大家好,欢迎来到IT知识分享网。
✅作者简介:热爱科研的Matlab仿真开发者,修心和技术同步精进,matlab项目合作可私信。
🍎个人主页:Matlab科研工作室
🍊个人信条:格物致知。
更多Matlab仿真内容点击👇
智能优化算法 神经网络预测 雷达通信 无线传感器
信号处理 图像处理 路径规划 元胞自动机 无人机
⛄ 内容介绍
箱体图Boxplot是一种表示数据分布的方法(wiki:boxplot),一个基本的箱体图从上到下分别表示最大值,上四分位,均值,下四分位,最小值。有的箱体图中还会加入异常值等。
箱体图有以下几个优点:
- 可以直观明了地识别数据中的异常值
2. 利用箱体图可以判断数据的偏态和尾重
3. 利用箱体图可以比较不同批次的数据形状
⛄ 部分代码
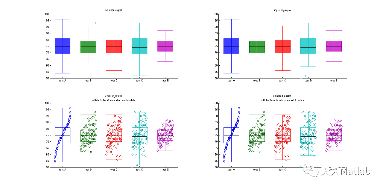
% script to show different ways to use adjusted_boxplot
% with built in data sets
%%
clear
close all
load examgrades.mat
XTickLabels={‘test A’,’test B’,’test C’,’test D’,’test E’};
[~,ind]=sort(grades(:,1)); % sort all grades based on first test
grades=grades(ind,:); % this will auto shift outlyers from left(low) to right(high)
groupcount=size(grades,2);
colors=lines(groupcount);
cc=mat2cell(colors,ones(groupcount,1),3);
figure(4321);clf
subplot(2,2,1);hold on;title(‘whisker_boxplot’)
whisker_boxplot(1:groupcount,grades,cc);
set(gca,’XTick’,1:length(XTickLabels),’XTickLabels’,XTickLabels)
subplot(2,2,2);hold on;title(‘adjusted_boxplot’)
adjusted_boxplot(1:groupcount,grades,cc);
set(gca,’XTick’,1:length(XTickLabels),’XTickLabels’,XTickLabels)
subplot(2,2,3);hold on;title(sprintf(‘whisker_boxplot \nwith bubbles & saturation set to white’))
whisker_boxplot(1:groupcount,grades,cc,’bub’,1,’sat’,0);
set(gca,’XTick’,1:length(XTickLabels),’XTickLabels’,XTickLabels)
subplot(2,2,4);hold on;title(sprintf(‘adjusted_boxplot \nwith bubbles & saturation set to white’))
adjusted_boxplot(1:groupcount,grades,cc,’bub’,1,’sat’,0);
set(gca,’XTick’,1:length(XTickLabels),’XTickLabels’,XTickLabels)
%%
clear
load discrim.mat
XTickLabels=strtrim(mat2cell(categories,ones(size(categories,1),1),size(categories,2)))’;
namecount=size(names,1);
cc=strtrim(mat2cell(names,ones(namecount,1),43));
C=cellfun(@(x) strsplit(x,’, ‘),cc,’uni’,0);
simplestate=cellfun(@(x) upper(x{end}(1:2)),C,’uni’,0);
[ustate,order]=unique(sort(simplestate));
statecount=diff([order; length(simplestate)+1]);
bigstates=ustate(statecount>15); %find only states with >15 scores/cities
runthese=ismember(simplestate,bigstates);
xs=.4/3; %the best half width for a ‘group or catagory’ is .4 and there are 3 big states
width=xs*.85;% width of each box with a small gap between subgroups
sgxs=[-xs 0 xs]*2;% SubGroups X Shift (twice the half width)
cc={[0 0 1],[1 .5 0],[1 0 0]};% subgroups color (blue orange red)
figure(2314);clf
subplot(2,1,1);hold on;title(‘whisker_boxplot’)
for ii=1:length(bigstates)
for jj=1:length(XTickLabels)
ratings(ismember(simplestate,bigstates(ii)),jj);
h1{ii}=whisker_boxplot(jj+sgxs(ii),ratings(ismember(simplestate,bigstates(ii)),jj), cc{ii},’width’,width);
end
end
set(gca,’XTick’,1:length(XTickLabels),’XTickLabels’,XTickLabels)
legend([h1{1}(1) h1{2}(1) h1{3}(1)],bigstates)
subplot(2,1,2);hold on;title(‘adjusted_boxplot’)
for ii=1:length(bigstates)
for jj=1:length(XTickLabels)
ratings(ismember(simplestate,bigstates(ii)),jj);
h1{ii}=adjusted_boxplot(jj+sgxs(ii),ratings(ismember(simplestate,bigstates(ii)),jj), cc{ii},’width’,width);
end
end
set(gca,’XTick’,1:length(XTickLabels),’XTickLabels’,XTickLabels)
legend([h1{1}(1) h1{2}(1) h1{3}(1)],bigstates)
%%
clear
load hospital
namecount=size(hospital,1);
shiftxs=hospital.Age-min(hospital.Age);
shiftxs=shiftxs/max(shiftxs)*2-1; % set range for shifting each point to -1:1 based on age
Sex=strtrim(mat2cell(char(hospital.Sex),ones(namecount,1),6));
male=strcmpi(Sex,’male’);
xs=.4/2; %the best half width for a ‘group or catagory’ is .4 and there are 2 subgroups (male/female)
width=xs*.85;% width of each box with a small gap between subgroups
%
% plot weight, then plot pressure(1), then pressure(2)
XTickLabels={‘weight’ ‘systolic’ ‘diastolic’};
figure(8134);clf;
subplot(2,2,1);hold on;title(‘whisker_boxplot’)
l1=whisker_boxplot(1-xs,hospital.Weight( male),[0 0 1],’shiftxs’,shiftxs*width,’width’,width);
l2=whisker_boxplot(1+xs,hospital.Weight(~male),[1 0 0],’shiftxs’,shiftxs*width,’width’,width);
whisker_boxplot(2-xs,hospital.BloodPressure( male,1),[0 0 1],’shiftxs’,shiftxs*width,’width’,width);
whisker_boxplot(2+xs,hospital.BloodPressure(~male,1),[1 0 0],’shiftxs’,shiftxs*width,’width’,width);
whisker_boxplot(3-xs,hospital.BloodPressure( male,2),[0 0 1],’shiftxs’,shiftxs*width,’width’,width);
whisker_boxplot(3+xs,hospital.BloodPressure(~male,2),[1 0 0],’shiftxs’,shiftxs*width,’width’,width);
set(gca,’XTick’,1:length(XTickLabels),’XTickLabels’,XTickLabels)
legend([l1(1) l2(1)],{‘male’,’female’});
subplot(2,2,2);hold on;title(‘adjusted_boxplot’)
adjusted_boxplot(1-xs,hospital.Weight( male),[0 0 1],’shiftxs’,shiftxs*width,’width’,width);
adjusted_boxplot(1+xs,hospital.Weight(~male),[1 0 0],’shiftxs’,shiftxs*width,’width’,width);
adjusted_boxplot(2-xs,hospital.BloodPressure( male,1),[0 0 1],’shiftxs’,shiftxs*width,’width’,width);
adjusted_boxplot(2+xs,hospital.BloodPressure(~male,1),[1 0 0],’shiftxs’,shiftxs*width,’width’,width);
adjusted_boxplot(3-xs,hospital.BloodPressure( male,2),[0 0 1],’shiftxs’,shiftxs*width,’width’,width);
adjusted_boxplot(3+xs,hospital.BloodPressure(~male,2),[1 0 0],’shiftxs’,shiftxs*width,’width’,width);
set(gca,’XTick’,1:length(XTickLabels),’XTickLabels’,XTickLabels)
subplot(2,2,3);hold on;title(‘whisker_boxplot, with bubbles & saturation set to white’)
whisker_boxplot(1-xs,hospital.Weight( male),[0 0 1],’shiftxs’,shiftxs*width,’width’,width,’bub’,1,’sat’,0);
whisker_boxplot(1+xs,hospital.Weight(~male),[1 0 0],’shiftxs’,shiftxs*width,’width’,width,’bub’,1,’sat’,0);
whisker_boxplot(2-xs,hospital.BloodPressure( male,1),[0 0 1],’shiftxs’,shiftxs*width,’width’,width,’bub’,1,’sat’,0);
whisker_boxplot(2+xs,hospital.BloodPressure(~male,1),[1 0 0],’shiftxs’,shiftxs*width,’width’,width,’bub’,1,’sat’,0);
whisker_boxplot(3-xs,hospital.BloodPressure( male,2),[0 0 1],’shiftxs’,shiftxs*width,’width’,width,’bub’,1,’sat’,0);
whisker_boxplot(3+xs,hospital.BloodPressure(~male,2),[1 0 0],’shiftxs’,shiftxs*width,’width’,width,’bub’,1,’sat’,0);
set(gca,’XTick’,1:length(XTickLabels),’XTickLabels’,XTickLabels)
subplot(2,2,4);hold on;title(‘adjusted_boxplot, with bubbles & saturation set to white’)
adjusted_boxplot(1-xs,hospital.Weight( male),[0 0 1],’shiftxs’,shiftxs*width,’width’,width,’bub’,1,’sat’,0);
adjusted_boxplot(1+xs,hospital.Weight(~male),[1 0 0],’shiftxs’,shiftxs*width,’width’,width,’bub’,1,’sat’,0);
adjusted_boxplot(2-xs,hospital.BloodPressure( male,1),[0 0 1],’shiftxs’,shiftxs*width,’width’,width,’bub’,1,’sat’,0);
adjusted_boxplot(2+xs,hospital.BloodPressure(~male,1),[1 0 0],’shiftxs’,shiftxs*width,’width’,width,’bub’,1,’sat’,0);
adjusted_boxplot(3-xs,hospital.BloodPressure( male,2),[0 0 1],’shiftxs’,shiftxs*width,’width’,width,’bub’,1,’sat’,0);
adjusted_boxplot(3+xs,hospital.BloodPressure(~male,2),[1 0 0],’shiftxs’,shiftxs*width,’width’,width,’bub’,1,’sat’,0);
set(gca,’XTick’,1:length(XTickLabels),’XTickLabels’,XTickLabels)
⛄ 运行结果
⛄ 参考文献
❤️ 关注我领取海量matlab电子书和数学建模资料
❤️部分理论引用网络文献,若有侵权联系博主删除
免责声明:本站所有文章内容,图片,视频等均是来源于用户投稿和互联网及文摘转载整编而成,不代表本站观点,不承担相关法律责任。其著作权各归其原作者或其出版社所有。如发现本站有涉嫌抄袭侵权/违法违规的内容,侵犯到您的权益,请在线联系站长,一经查实,本站将立刻删除。 本文来自网络,若有侵权,请联系删除,如若转载,请注明出处:https://haidsoft.com/129368.html


