大家好,欢迎来到IT知识分享网。
【拯救者】离散数学速成(期末+考研+专升本) 均可 4K 文档+讲解
P1命题逻辑的基本概念
虽然是不确定 但是可以是命题 就是无法判断真假
- 优先级
P2命题逻辑等值演算
第一种方法: 真值表求
第二种 用等值演算求
P3命题逻辑推理理论
下面给出例题 后面的可以写成 前提引入 T1 2
下面给出反证法
附加前提证明:
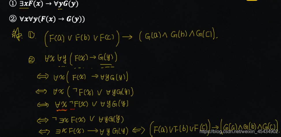
P4谓词逻辑
例
二. 量词 任意与→连用 ; 存在与且连用
例
自由变元
但是量词否定不一样例
否定前移 任意或存在的量词变下
一定是任意对且可以分配
一定是存在对或者可以分配
例
P5代数
P6二元关系
自反的话是任意A中的x
反自反与之相反
只要在R里面必须都有<y,x>
反对称相反
在R里面有他 那么必须他可传递
抽象集合的证明
哈斯图 画法
极大元、极小元不唯一
最大元和最小元唯一:必须是所有元素都得小于或者大于他 下图中 f 不行
ran(A)是求得值域 只看{ ,y}y就可以 最后 构成集合{y1,y2}
dom(A)是定义域 只看{x, }x就可以 最后 组成集合{x1,x2}
P7图
n阶完全图Kn : 边数 n(n-1)/2 每个顶点之间都有边
简单图 : 只要没有环 和 平行边就可以
生成子图 : 只要点同 边不一定一样
同构 : 点同 边 经过拉伸 可以变换为一样
求 生成树 就像化学里面的求同分异构体
平行边必须起点和终点都相同
出度d+ 入度d- 一个点的度数d=d+ + d-;
例题
回路:是看对角线的的加和(环: 自己到自己)
A^n= 里面的数就是通路的条数
Vm,vn的通路 看 矩阵里面(m,n)的元素
可达不可达是看A^n里面是不是零,不是零写1 若为零再看之前的矩阵相同位置的元素是否有非零,若有一个为非零,则为1
最后A^n只有全为1,才可达
P8欧拉图 哈密顿图
哈密顿图例题
DJ斯特拉算法 求 最短路径问题
例:
二部图: 任意一条边的两个端点一个属于V1 另一个属于V2 则G为二部图
且V1 V2中每一个顶点只有一条边相关联
平面图:除了顶点处 没有边交叉出现
边界: 围成回路的边
面R的次数: 边的长度
面:边将平面分成的若干个区域
性质:
1 平面图的所有面的次数和等于边数的二倍
2 n阶简单平面图是极大平面图 当且仅当他是联通的 且每个面的次数都为3
3 n-m+r=2 (n为顶点数 m为边数 r为面数) 适用于任意连通平面图
4 m<= l(n-2)/l-2 适用任意连通平面图 I 为每个面的次数
4 n-m+r=p+1 适用于 任意p个连通分支非联通的平面图
5 m<=l(n-p-1)/l-2 适用于 p个连通分支的平面图
P9 树
那么什么是森林呢 ? 别急
结点数目等于边数+1
另一种题型 求最小生成树
1 找出所有点 并且在一旁 写出所有的边上的数(有小到大排列)
2 从最小数开始画边 只要不出现回路就 画边
注意 内点 是出度大于0
顶点的层数 根顶点的的层数为0
腚理:
权? 很多点*层数 加和 类似于上面的(4)
仍在更新
别撒花了 给我撒个赞吧点击我的头像看我的更多干货笔记吧
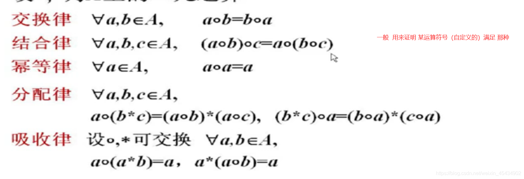
P10 代数系统
幂等律 最简单 直接自己*自己 =自己
一般证明结合律 一般都有要自己加一个 Z
注意一下幂等律 和吸收率
还有一种给图 看满足什么律的?
主对角线上的元素排列 为左边的排列 满足幂等律
延主对角线 对称 那么 满足交换律
零元: 那一行 那一列 都是 ai
如果满足这个 那么 ai aj互为逆元
半群 设<S,>是一个代数系统,如运算“”封闭的,可结合的,则此二元代数系统是一个半群,若运算”*“又是可交换的,则称此代数系统可交换半
独异点 设<S,*>是一个独异点,对任意a,b∈S a,b\in Sa,b∈S,且a,b均有逆元
群: 注:群中不可能有零元
给定一个代数系统<G,>,若运算满足:
封闭,结合,存在幺元,任意一个集合中的元素都有逆元,
则称<G,*>是一个群,简称G是一个群
群G的阶
使得x ^k=e 成立的最小的正整数k 称作x的阶
同态
子群判定定理
设G为群,H为G的非空子集,如对任意 x,y属于H 都有xy^-1属于H, 则H为G的子群
由元素x生成的子群
记作 满足H={x^k | k属于Z }
同态
设A=<S, , Δ, k>和A’=<S’, ’, Δ’, k’>是两个具有相同构成的代数系统,f是从S到S’的一个映射,且对任意a,b∈S满足:
f(ab) = f(a) ’ f(b)
则称f为由A到A’的一个同态映射,简称同态。A同态于A’,记作A~A’。
单一同态:若f是单射的,则称f为由A到A’的一个单一同态。显然,A在单一同态f下的同态象<f(S), *‘, Δ’, k’>与A同构。
同构:若f是双射的,则称f为由A到A’的一个同构映射,简称同构。A同构于A’,记作A\congA’。
完结 撒花
看完领会了不上60分 那就给我*““邮寄””*一个老八蜜汁汉堡发我邮箱
期末必考题型 带解析例题
入度等于出度 为n阶无向简单图
也没有否在最前面
答案为
元素只是属于 {1,2,3} 对于A来说就是元素
但是 {
{1,2,3}} 对于A来说就是 子集了
求幂集P(A) 就是讲集合内的元素 外面套上{ } 在加上空集
n阶完全图Kn : 边数 n(n-1)/2 每个顶点之间都有边
简单图 : 只要没有环 和 平行边就可以
生成子图 : 只要点同 边不一定一样
同构 : 点同 边 经过拉伸 可以变换为一样
求 生成树 就像化学里面的求同分异构体
求 邻接矩阵
求最小生成树
注意 可以不用一个个的连着画 可以跳着画 但是要从小到大
注意 A的n次方 代表长度为 n
而 vi~vj代表 (i,j)的值
观看地址:
https://www.bilibili.com/video/BV1Ej411e72S
免责声明:本站所有文章内容,图片,视频等均是来源于用户投稿和互联网及文摘转载整编而成,不代表本站观点,不承担相关法律责任。其著作权各归其原作者或其出版社所有。如发现本站有涉嫌抄袭侵权/违法违规的内容,侵犯到您的权益,请在线联系站长,一经查实,本站将立刻删除。 本文来自网络,若有侵权,请联系删除,如若转载,请注明出处:https://haidsoft.com/149616.html





























































](https://i-blog.csdnimg.cn/blog_migrate/632870c6606d74bd6e2d91a46f1bf0ea.png)

































































