大家好,欢迎来到IT知识分享网。

这里高斯滤波,也叫高斯模糊。
应用:高斯滤波是一种线性平滑滤波器,对于服从正态分布的噪声有很好的抑制作用。在实际场景中,我们通常会假定图像包含的噪声为高斯白噪声,所以在许多实际应用的预处理部分,都会采用高斯滤波抑制噪声,如车牌识别等。
opencv函数声明:

其中不必纠结于系数

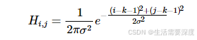
其中(x,y)为掩膜内任一点的坐标,(ux,uy)为掩膜内中心点的坐标,在图像处理中可认为是整数;σ是标准差。
例如:要产生一个3×3的高斯滤波器模板,以模板的中心位置为坐标原点进行取样。模板在各个位置的坐标,如下所示(x轴水平向右,y轴竖直向下)

这样计算出来的模板有两种形式:小数和整数。
首先我们要确定我们生产掩模的尺寸wsize,然后设定高斯分布的标准差。生成的过程,我们首先根据模板的大小,找到模板的中心位置center。 然后就是遍历,根据高斯分布的函数,计算模板中每个系数的值。
最后模板的每个系数要除以所有系数的和。这样就得到了小数形式的模板。
3×3,σ=0.8的小数型模板:
来看下一维高斯分布的概率分布密度图:
于是我们有如下结论:σ越小分布越瘦高,σ越大分布越矮胖。
只处理单通道或者三通道图像,模板生成后,其滤波(卷积过程)就比较简单了。不过,这样的高斯滤波过程,其循环运算次数为m×n×ksize×ksize,其中m,n为图像的尺寸;ksize为高斯滤波器的尺寸。这样其时间复杂度为O(ksize2),随滤波器的模板的尺寸呈平方增长,当高斯滤波器的尺寸较大时,其运算效率是极低的。为了,提高滤波的运算速度,可以将二维的高斯滤波过程分解开来。
首先得到一维高斯函数的模板,在卷积(滤波)的过程中,保持行不变,列变化,在水平方向上做卷积运算;接着在上述得到的结果上,保持列不边,行变化,在竖直方向上做卷积运算。 这样分解开来,算法的时间复杂度为O(ksize),运算量和滤波器的模板尺寸呈线性增长。
效果
免责声明:本站所有文章内容,图片,视频等均是来源于用户投稿和互联网及文摘转载整编而成,不代表本站观点,不承担相关法律责任。其著作权各归其原作者或其出版社所有。如发现本站有涉嫌抄袭侵权/违法违规的内容,侵犯到您的权益,请在线联系站长,一经查实,本站将立刻删除。 本文来自网络,若有侵权,请联系删除,如若转载,请注明出处:https://haidsoft.com/129988.html





