大家好,欢迎来到IT知识分享网。
一、两角和差公式
记忆方法:
tanx函数的和差变形公式,不用记,用cosx和sinx的公式推导即可。
cosx的和差公式,ccss,异号
sinx的和差公式,scsc,同号
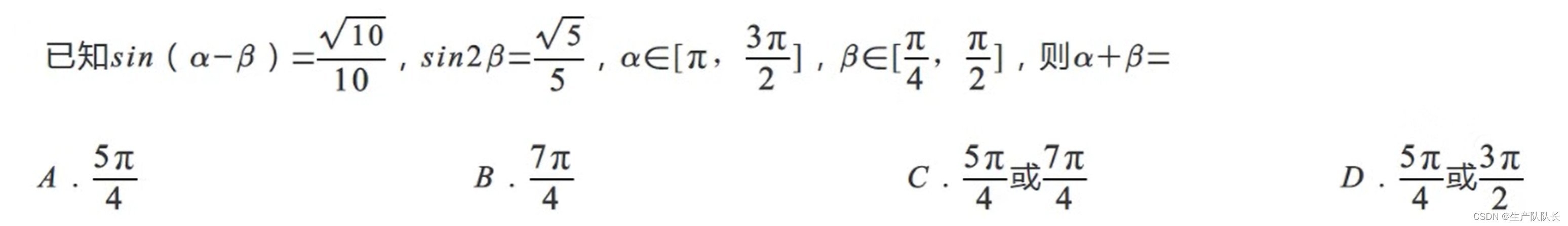
练习
解析:
关键点:设x=α-β,y=2β,则x+y=α+β
然后,根据函数值和角的范围,分析,α+β角的终边在第几象限,从而确定其角度值。
这里需要注意一个点
我们在利用x+y的时候,可能用到sin(x+y),这样会得出两个值,误选了C选项。
所以,这种题目,最好把cos(x+y)也算一下,同时两者都成立,才能真正确定角的终边位置。
二、辅助角公式
这里,我们可以设:c^2 = a^2 + b^2
得:
1、如果把b看作是对边,a看作是临边
b/c就是对边比斜边,即sinφ
a/c就是临边比斜边,即cosφ
得公式(1)
2、如果把b看作是临边,a看作是对边
b/c就是对边比斜边,即cosφ
a/c就是临边比斜边,即sinφ
得公式(2)
常用的是凑公式(1)
练习
三、半角及二倍角公式
正弦函数的二倍角公式
余弦函数的二倍角公式(重点,常考),及半角公式的推导
正切函数的二倍角公式
半角公式
==口诀:降次必升角,降角必升次
练习
化简f(x)
这里要注意,三角函数的平方写法。
四、和差化积与积化和差公式
和差化积公式
积化和差公式
五、边角互化(三角形问题使用)
正弦定理
正弦定理证明:
余弦定理
重点记住表达式二
余弦定理证明:
用向量法证明
练习
免责声明:本站所有文章内容,图片,视频等均是来源于用户投稿和互联网及文摘转载整编而成,不代表本站观点,不承担相关法律责任。其著作权各归其原作者或其出版社所有。如发现本站有涉嫌抄袭侵权/违法违规的内容,侵犯到您的权益,请在线联系站长,一经查实,本站将立刻删除。 本文来自网络,若有侵权,请联系删除,如若转载,请注明出处:https://haidsoft.com/153418.html





















