 y ( 0 + ) 和 y ′ ( 0 + ) y(0_+)和y'(0_+) y(0+)和y′(0+)。为何一个0时刻要分成两种讨论,这就是奇异函数带来的跳变导致的,而 δ ( t ) 和 δ ′ ( t ) \delta(t)和\delta'(t) δ(t)和δ′(t)在t从负端趋于0和从正端区域0并没有区别,均等于0,即 lim t → 0 − δ ( t ) = lim t → 0 + δ ( t ) = 0 ( δ ′ ( t ) 同理) \lim\limits_{t\to 0-}{\delta(t)}=\lim\limits_{t\to 0+}{\delta(t)}=0(\delta'(t)同理) t→0−limδ(t)=t→0+limδ(t)=0(δ′(t)同理)那么造成在t=0时刻的跳变只会由阶跃函数, u ( t ) u(t) u(t)产生。而例题1我们不做这些讨论是因为例1中没有涉及奇异函数,都是连续函数,自然不会产生跳变,所以t=0就代表初始时刻。
由此我们观察需要方程,已知激励 f ( t ) = u ( t ) f(t)=u(t) f(t)=u(t),通过介绍冲激函数的微分积分关系,我们知道 u ( t ) u(t) u(t)的微分是 δ ( t ) \delta(t) δ(t),二阶微分是 δ ′ ( t ) \delta'(t) δ′(t)。
我们代入方程得到 y ′ ′ ( t ) + 3 y ′ ( t ) + 2 y ( t ) = 2 δ ( t ) + 6 u ( t ) y”(t)+3y'(t)+2y(t)=2\delta(t)+6u(t) y′′(t)+3y′(t)+2y(t)=2δ(t)+6u(t)等式右边不存在 δ ′ ( t ) \delta'(t) δ′(t),要使等式配平,所以 y ′ ′ ( t ) y”(t) y′′(t)一定包含{
2 δ ( t ) 2\delta(t) 2δ(t)}成分,根据奇异函数间的关系,则 y ′ ( t ) y'(t) y′(t)中也存在{
2 u ( t ) 2u(t) 2u(t)}成分,相应的在等式左边由于 3 y ′ ( t ) 3y'(t) 3y′(t)便会产生 6 u ( t ) 6u(t) 6u(t),这与等式右边刚好配平。由此我们可以推导得到 y ( t ) y(t) y(t)中不含 u ( t ) u(t) u(t)的结论,因为若有,则会同时使 y ′ ′ ( t ) y”(t) y′′(t)中产生 δ ′ ( t ) \delta'(t) δ′(t), y ′ ( t ) y'(t) y′(t)中产生多余的 δ ( t ) \delta(t) δ(t)导致等式无法配平。
而 y ( t ) y(t) y(t)中不含 u ( t ) u(t) u(t)就意味着 y ( t ) y(t) y(t)在t=0处是不存在跳变的,所以我们可以得到 y ( 0 + ) y(0_+) y(0+)答案: y ( 0 + ) = y ( 0 − ) = 2 y(0_+)=y(0_-)=2 y(0+)=y(0−)=2已知 y ′ ( t ) y'(t) y′(t)中带有 2 u ( t ) 2u(t) 2u(t),所以在t=0处会存在跳变,所以我们可以得到 y ′ ( 0 + ) y'(0_+) y′(0+)答案为: y ′ ( 0 + ) = y ′ ( 0 − ) + 2 = 2 y'(0_+)=y'(0_-)+2=2 y′(0+)=y′(0−)+2=2此题解毕。
看到这里,我们试着总结一下,归根结底来说就是系数匹配的方法,通过使方程两边的各类奇异函数分别完成相等匹配就可以了。什么?你说这方程没有配平? y ′ ( t ) y'(t) y′(t)中明明有 u ( t ) u(t) u(t)的成分,那么意味着 y ( t ) y(t) y(t)中也有些东西啊,这东西在等式左侧,右侧没有东西来配平,等式怎么可能成立呢?
你说得对,但是奇异函数匹配法是一款专注与解决系统起始与初始值关系的数学方法。我们承认y(t)里肯定会存在一些“不干净”的东西,使其导数 y ′ ( t ) y'(t) y′(t)含有 u ( t ) u(t) u(t),但是这个东西它不影响 y ( t ) y(t) y(t)在t=0处的连续性,所以我们在配平中并不担心它的存在,响应是复杂的,即使有这样的“不干净”的东西存在,至于配平的问题, y ′ ( t ) 和 y ′ ′ ( t ) y'(t)和y”(t) y′(t)和y′′(t)都会在系统的大手下帮助化解这些问题,既然不影响t=0处的跳变,我们都不必要太关心。这是一个线性的系统,我们可以把成分拆出来看,那么对t=0处可能会产生跳变影响的奇异函数才是我们关注的对象。
简而言之,这道题目只要求我们求 y ( 0 + ) 和 y ′ ( 0 + ) y(0_+)和y'(0_+) y(0+)和y′(0+)的值,那我们关注点就放在判断方程中是否存在会引起t=0处跳变的奇异函数成分就是了。但如果要是像例题1那样还要求响应,就不只是这么简单了,如果要求该系统此时的响应,该怎么做呢。我们可以放在后面介绍完冲激响应求解办法之后来讲解。
关于奇异函数匹配法的介绍,如果以上的讲解觉得还不够“数学”,我们将会结合第三道例题,用另一种方式来尽可能数学化的来表示,解答大题也更建议采用下面的方式,更严谨直观。
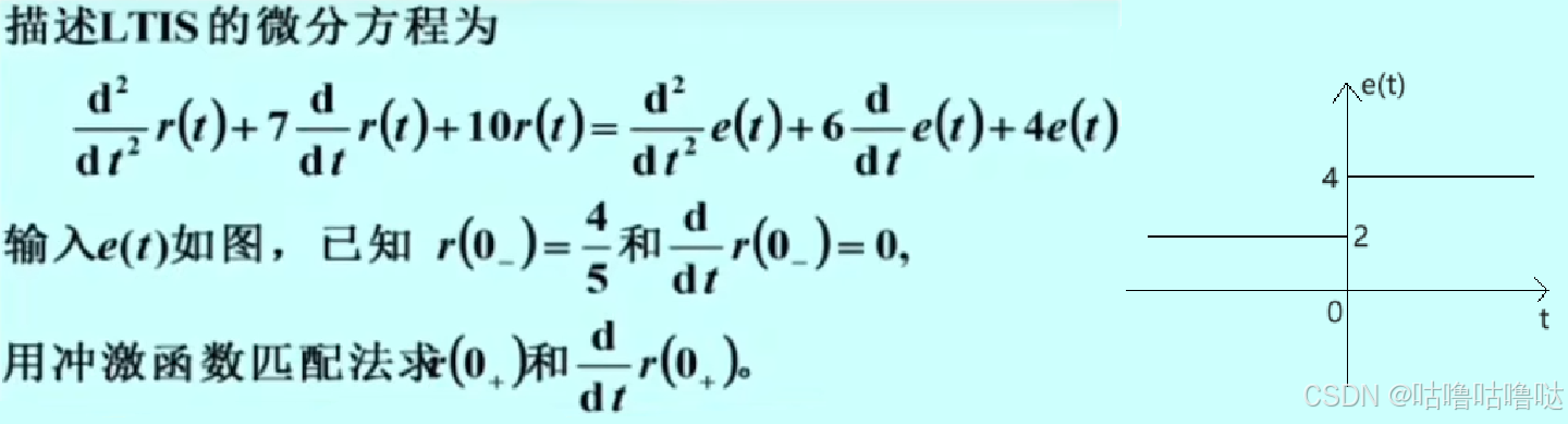
已知输入激励 e ( t ) = 2 + 2 u ( t ) e(t)=2+2u(t) e(t)=2+2u(t),但是我们发现此题依然只是讨论 r ( 0 + ) 和 r ′ ( 0 + ) r(0_+)和r'(0_+) r(0+)和r′(0+),那只需要关注奇异函数部分就行,于是激励我们可以直接看作 e ( t ) = 2 u ( t ) e(t)=2u(t) e(t)=2u(t),(因为常数放进去也不会对t=0处产生跳变,这里不难理解吧)
于是我们的系统方程就可以写成: r ′ ′ ( t ) + 7 r ′ ( t ) + 10 r ( t ) = 2 δ ′ ( t ) + 12 δ ( t ) + 8 u ( t ) r”(t)+7r'(t)+10r(t)=2\delta'(t)+12\delta(t)+8u(t) r′′(t)+7r′(t)+10r(t)=2δ′(t)+12δ(t)+8u(t)通过奇异函数之间的微积分关系,我们设 { r ′ ′ ( t ) = a δ ′ ( t ) + b δ ( t ) + c u ( t ) r ′ ( t ) = a δ ( t ) + b u ( t ) r ( t ) = a u ( t ) \begin{cases} r”(t)=a\delta'(t)+b\delta(t)+cu(t)\\ r'(t)=a\delta(t)+bu(t) \\ r(t)=au(t) \end{cases} ⎩
⎨
⎧r′′(t)=aδ′(t)+bδ(t)+cu(t)r′(t)=aδ(t)+bu(t)r(t)=au(t)如果要问 r ′ ′ ( t ) r”(t) r′′(t)中有 c u ( t ) cu(t) cu(t),为什么作为 r ′ ′ ( t ) r”(t) r′′(t)的积分的 r ′ ( t ) r'(t) r′(t)中怎么突然就没有了带c的成分呢?其实是有的, r ′ ( t ) 中会存在 c ⋅ t ⋅ u ( t ) r'(t)中会存在c·t·u(t) r′(t)中会存在c⋅t⋅u(t),但是它存在也不会让 r ′ ( t ) r'(t) r′(t)于t=0处产生跳变,所以我们把它省略了。
将刚设好的三个函数代入原方程左侧,通过合并同类项我们得到: a δ ′ ( t ) + ( 7 a + b ) δ ( t ) + ( 10 a + 7 b + c ) u ( t ) = 2 δ ′ ( t ) + 12 δ ( t ) + 8 u ( t ) a\delta'(t)+(7a+b)\delta(t)+(10a+7b+c)u(t)=2\delta'(t)+12\delta(t)+8u(t) aδ′(t)+(7a+b)δ(t)+(10a+7b+c)u(t)=2δ′(t)+12δ(t)+8u(t) { a = 2 7 a + b = 12 10 a + 7 b + c = 8 \begin{cases} a=2 \\ 7a+b=12 \\ 10a+7b+c=8 \end{cases} ⎩
⎨
⎧a=27a+b=1210a+7b+c=8最终解得 a = 2 , b = − 2 , c = 2 a=2,b=-2,c=2 a=2,b=−2,c=2
所以 r ( t ) r(t) r(t)中含有 2 u ( t ) 2u(t) 2u(t),所以 r ( 0 + ) = r ( 0 − ) + 2 = 14 / 5 r(0_+)=r(0_-)+2=14/5 r(0+)=r(0−)+2=14/5
r ′ ( t ) r'(t) r′(t)中含有 − 2 u ( t ) -2u(t) −2u(t),所以 r ′ ( 0 + ) = r ′ ( 0 − ) − 2 = − 2 r'(0_+)=r'(0_-)-2=-2 r′(0+)=r′(0−)−2=−2
此题解毕
看到这里,我们选择用方程来直接看到系数匹配的过程,这就是奇异函数匹配法。一些有经验或者数学较好的人会发现,作为二阶系统,其响应方程求通解后也就只有两个未知系数,所以求解响应我们只要有两个初始值就ok了,一般就是 r ( 0 + ) 和 r ′ ( 0 + ) r(0_+)和r'(0_+) r(0+)和r′(0+),这就意味着对我们有用的参数就只有 a a a与 b b b,因为它俩就分别表示了 r ( t ) r(t) r(t)和 r ′ ( t ) r'(t) r′(t)在t=0处的跳变值。两个未知数,两个方程即可,所以我们c参数根本不用去假设,系数匹配也可以省略对 u ( t ) u(t) u(t)的系数的匹配了,只需要对冲激函数部分进行就足够了,所以我们有了冲激函数匹配法: { r ′ ′ ( t ) = a δ ′ ( t ) + b δ ( t ) r ′ ( t ) = a δ ( t ) + b u ( t ) r ( t ) = a u ( t ) \begin{cases} r”(t)=a\delta'(t)+b\delta(t)\\ r'(t)=a\delta(t)+bu(t)\\ r(t)=au(t) \end{cases} ⎩
⎨
⎧r′′(t)=aδ′(t)+bδ(t)r′(t)=aδ(t)+bu(t)r(t)=au(t) { a = 2 7 a + b = 12 \begin{cases} a=2 \\ 7a+b=12 \end{cases} {
a=27a+b=12解以上部分,就足够得到 r ( 0 + ) 和 r ′ ( 0 + ) r(0_+)和r'(0_+) r(0+)和r′(0+)的值了。冲激函数匹配法主要就是为更快速求解 r ( 0 + ) 和 r ′ ( 0 + ) r(0_+)和r'(0_+) r(0+)和r′(0+)而从奇异函数匹配法中升级出来的,所以它在求响应的题目中会比较常用(求响应一般就只用到 r ( 0 + ) 和 r ′ ( 0 + ) r(0_+)和r'(0_+) r(0+)和r′(0+)这两个初始值),节省时间。
求解系统响应
这里是怎么把 f ( t ) 和 y ( t ) f(t)和y(t) f(t)和y(t)直接联系起来的呢,原理是什么呢?简单地说,由于求导具有可叠加性, ( x ′ ) ′ ′ = ( x ′ ′ ) ′ = x ′ ′ ′ (x’)”=(x”)’=x”’ (x′)′′=(x′′)′=x′′′,求导就有类似于交换律一样的性质,就像有两个实数c和d,c⋅d=d⋅c,而这里相当于是两个微分方程互相嵌套,最终两侧展开成 x ( t ) x(t) x(t)表示的形式是一样的。
我们得到了系统的方程,既然要求冲激响应,那么我们先将 f ( t ) = δ ( t ) f(t)=\delta(t) f(t)=δ(t)代入: h ′ ′ ( t ) + 3 h ′ ( t ) + 2 h ( t ) = − δ ′ ( t ) + 2 δ ( t ) h”(t)+3h'(t)+2h(t)=-\delta'(t)+2\delta(t) h′′(t)+3h′(t)+2h(t)=−δ′(t)+2δ(t)由于LTI系统具有线性性质,根据叠加性,从系统微分方程而言,我们对方程中代表激励端的右侧进行线性分解,求其各成分的响应 h n ( t ) h_n(t) hn(t)再线性相加,从而得到完整的响应 h ( t ) h(t) h(t),所以我们对于上述方程拆分,右侧仅取 δ ( t ) \delta(t) δ(t)。我们列出新的方程: h 1 ′ ′ ( t ) + 3 h 1 ′ ( t ) + 2 h 1 ( t ) = δ ( t ) h_1”(t)+3h_1′(t)+2h_1(t)=\delta(t) h1′′(t)+3h1′(t)+2h1(t)=δ(t)(ps:求响应的题目就取 δ ( t ) \delta(t) δ(t),方程右边没有也取,理由:好用,因为冲激函数在非0区间等于0,意味着响应就是解齐次解,而且利用LTIS的特性可以由此推导出别的响应)
我们解这个微分方程,当我们求得 h 1 ( t ) h_1(t) h1(t)后,因为系统的冲激和响应之间存在积分性和微分性(开头介绍LTI系统的时候介绍过该性质),所以我们对 h 1 ( t ) h_1(t) h1(t)求导就能得到方程右侧为 δ ′ ( t ) \delta'(t) δ′(t)时的响应。而原方程的右侧是 − δ ′ ( t ) + 2 δ ( t ) -\delta'(t)+2\delta(t) −δ′(t)+2δ(t),那么原方程的解我们就能得到是: h ( t ) = − h 1 ′ ( t ) + 2 h 1 ( t ) h(t)=-h_1′(t)+2h_1(t) h(t)=−h1′(t)+2h1(t)所以只要求解右侧为 δ ( t ) \delta(t) δ(t)的方程,我们可以在 h 1 ( t ) h_1(t) h1(t)的基础上通过微分积分,线性加权等方法得到待求的系统冲激响应 h ( t ) h(t) h(t),以上就是基本思路的介绍,接下来就是计算。我们用两种方式,第一种是直接法,第二种是利用冲激函数匹配法。
①直接法
观察方程: h 1 ′ ′ ( t ) + 3 h 1 ′ ( t ) + 2 h 1 ( t ) = δ ( t ) h_1”(t)+3h_1′(t)+2h_1(t)=\delta(t) h1′′(t)+3h1′(t)+2h1(t)=δ(t)方程右侧是冲激函数,在t>0的的区间上,等式的右侧就是零,它就好比冲激函数在零时刻给系统充能,接下来就像是一个零输入过程。所以我们先求齐次解: h 1 ′ ′ ( t ) + 3 h 1 ′ ( t ) + 2 h 1 ( t ) = 0 h_1”(t)+3h_1′(t)+2h_1(t)=0 h1′′(t)+3h1′(t)+2h1(t)=0提取特征方程 s 2 + 3 s + 2 = 0 s^2+3s+2=0 s2+3s+2=0,解得 s 1 = − 1 , s 2 = − 2 s_1=-1,s_2=-2 s1=−1,s2=−2。设 h 1 ( t ) = [ C 1 e − t + C 2 e − 2 t ] u ( t ) h_1(t)=[C_1e^{-t}+C_2e^{-2t}]u(t) h1(t)=[C1e−t+C2e−2t]u(t)那么由此可以得到: h 1 ′ ( t ) = [ − C 1 e − t − 2 C 2 e − 2 t ] u ( t ) + [ C 1 e − t + C 2 e − 2 t ] δ ( t ) h_1′(t)=[-C_1e^{-t}-2C_2e^{-2t}]u(t)+[C_1e^{-t}+C_2e^{-2t}]\delta(t) h1′(t)=[−C1e−t−2C2e−2t]u(t)+[C1e−t+C2e−2t]δ(t) h 1 ′ ′ ( t ) = [ C 1 e − t + 4 C 2 e − 2 t ] u ( t ) + [ − C 1 e − t − 2 C 2 e − 2 t ] δ ( t ) + [ C 1 e − t + C 2 e − 2 t ] δ ′ ( t ) h_1”(t)=[C_1e^{-t}+4C_2e^{-2t}]u(t)+[-C_1e^{-t}-2C_2e^{-2t}]\delta(t)+[C_1e^{-t}+C_2e^{-2t}]\delta'(t) h1′′(t)=[C1e−t+4C2e−2t]u(t)+[−C1e−t−2C2e−2t]δ(t)+[C1e−t+C2e−2t]δ′(t)代入第一个方程,整理同类项: 0 ⋅ u ( t ) + [ 2 C 1 e − t + 1 C 2 e − 2 t ] δ ( t ) + [ C 1 e − t + C 2 e − 2 t ] δ ′ ( t ) = δ ( t ) 0·u(t)+[2C_1e^{-t}+1C_2e^{-2t}]\delta(t)+[C_1e^{-t}+C_2e^{-2t}]\delta'(t)=\delta(t) 0⋅u(t)+[2C1e−t+1C2e−2t]δ(t)+[C1e−t+C2e−2t]δ′(t)=δ(t)这一幕何其相似,就如同奇异函数匹配法的场景。
我们要使两侧配平,由于 δ ′ ( t ) \delta'(t) δ′(t)和 δ ( t ) \delta(t) δ(t)只在t=0的时候有值,所以我们只要使它们的系数在t=0时实现匹配就可以了。 { 2 C 1 + 1 C 2 = 1 C 1 + C 2 = 0 \begin{cases} 2C_1+1C_2=1 \\ C_1+C_2=0 \end{cases} {
2C1+1C2=1C1+C2=0解得 C 1 = 1 , C 2 = − 1 C_1=1,C_2=-1 C1=1,C2=−1,于是我们得到了 h 1 ( t ) = [ e − t − e − 2 t ] u ( t ) h_1(t)=[e^{-t}-e^{-2t}]u(t) h1(t)=[e−t−e−2t]u(t)
求导得到 h 1 ′ ( t ) = [ − e − t + 2 e − 2 t ] u ( t ) + [ e − t − e − 2 t ] δ ( t ) h_1′(t)=[-e^{-t}+2e^{-2t}]u(t)+[e^{-t}-e^{-2t}]\delta(t) h1′(t)=[−e−t+2e−2t]u(t)+[e−t−e−2t]δ(t)
最终便可得到系统的冲激响应,注意得到的系统冲激响应属于零状态响应,因此意味着从0+开始,所以 h 1 ′ ( t ) h_1′(t) h1′(t)中的冲激函数部分最终要舍去,得到 h ( t ) = − h 1 ′ ( t ) + 2 h 1 ( t ) = [ 3 e − t − 4 e − 2 t ] u ( t ) h(t)=-h_1′(t)+2h_1(t)=[3e^{-t}-4e^{-2t}]u(t) h(t)=−h1′(t)+2h1(t)=[3e−t−4e−2t]u(t)
①利用冲激函数匹配法
直接法中,我们看到了最后求解 C 1 , C 2 C_1,C_2 C1,C2中出现的奇异函数匹配环节,到这一步为止我们需要进行方程的求导和代入、同类项整理,这些都带来了一定的计算量,那我们能否使用冲激函数匹配法来简化呢?我们回到刚解得齐次解的时候: h 1 ( t ) = C 1 e − t + C 2 e − 2 t , t ≥ 0 h_1(t)=C_1e^{-t}+C_2e^{-2t}, t\ge0 h1(t)=C1e−t+C2e−2t,t≥0我们想要得到 C 1 , C 2 C_1,C_2 C1,C2的话,需要初始值 h 1 ( 0 + ) 和 h 1 ′ ( 0 + ) h_1(0_+)和h_1′(0_+) h1(0+)和h1′(0+),我们可以用冲激函数匹配法。由于求冲激响应是在求零状态响应,系统没有初始储能,对于二阶系统而言,这意味着有这样的隐藏条件: h 1 ( 0 − ) = 0 , h 1 ′ ( 0 − ) = 0 h_1(0_-)=0,h_1′(0_-)=0 h1(0−)=0,h1′(0−)=0。于是我们利用冲激函数匹配法: { h 1 ′ ′ ( t ) = a δ ′ ( t ) + b δ ( t ) h 1 ′ ( t ) = a δ ( t ) + b u ( t ) h 1 ( t ) = a u ( t ) \begin{cases} h_1”(t)=a\delta'(t)+b\delta(t)\\ h_1′(t)=a\delta(t)+bu(t)\\ h_1(t)=au(t) \end{cases} ⎩
⎨
⎧h1′′(t)=aδ′(t)+bδ(t)h1′(t)=aδ(t)+bu(t)h1(t)=au(t) { a = 0 a + b = 1 \begin{cases} a=0 \\ a+b=1 \end{cases} {
a=0a+b=1从而我们得到 a = 0 , b = 1 a=0,b=1 a=0,b=1,意味着 h 1 ′ ( t ) h_1′(t) h1′(t)在t=0处存在跳变,得 h 1 ( 0 + ) = h 1 ( 0 − ) + a = 0 h 1 ′ ( 0 + ) = h 1 ′ ( 0 − ) + b = 1 h_1(0_+)=h_1(0_-)+a=0 \\ h_1′(0_+)=h_1′(0_-)+b=1 h1(0+)=h1(0−)+a=0h1′(0+)=h1′(0−)+b=1再将齐次解代入得到 C 1 = 1 , C 2 = − 1 C_1=1,C_2=-1 C1=1,C2=−1,从而得到 h 1 ( t ) h_1(t) h1(t),同上通过 h ( t ) = − h 1 ′ ( t ) + 2 h 1 ( t ) h(t)=-h_1′(t)+2h_1(t) h(t)=−h1′(t)+2h1(t)得到系统的冲激响应: h ( t ) = [ 3 e − t − 4 e − 2 t ] u ( t ) h(t)=[3e^{-t}-4e^{-2t}]u(t) h(t)=[3e−t−4e−2t]u(t)
实战演示
教学结束,我们来进行进一步的实战。在讲解第2道例题的时候我挖了坑,说介绍完冲激响应求解方法后来讲解例2的响应该怎么求,现在安排填这个坑。我会尽可能用详细的语言说明解题步骤,会有些许啰嗦,但是我希望能帮助到依然有困惑的同学。
C1+C2=02C1+C2=1解得 C 1 = 1 , C 2 = − 1 C_1=1,C_2=-1 C1=1,C2=−1,解得齐次解 y 1 ( t ) = [ e − t − e − 2 t ] u ( t ) y_1(t)=[e^{-t}-e^{-2t}]u(t) y1(t)=[e−t−e−2t]u(t),原方程右侧为 2 δ ( t ) + 6 u ( t ) 2\delta(t)+6u(t) 2δ(t)+6u(t),所以: y z s ( t ) = 2 y 1 ( t ) + 6 ∫ y 1 ( t ) d t y_{zs}(t)=2y_1(t)+6\int{y_1(t)dt} yzs(t)=2y1(t)+6∫y1(t)dt ∫ − ∞ t y 1 ( τ ) d τ = ∫ 0 t ( e − τ − e − 2 τ ) d τ = − e − t + 1 2 e − 2 t + 1 2 , t ≥ 0 \int_{-\infty}^{t}y_1(\tau)d\tau=\int_{0}^{t}(e^{-\tau}-e^{-2\tau})d\tau=-e^{-t}+\frac{1}{2}e^{-2t}+\frac{1}{2},t\ge0 ∫−∞ty1(τ)dτ=∫0t(e−τ−e−2τ)dτ=−e−t+21e−2t+21,t≥0所以 y z s ( t ) = 2 y 1 ( t ) + 6 ∫ y 1 ( t ) d t = [ − 4 e − t + e − 2 t + 3 ] u ( t ) y_{zs}(t)=2y_1(t)+6\int{y_1(t)dt}=[-4e^{-t}+e^{-2t}+3]u(t) yzs(t)=2y1(t)+6∫y1(t)dt=[−4e−t+e−2t+3]u(t)以上为止,我们求得了当输入激励 f ( t ) = u ( t ) f(t)=u(t) f(t)=u(t)时的零状态响应。接下来我们求零输入响应部分,已知 y ( 0 − ) = 2 , y ′ ( 0 − ) = 0 y(0_-)=2,y'(0_-)=0 y(0−)=2,y′(0−)=0,由于零输入响应不考虑激励,则方程是齐次方程,代入起始状态求出系数 C 1 , C 2 C_1,C_2 C1,C2即可: 齐次解 : y z i ( t ) = C 1 e − t + C 2 e − 2 t , t ≥ 0 齐次解:y_{zi}(t)=C_1e^{-t}+C_2e^{-2t},t\ge0 齐次解:yzi(t)=C1e−t+C2e−2t,t≥0 { y z i ( 0 ) = C 1 + C 2 = y ( 0 − ) = 2 y z i ′ ( 0 ) = − C 1 − 2 C 2 = y ′ ( 0 − ) = 0 \begin{cases} y_{zi}(0)=C_1+C_2=y(0_-)=2\\ y_{zi}'(0)=-C_1-2C_2=y'(0_-)=0\end{cases} {
yzi(0)=C1+C2=y(0−)=2yzi′(0)=−C1−2C2=y′(0−)=0解得 C 1 = 4 , C 2 = − 2 C_1=4,C_2=-2 C1=4,C2=−2,零输入响应 y z i ( t ) = 4 e − t − 2 e − 2 t , t ≥ 0 y_{zi}(t)=4e^{-t}-2e^{-2t},t\ge0 yzi(t)=4e−t−2e−2t,t≥0
最终得到的全响应 y ( t ) = y z i ( t ) + y z s ( t ) = [ − e − 2 t + 3 ] u ( t ) y(t)=y_{zi}(t)+y_{zs}(t)=[-e^{-2t}+3]u(t) y(t)=yzi(t)+yzs(t)=[−e−2t+3]u(t)
我们可以简单验证一下,前面用例题2讲解系数匹配法的时候我们计算得到了初始值 y ( 0 + ) = 2 和 y ′ ( 0 + ) = 2 y(0_+)=2和y'(0_+)=2 y(0+)=2和y′(0+)=2,那么我们用得到的响应来验证一下,可以发现是完全吻合的
PS:如果对0-和0+代入依然感到有些困惑,不知道代入0的时候到底是指0-还是0+,记住只有在计算零输入响应时我们方程代入0,对应的已知条件的时刻是0-(无外部激励,那么激励就来自于系统起始储能咯),其他时候方程计算代入0一般就是指0+时刻。其实也不难理解的,之所以分开0-和0+,是为了区分0时刻的跳变导致0时刻取值的二义性,但0时刻的跳变是由外部激励产生的,所以零输入则意味着0时刻不存在跳变,由起始储能实现响应,这种响应是平滑连续的,所以这时0+和0-时刻是一样的,品品零输入和零状态各自的涵义
技术要点总结
1、遇到已知起始时刻0-条件求解0+时刻的取值的问题,本质抓住各y(j)(t)是否存在阶跃函数u(t),有几个那就跳变多少,可使用的方法有奇异函数匹配法,冲激函数匹配法,积分法(此帖没讲,自行了解)。
2、遇到求解冲激响应的题目,记牢冲激响应一定是零状态响应,0-时刻的起始值都是零。方法就是将冲激函数作为激励代入方程,先求得方程的齐次通解,由齐次通解可以通过直接法进行系数匹配获得通解的系数,也可以利用冲激函数匹配法得到0+时刻的初始值来解得通解系数,最后根据方程右侧结构变化组合通解得到冲激响应。
3、遇到求解复杂响应,包括零输入、零状态和全响应的题目,零输入响应的求解关键就是用0代入齐次通解与已知起始时刻0-的条件相等求得系数,非常简单。零状态响应可以通过系统的积分性微分性来求,比如说已知冲激响应,那么我要求阶跃响应,那由冲激响应时域积分可得,若题目难以用该性质,那就用激励与冲激响应求卷积的方式也可以。
免责声明:本站所有文章内容,图片,视频等均是来源于用户投稿和互联网及文摘转载整编而成,不代表本站观点,不承担相关法律责任。其著作权各归其原作者或其出版社所有。如发现本站有涉嫌抄袭侵权/违法违规的内容,侵犯到您的权益,请在线联系站长,一经查实,本站将立刻删除。 本文来自网络,若有侵权,请联系删除,如若转载,请注明出处:https://haidsoft.com/126552.html




