大家好,欢迎来到IT知识分享网。
1微分方程基本概念
1.1微分方程:含有未知函数及其导数的方程。
简单来说,微分方程指,含有未知函数及其导数的方程。
1.2微分方程分类:
(1)常微分方程:未知函数是一元函数
(2)偏微分方程:未知函数是多元函数
1.3微分方程的阶数:微分方程中所含导数或微分的最高阶数。
eg:
1.4微分方程的解:使得微分方程成立的函数(不唯一)
eg:


1.5微分方程的通解和特解:特解不含常数;通解中所含的相互独立的任意常数的个数与微分方程的阶数相等。
eg:


1.6初值条件:用来确定通解中常数的条件。
eg:若 


1.7解析解和数值解
解析解:解的具体表达式
数值解:近似值
2微分方程模型
2.1人口预测模型——马尔萨斯模型、阻滞增长(Logistic)模型
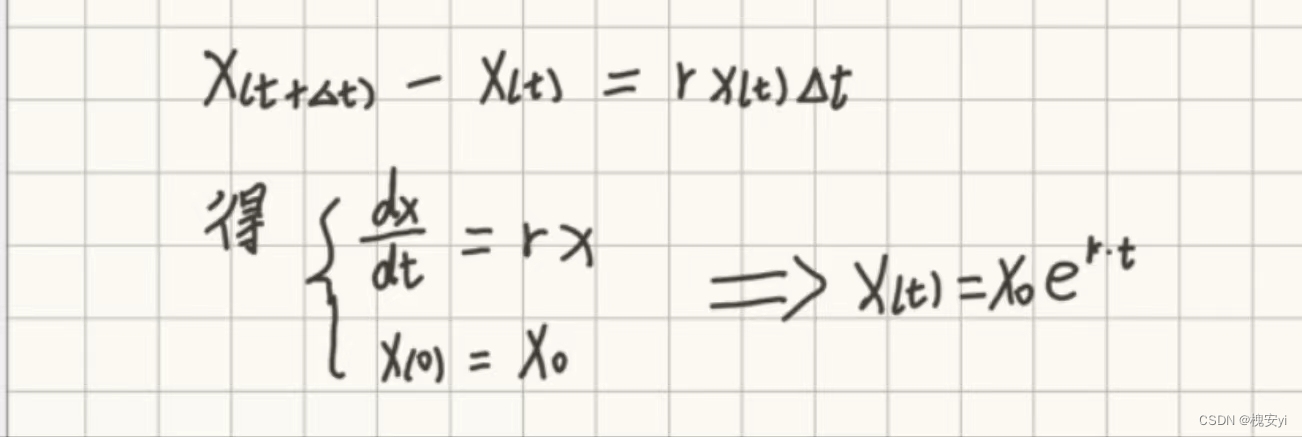
2.1.1 马尔萨斯模型
模型假设:
建模求解:
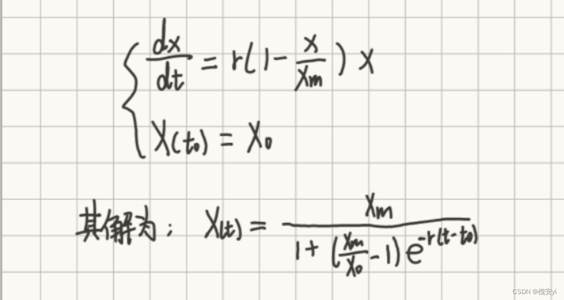
2.1.2阻滞增长(Logistic)模型
模型假设:在马尔萨斯模型基础上,对人口增长率r进行修正
假设单位时间人口增长率为x的减函数,即r(x)=r-sx
假设当前环境和资源最大可能承受的人口数为xm,即x=xm时,增长率r(xm)=0
建模求解:
2.1.3总结
马尔萨斯模型适用于短期,未考虑环境因素。阻滞增长模型适用于中长期,且考虑外界因素。
2.2传染病模型
建立数学模型描述传染病的传播过程、分析传播规律、为预测和控制传染病提供信息和支持。
2.2.1 SI模型
SI模型中包括:
易感染者(S)也就是健康人
已感染者(I)也就是患者
模型假设:不考虑人口迁移和生死,设总人数N,则任意时刻N=S+I
假设单位时间内,易感染者S和已感染者I接触且被传染的强度为
假设N=1000;最开始1人感染,
SI模型未考虑感染者被治愈的情况,最后所有人都变为感染者,不符合实际。
2.2.2 SIS模型
在SI模型的基础上,考虑感染者被治愈的情况,肯会经历:感染、恢复、感染、不断循环。
假定:总人口N,单位时间内感染人数为
建模求解:
假设N=1000;开始有1人感染;

SIS模型考虑了病人被治愈的情况,未考虑被治愈的病人产生抗体,不会再次感染,即不参与循环的情况。
2.2.3 SIR模型
SIR模型中包括:
易感染者(S)也就是健康人
已感染者(I)也就是患者
已痊愈含抗体(R)未来不会被感染(不参与循环)
假定:总人口N;

模型求解:
假设总人数1000;开始1人感染;

2.2.4 SIRS模型
康复者R可能会以
假定:总人口N不变;总人口N,单位时间内感染人数为

建模求解:
总人数1000; 


2.2.5 SEIR模型
引入潜伏者(E),即潜伏期人群
假定:总人口N;


建模求解:
总人数取1000,开始有1人感染, 


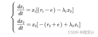
2.3捕食者猎物模型——地中海鲨鱼问题
设定: 考虑人工捕获,食饵(即猎物)和捕食者在时刻 t 的数量分别记作 x1(t)和 x2(t) ,λ为捕食者捕食能力,e为人工捕食强度,r1为食饵的自然增长率,r2为捕食者的死亡率,有:
建模求解:
取x1(0)=25,x2(0)=2,战前e=0.3,战后e=0.1,r1=1,r2=0.02,λ1=0.1,λ2=0.02
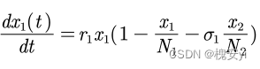
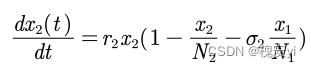
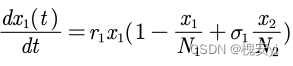
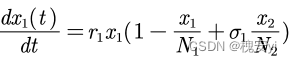
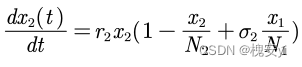
2.4种群相互竞争模型(扩展应用到品牌竞争等)
就单个种群而言,常用阻滞增长模型描述数量变化:r是增长率,N是环境容纳量
若甲乙种群为竞争关系,我们需要考虑甲乙两个种群的相互影响,我们需要对“()”内部分进行修正:



2.5种群相互依存模型(国家相互贸易)
设定:


两个种群的相互依存情况有三种形式:
(1)甲可以独自生存,乙不能(或者反过来)
(2)甲乙均可以独自生存
(3)甲乙均不可以独自生存
(1)甲可以独自生存,乙不能
甲可以独自生存,且乙对甲有助长作用,r1为固有增长率,所以甲:
乙不能独自存活,假设他固有死亡率为r2,甲对乙有助长作用,所以乙:
(2)甲乙均可独自生存
r1、r2均为固有增长率
(3)甲乙均不能独自生存
r1、r2均为固有死亡率
3微分方程求解
3.1微分方程的解析解
dsolve('方程1','方程2',...,'方程n','初始条件','自变量')
注:1)单双引号均可
2)字母D表示微分,D2表示二阶微分,D3表示三阶微分,后面跟要求解的因变量(Dy)
3)自变量可以指定,不写默认为t
4)方程中乘号“*”不能省略
5) 初始值可以不给,这样求出来是通解
6)若微分方程较为复杂,可能得不到解析解,只能求数值解
eg:1)
dsolve('y-Dy=2*x','x')
2)
dsolve('y-Dy=2*x','y(0)=3','x')
3)
dsolve('D2y+4*y*Dy+29*y','y(0)=0,Dy(0)=15','x')
4)
[x y z] = dsolve('Dx=2*x-3*y+3*z+t','Dy=4*x-5*y+3*z+t','Dz=4*x-4*y+2*z+t','t')
3.2微分方程数值解
[x,y]=solver('f',xs,y0,options)
注:1)x表示自变量
2)y表示函数值
3)代表求解函数,常用:ode45、ode45s。ode45s函数图像存在突变
4)xs=[x0,xf]代表自变量的初值和终值,也可以指定一个向量
5)y0表示函数初始值
6)options(可选):options=odeset(‘reltol’,’rt’,’abstol’,at),rt,at分别为设定的相对误差,默认为10e-3,10e-6
7)f表示由待解微分方程编写的m函数文件名,可以写成@f
8)x,y只是变量名,可以自己取名
9)使用matlab求解数值解,高阶微分方程必须转化为一阶
一阶微分方程数值解:1)化为标准型;2)带入函数
eg:1)
1)化为标准型:
2)带入函数:
i)建立m文件,编辑f函数
function dy = f(x,y) % dy是标准化后左边的式子,x是式子右边的自变量,y是因变量 dy = y - 2*x; end
ii)新建m文件,计算
[x y] = ode45('f',[0,2],3); %x是自变量,y是因变量 figure(1) plot(x,y,'*-') axis([0 2 -inf inf]) grid on
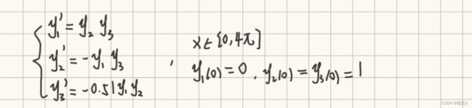
2)方程组:
1)题目已经化为标准型
2)带入函数
i)编辑f函数
function dy = f(x,y) % dy是标准化后左边的式子,x是式子右边的自变量,y是因变量 dy = zeros(3,1); dy(1) = y(2)*y(3); dy(2) = -y(1)*y(3); dy(3) = -0.51*y(1)*y(2); end
ii)新建m文件,计算
[x, y] = ode45('f', [0 4*pi], [0 1 1]); % 这里的y是一个有3列的矩阵哦!x是自变量,y是因变量 plot(x, y(:,1), 'o', x, y(:,2), '*', x, y(:,3), '+') legend('y1','y2','y3') % 加上标注 axis([0, 4*pi, -inf, +inf]) % 设置横坐标范围为0-4pi,纵坐标范围不需要设置,写成-inf到+inf
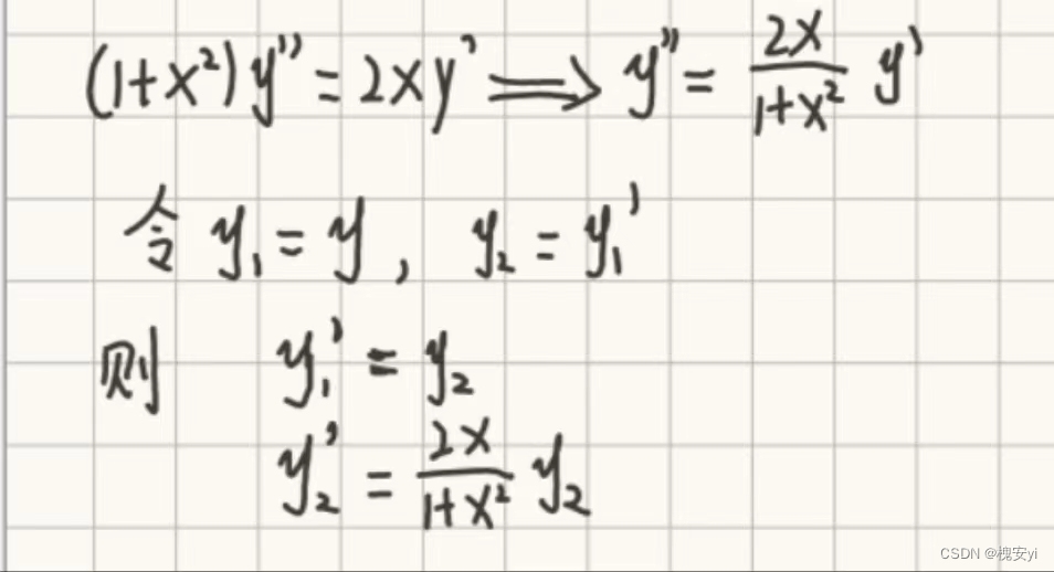
高阶微分方程数值解:1)标准化,高阶转化为一阶;2)按一阶求解
eg:
1)标准化
2)带入函数
i)f函数
function dy=f(x,y) dy=zeros(2,1); dy(1)=y(2); dy(2)=(2*x)/(1+x*x)*y(2); end
ii)计算
[x,y]=ode45('f',[-2,2],[3,4])
免责声明:本站所有文章内容,图片,视频等均是来源于用户投稿和互联网及文摘转载整编而成,不代表本站观点,不承担相关法律责任。其著作权各归其原作者或其出版社所有。如发现本站有涉嫌抄袭侵权/违法违规的内容,侵犯到您的权益,请在线联系站长,一经查实,本站将立刻删除。 本文来自网络,若有侵权,请联系删除,如若转载,请注明出处:https://haidsoft.com/123138.html




























