大家好,欢迎来到IT知识分享网。
目录
什么是梯度消失
梯度消失问题( vanishing gradient)是在早期的BP网络中比较常见的问题。这种问题的发生会让训练很难进行下去,看到的现象就是训练不再收敛——Loss过早地不再下降,而精确度也过早地不再提高。
梯度消失产生的原因
我们还是来看一个具体的例子:
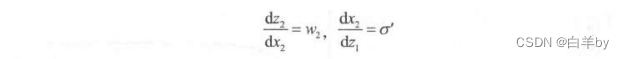
就是两个节点首尾相接组成的神经网络(应该说连“线”都算不上),这其中位于网络前部的w1的更新就需要计算损失函数对w,的偏导数,在这个函数里,根据链式法则我们能够得到,前面的这个神经元的w,的导数是这样一个表达式:
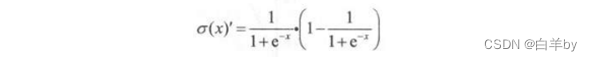
其中我们发现第一项关于中z_2的偏导数和第三项关于z_1的偏导数其实就是Sigmoid函数的斜率,Sigmoid函数的图像如图
既然我们弄清楚了,导致梯度消失问题的原因是因为在对参数求偏导时,根据链式法则得到的连乘式中多个几乎为0的导数值连乘导致,那么我们就可以提出相应的解决办法。
导数小导致每次更新时的值过小,那么相反,导数大就应该会使更新的数值比较大,更新速度比较快。所以无非就是要消除这种链式发着中发生的每一项绝对值小于1的情况呗。
第二项其实就是sigmoid函数求导,即
所以在这里我们的想法就是让连乘
梯度消失解决方法
我们可以尝试一下如下方法
方法1:将w初始化大一些
假设我们把w初始化成10,在 Sigmoid函数为0的地方,导数的绝对值是4,当 lwl=10的时候
同样是链式法则的连乘关系,原来是因为导数太小导致网络前端的w变化太慢,这么一改之后反过来了,网络前端的变化率太高了,一次的变化量非常大。就拿刚刚这个例子来说,如果有10层,10个2.5相乘就是9536左右。俗话说“过犹不及”,这就算是一个很小的n也能一下子从地下挪到天上去,这种现象叫做梯度爆炸( gradient explording),也叫作梯度膨胀。
综上可知,这种方法似乎并不理想,那让我们看下一个方法。
方法二:选取合适的激活函数
既然sigmoid函数本身就有缺陷,那么我们就从根上解决问题,直接换激活函数!那是否有合适的激活函数呢?还真有,那就是ReLU激活函数,ReLU激活函数的图像如下
这个函数的形式为y=max(x,0),这个函数在原点左侧部分斜率为0,在右侧则是一条斜率为1的直线。函数在x大于0的部分是呈现出线性特点的,在小于0的时候则是一条直线,这个锋利的弯折提供了良好的非线性特点。尤其注意它在第一象限的这条直线,它的导数恒为.1,这是它的“激活”状态;x小于0的部分导数恒为0,这是它的“非激活”状态。所以它的优点有两个应该是显而易见的。
其一,在第一象限中不会有明显的梯度消失问题,因为导数恒为1,而w在初始化的时候也是有大有小,连乘的时候不会轻易出现很小或者很大的数值,这就是一个非常好的特性了。
其二,由于导数为1,所以求解它的导数要比求解Sigmoid函数的导数代价要小一些,这里说的代价主要是时间代价。前面咱们说了求导数要在函数的这个点上用Loss(w+A)-Loss(x)的古社击求这个计算的次数可就比直接拿一个1出来麻烦多了,尤其是在损失函数里的w很多的时候,一次计算所消耗的计算资源就太多了,速度会变慢。
免责声明:本站所有文章内容,图片,视频等均是来源于用户投稿和互联网及文摘转载整编而成,不代表本站观点,不承担相关法律责任。其著作权各归其原作者或其出版社所有。如发现本站有涉嫌抄袭侵权/违法违规的内容,侵犯到您的权益,请在线联系站长,一经查实,本站将立刻删除。 本文来自网络,若有侵权,请联系删除,如若转载,请注明出处:https://haidsoft.com/118999.html





