大家好,欢迎来到IT知识分享网。
总结概括
SVPWM主要着眼于如何使电机获得幅值恒定的原型磁场。它以三相对称正弦波电压供电时交流电动机的理想磁通圆为基准,用逆变器不同的开关模式所产生实际的磁通去逼近基准圆磁通,由它们比较决定逆变器的开关,从而形成PWM波。
方法的基本思 路为:由控制策略求解出系统目标电压矢量,根据目标矢量所在的空间位置(
大、小 扇区)
,选择参与目标矢量合成的基本电压矢量,最后利用伏秒平衡的原则进行合成
原理概括
由不同的导通状态,最后我们发现会有三种电平状态:

根据功率开关管的导通和关闭,会出现:p o n 三种状态,例如:

公式推导
设三相电压瞬时值表达式为:
它们对应的空间电压矢量为:
系数

理想的三电平整流器开关模型,每相桥臂的电路可以看成一个单刀三掷开关
若定义:

将上式带入到Vref当中,可以得到下面的式子:
用开关状态表示出了矢量电压状态。
矢量的合成
对于A,B,C这三条支路来讲,都对应 p o n 三种状态,因此有3x3x3=27个基础矢量。



同理,中矢量√3/2*



长矢量:PNN PPN NPN NPP NNP PNP
中矢量:PON OPN NPO NOP ONP PNO
短矢量:
规律:
长矢量:两个P + 一个N 或 两个N一个P
中矢量:一个P+一个O+一个N
短矢量:两个N一个O 或 两个P一个O 或 一个N两个O,或 一个P两个O
合成矢量图为:
扇区划分
一句话总结:要形成的参考矢量,所在的三角形的三个顶点,即为要用到的基础矢量
判断在哪个大扇区


利用函数S=ceil(


判断在哪个小扇区
以第1扇区为例,
根据几何关系,我们可以计算出:
可以利用调制比进行标幺化处理,调制比 
各矢量作用时间的计算
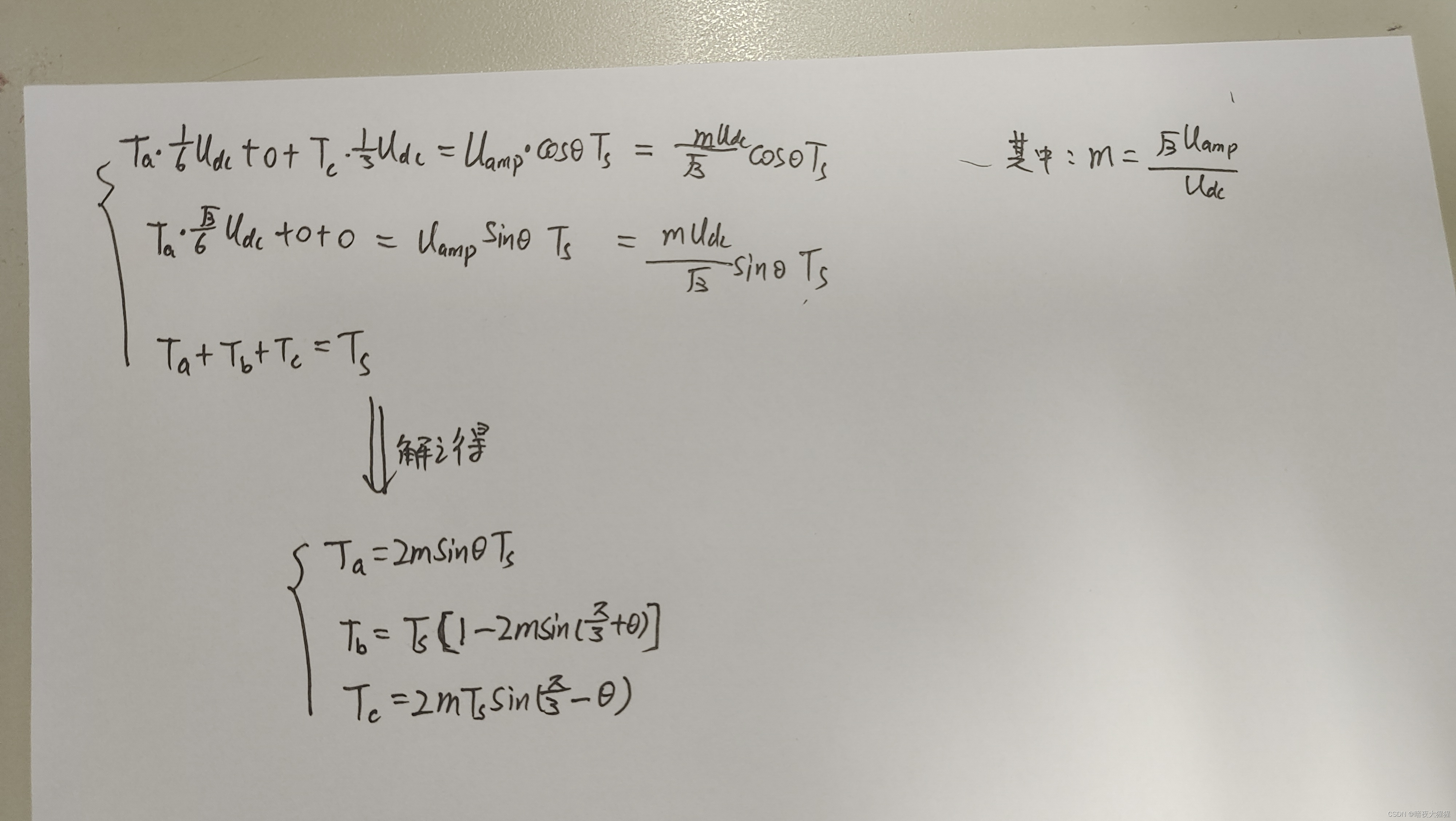
利用伏秒平衡原理(伏秒原则,处于稳定状态的电感,开关导通时间(电流上升段)的伏秒数须与开关关断(电流下降段)时的伏秒数在数值上相等)。SVPWM伏秒平衡原理。
以下是伏秒平衡方程组:
每个区域由小三角形的顶点基本矢量作为基底,对应
解出
以第一大扇区的1,2小区间为例:
它们的矢量坐标是:
将这些坐标代入伏秒平衡方程组,可以得到:
同理,可以求出第一扇区的3,4,5,6小扇区所对应的时间。
空间电压各矢量作用顺序的确定
要求:
- 每次开关变化只有一个开关函数变动,优化开关频率,减少开关损耗
- 一个开关周期必须分为8个开关矢量作用,且每个开关矢量的作用是对称的
- 零矢量的作用顺序必须等份分配。
开关矢量作用顺序要遵循方便对中点电压控制的原则,因为短矢量会影响中点电位平衡并且由于短矢量在每个采样周期内出现的开关状态中短矢量对应 的 开 关状态出现 的次数多,因 此选用 短矢量作为每个采样周期的起始矢量。
根据以上原则,以第一扇区为例:七段式
我们以第1大扇区的3小扇区为例:
通过以上步骤可以完成SVPWM调制。
总结:
- 确定
并将其分解为
- 确定大扇区,然后再确定大扇区内的小扇区
- 确定小扇区的基本作用矢量和基本作用时间
- 确定时间的作用序列
免责声明:本站所有文章内容,图片,视频等均是来源于用户投稿和互联网及文摘转载整编而成,不代表本站观点,不承担相关法律责任。其著作权各归其原作者或其出版社所有。如发现本站有涉嫌抄袭侵权/违法违规的内容,侵犯到您的权益,请在线联系站长,一经查实,本站将立刻删除。 本文来自网络,若有侵权,请联系删除,如若转载,请注明出处:https://haidsoft.com/144652.html



















并将其分解为