大家好,欢迎来到IT知识分享网。
二重积分的几何意义是计算物体的体积,但是在实际问题中,二重积分还可以用来计算面积和均值。
计算面积
计算面积容易联想到单变量积分的几何意义,但通常这是用二重积分来完成的。
给出一个平面上的区域R,求R的面积。如果使用一元积分计算,会发现这并不容易,因为一元积分的几何意义是曲线与x轴围成的面积,而现在是要计算闭合曲线围成的面积。此时二元积分会比较有用。
将R区域的面积分成无数个小块,每个小块的面积都是dA,R的面积也就是dA之和(可参考《多变量微积分8——二重积分》)。如果用二重积分表示,R区域的面积就是函数f(x,y) = 1在R上的二重积分:
如果按照体积去思考,上式就是函数f(x,y) = 1的图形下的体积。由于在三维坐标中,f(x,y) = 1的图像是高度为1的水平面,所以二重积分表示底面积是AreaR,高度为1的棱柱的体积;体积等于底面积AreaR乘以高,高度是1,所以体积等于底面积。
通常我们不按照体积去思考,而是直接把∫∫RdA看成R区域的面积微元dA的总和。
考虑一个均匀的平面物理物体,比如一个金属板,它的质量就可以用二重积分计算。平面金属板的质量是板上每一小片质量的总和。一个平面物体的密度是每单位面积元的质量,因此可以对密度积分求平面物体质量。用Δm表示质量,ρ表示密度,ΔA表示小块区域,则:
需要注意的是,二重积分只能处理平面,上式表示对密度做积分得到平面物体的质量。如果要计算空间物体的质量,就必须计算体积,这是三重积分的工作。
计算平均值
二重积分的另一个应用是求区域上数量的平均值,即在区域R上求函数f的平均值。
我们知道在有限数据集上求平均值的方法——用数值总量除以数值个数,比如计算一个班级学生的平均身高。如果是无限数据集的平均值呢?比如测量一个房间的平均温度,我们通常的做法是选取一些点去测量,然后计算这些点的平均值,结果的真实度取决于测量点的个数。理论上有无限多个点,所以这种方式无法表述真正的数值。
实际上,数学上定义连续平均值的方法是对整个数据集上的函数f做积分,然后再除以这个集合的大小(也就是区域R的面积):
上式可以看作所有点处f值的和除以所有点的个数,前提是各点的权重一致,也就是等权平均值。
如果是加权平均,还需要在积分内乘以权重系数:
其中δ权重系数,如果f是关于x和y的函数,那么δ也应当是关于x和y的函数,也就是每一个f(x,y)都有对应的δ(x,y)。
示例
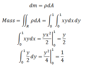
如下图所示,在直角坐标系下有平面一个物体,该物体的密度是ρ = xy,求该物体的质量和质心位置。
由于是平面物体,其质量是面积的积分;由于物体是不均匀的,所以还需要乘以权重:
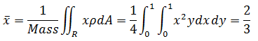
在x方向上的质心:
由于该物体是关于y=x对称的,所以y方向上的质心也是2/3
作者:我是8位的
出处:http://www.cnblogs.com/bigmonkey
本文以学习、研究和分享为主,如需转载,请联系本人,标明作者和出处,非商业用途!
扫描二维码关注公众号“我是8位的”
免责声明:本站所有文章内容,图片,视频等均是来源于用户投稿和互联网及文摘转载整编而成,不代表本站观点,不承担相关法律责任。其著作权各归其原作者或其出版社所有。如发现本站有涉嫌抄袭侵权/违法违规的内容,侵犯到您的权益,请在线联系站长,一经查实,本站将立刻删除。 本文来自网络,若有侵权,请联系删除,如若转载,请注明出处:https://haidsoft.com/142305.html








