大家好,欢迎来到IT知识分享网。
本文主要参考视频:
【建议收藏】同济七版《高等数学》精讲视频 | 期末考试 | 考研零基础 | 高数小白_哔哩哔哩_bilibili
3.3.1.1 微分的定义_哔哩哔哩_bilibili
3.3.5.1 导数与微分区别_哔哩哔哩_bilibili
仅供本人学习使用。
什么是微分
相对于导数来说,微分其实不是很好理解。一开始我就理解错了,把dy就理解成了△y,但二者并非完全等价的关系。
那到底什么是微分呢?
先看一个小的引例:
试问,这里如果用2×0*△x来近似替代△A,是否可行呢?
为了解决这个疑惑,我们就要先学习微分这个概念。
由微分的定义可知,因为A*△x,即dy相对于△y来说少了个高阶无穷小,所以二者并非完全等价。
事实上,微分dy就是函数的增量△y的近似表示,当△x无限趋近于0时,二者才越来越接近,这就是“以直代曲”的极限逼近思想,也是微分的核心思想。
以下有几点说明:
微分的几何意义
这里能很直观地看到,微分其实是“以直代曲”所产生的切线的函数值相对于△x的增量。
而切线是怎么来的呢?是求导数得来的。
所以,微分和导数是不是有什么关联呢?
事实上,对于一元函数来说,可微和可导是完全等价的。
可微的充要条件如下:
结论如下:
所以,才有导数的另一个叫法就是微商。
注意:这里的前提y=x才得出dx=△x,总感觉不完善。
参考:微分 dx, △x – 知乎
我们知道直线的斜率是y=kx,类似的,微分dy=导数*dx
因此,求微分,其实本质就是求导数,然后乘以自变量的微分dx,从而得到函数值的增量的近似表示。
举个求微分的简单例子
从例子中可以看出,微分dy其实是一个关于△x的线性函数。
微分和导数的区别
上面说可微和可导是等价的,那么这二者真的就是同一个东西吗?
还是有区别的。
微分的运算法则
基本初等函数的微分公式
其实就是求导函数,然后再乘以dx
四则运算
复合函数的微分
先外层整个求导,然后内层求导,相乘后再乘以dx
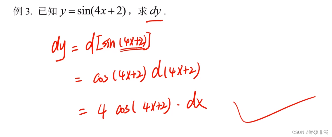
举个简单的例子
再举个例子
![]()
微分中值定理
微分中值定理并不是指某一个定理,而是一系列中值定理的总称,说是微分中值定理,其实和上面说的微分dy没有太大关系。
这些中值定理是研究函数的有力工具,其中最重要的内容是拉格朗日定理,可以说其他中值定理都是拉格朗日中值定理的特殊情况或推广。微分中值定理反映了导数的局部性与函数的整体性之间的关系,应用十分广泛。
之前在讲函数连续性的时候,讲过闭区间上连续函数的几个定理:
✔最大最小值定理
✔零点定理
✔介值定理
费马引理
说明x0这点要么是最凸点或者最凹点,也就是说要么是最大值要么是最小值。
费马引理要说的是:如果某个极限区域内的极值存在,那么极值处的导数为0
罗尔定理
这个很好理解,区间端点处函数值相等,则中间要么变大再变小,要么变小再变大,要么一直都没变,不管怎么样,都会有一个点的切线平行于x轴。
这也就是罗尔定理的几何意义
拉格朗日中值定理
罗尔定理其实是拉格朗日中值定理的一种特殊情况。
推广
几何意义
注意,这里是平行于弦AB,不是平行于x轴,别搞懵了。
柯西中值定理
洛必达法则我放到导数章节了。 高等数学:导数-CSDN博客
泰勒公式
泰勒公式是一种用于近似表达函数在某一点附近的值的数学公式。它利用函数在该点的各阶导数值作为系数,构建一个多项式来近似表达这个函数。泰勒公式的提出归功于18世纪的英国数学家布鲁克·泰勒。这个公式广泛应用于函数微分学的相关领域,特别是在研究和分析复杂函数的性质时。
泰勒公式的正确性是基于拉格朗日的切线定理,而其近似性则是通过泰勒级数的展开得到的。泰勒级数是对原始函数进行无限次多项式展开的结果,其中每一项都是函数在不同阶导数处的线性组合。泰勒多项式是原函数的近似,随着多项式项数的增加,它会变得更加精确地接近原函数。 泰勒公式的发展历程涉及到了多位数学家的贡献,其中包括科林·麦克劳林和奥古斯丁-路易斯·柯西等人。他们的工作进一步扩展了泰勒公式的应用范围和使用频率,使其成为了分析和研究许多数学问题的有力工具。
1
2
3
可以看到,麦克劳林公式是对泰勒公式的简化,但也属于泰勒公式,我们一般都称之为泰勒展开。
下面是常用的泰勒展开式:
这些式子是已经计算并展开了,记住就行。
泰勒展开描述了任何函数都可以展开成多项式的形式,展开的项越多,越能接近真实值。
如何用泰勒公式求极限?
当我们直接求极限不好求的时候,就可以将式子进行泰勒展开,然后再求极限,极限情况下,高阶无穷小,即余项就会等于0。
注意:x^n的高阶无穷小就是说比n次幂还高次幂的余项。
免责声明:本站所有文章内容,图片,视频等均是来源于用户投稿和互联网及文摘转载整编而成,不代表本站观点,不承担相关法律责任。其著作权各归其原作者或其出版社所有。如发现本站有涉嫌抄袭侵权/违法违规的内容,侵犯到您的权益,请在线联系站长,一经查实,本站将立刻删除。 本文来自网络,若有侵权,请联系删除,如若转载,请注明出处:https://haidsoft.com/139916.html






























