大家好,欢迎来到IT知识分享网。
 
RC振荡器电路
1、概述
RC 振荡器使用放大器和 RC 反馈网络的组合,由于级之间的相移而产生输出振荡。
当单级晶体管放大器作为共发射极型放大器连接时,可以在其输出和输入信号之间产生 180°的相移,我们可以使用这种配置来产生 RC 振荡器电路。
但我们可以通过在晶体管周围放置电阻电容 (RC) 网络来将晶体管级配置为作为振荡器运行,以提供所需的再生反馈,而无需储能电路。 频率选择性 RC 耦合放大器电路易于构建,并且可以通过选择适当的电阻和电容值使其以任何所需频率振荡。
为了使 RC 振荡器无限期地维持其振荡,必须提供正确相位的足够反馈,即正(同相)反馈以及用于将足够的环路增益注入闭环的单个晶体管放大器的电压增益。 环路以维持振荡,使其以选定的频率连续振荡。
在 RC 振荡器电路中,输入通过反馈电路移动 180°,返回异相信号,并通过反相放大器级再次移动 180°,以产生所需的正反馈。 这样我们就得到了 180 ° + 180 ° = 360 ° 180° + 180° = 360° 180°+180°=360°的相移,这实际上与 0° 相同,从而为我们提供了所需的正反馈。 换句话说,反馈环路的总相移应该为0或360°的任意倍数才能获得相同的效果。
在电阻电容振荡器或简称为 RC 振荡器中,我们可以通过在反馈分支中使用互连的 RC 元件,利用 RC 网络的输入与同一网络的输出之间发生相移的事实。
2、RC 相移网络
上面电路显示了单个电阻电容网络,其输出电压“超前”输入电压某个角度小于 90°。 在纯或理想的单极 RC 网络中。 它会产生恰好90°的最大相移,并且由于振荡需要 180° 的相移,因此 RC 振荡器设计中必须使用至少两个单极点网络。
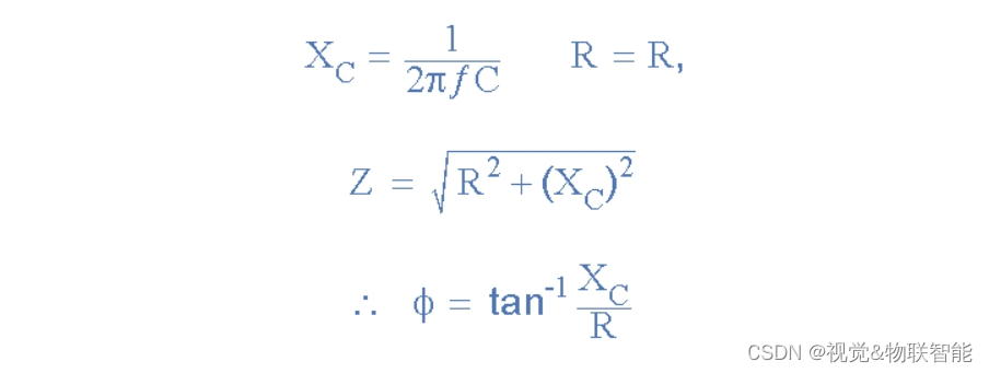
然而,实际上很难为每个 RC 级获得精确的 90°相移,因此我们必须使用更多的 RC 级级联在一起才能在振荡频率下获得所需的值。 电路中的实际相移量取决于电阻器 ® 和电容器 © 的值,在选定的振荡频率下,相位角 ( ϕ \phi ϕ) 如下所示:
RC相位角
其中: X C X_C XC 是电容器的容抗, R R R 是电阻器的电阻, f f f 是频率。
在上面的简单示例中, R R R 和 C C C 的值已选定,以便在所需频率下输出电压超前于输入电压约 60° 的角度。 然后,每个连续 RC 部分之间的相位角再增加 60°,输入和输出之间的相位差为 180° (3 x 60°),如下矢量图所示。
矢量角
因此,通过将三个这样的 RC 网络串联级联在一起,我们可以在所选频率下在电路中产生 180° 的总相移,这构成了“RC 振荡器”的基础,也称为相移振荡器,因为相角发生了偏移 通过电路的每一级的量。 然后,各个 RC 级之间的相位差会发生相移。 运算放大器电路可方便地采用四 IC 封装。 例如,LM124 或 LM324 等,因此四个 RC 级也可用于在所需的振荡频率下产生所需的 180° 相移。
我们知道,在使用双极晶体管或反相运算放大器配置的放大器电路中,它会在输入和输出之间产生 180° 的相移。 如果将三级 RC 相移网络作为反馈网络连接在放大器电路的输出和输入之间,则为产生所需的再生反馈而创建的总相移为:$ 3 \times 60° + 180° =360° = 0°$显示。
三个 RC 级级联在一起以获得稳定振荡频率所需的斜率。 当每级相移为-60°时,反馈环路相移为-180°。 当 j ω = 2 π f = 1 / 1.732 R C
免责声明:本站所有文章内容,图片,视频等均是来源于用户投稿和互联网及文摘转载整编而成,不代表本站观点,不承担相关法律责任。其著作权各归其原作者或其出版社所有。如发现本站有涉嫌抄袭侵权/违法违规的内容,侵犯到您的权益,请在线联系站长,一经查实,本站将立刻删除。 本文来自网络,若有侵权,请联系删除,如若转载,请注明出处:https://haidsoft.com/121115.html
                



