大家好,欢迎来到IT知识分享网。
在一元函数中,我们已经知道导数就是函数的变化率。对于二元函数我们同样要研究它的“变化率”。
在xOy平面内,当动点由P(x0,y0)沿不同方向变化时,函数f(x,y)的变化快慢一般说来是不同的,因此就需要研究f(x,y)在(x0,y0)点处沿不同方向的变化率。
在这里我们只学习函数f(x,y)沿着平行于x轴和平行于y轴两个特殊方位变动时,f(x,y)的变化率。
偏导数的表示符号为:∂,全导数符号d的变体。
偏导数反映的是函数沿坐标轴正方向的变化率。
三维空间的函数
曲面
三维空间的函数可以用 z = f(x, y)表示,如果把f(x, y)中的两个变量图像化,将得到空间的某个曲面(三维空间的图像很难在纸上画出来,画图的工作还是交给计算机好了):
f(x, y) = -y
f(x,y) = 1 – (x2 + y2)
等高线
平面直角坐标系中,通过(x, y)可以定位任意位置,在此基础上,可以借助等高线描述第三个维度。
实际上我们对等高线并不陌生:
如果你在爬山,沿着等高线会从山的一点走到另一点,行走过程中海拔不变,这相当于把高度映射到了平面上:
实际上第三个维度也可以用颜色表示,比如常见的气温图:
两个不同颜色之间其实就是一个函数的等高线,把颜色换成线条就变成了地理上学过的等温线:给定经纬度,输出温度,即z = f(x, y)
偏导数
什么是偏导数
现在有下图的等高线:
很容易得出下面的结论:
当 x增大时,z增大,x减小,z减小;当 y增大时,z增大,y减小,z减小。如果试图分析f的变化速度,就需要用到导数,只不过这次是对含有两个变量的函数求导,也就是所谓的求偏导。
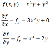
偏导中的“偏”,指仅对其中一个变量求导,而不管另外的变量(偏导是partial derivatives,partial翻译成“部分”也许更好理解),因此,一个多变量的函数没有通常的导数,它只有关于每个变量的偏导数。与单变量函数的导数相似,偏导数的公式:
上面就是求f(x, y)在x0和y0处的偏导。以第一个式子为例,在这里,并没有改变y的值,仅仅改变x,然后观察函数的变化率。
偏导数的几何意义
偏导数表示固定面上一点的切线斜率。
在z = f(x,y)中,如果保持y不变,那么f将依赖于x的变化,这将得到一个和xz平行的平面p,p与f(x, y)平面切面的交线就是曲线f(x, y0),偏导数f’x(x0,y0)就是交线上一点对x轴的切线的斜率,当然它也只能对x轴,此时的切线和y轴没什么关系。如果保持x不变,就是y的偏导,偏导数f’y(x0,y0)就是交线上一点对y轴的切线的斜率。
偏导数的计算
偏导的计算和单变量导数类似,只是把其中一个变量看成常量。
两个偏导分别将y和x看作常数。
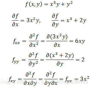
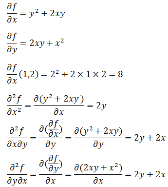
二阶偏导
二阶偏导就是求偏导的偏导,过程和求偏导类似,将另一个变量看作常数:
对x的偏导表示在x方向的斜率,对x的二阶偏导就是斜率的变化率,也就是斜率的变化率快慢,这同单变量函数的二阶导数类似。
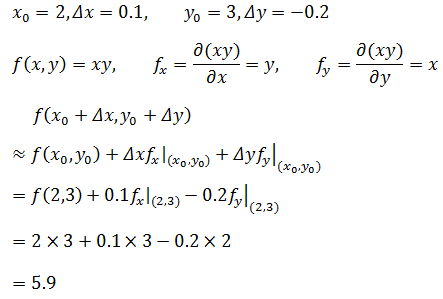
近似
在单变量函数中,假设一般函数上存在点(x0, f(x0)),当x接近基点x0时,可以使用函数在x0点的切线作为函数的近似线。函数f(x)≈f(x0)+f'(x0)(x- x0)即称为函数f在x0点的线性近似或切线近似。在多变量函数中也同样有近似的概念。关于近似的更多内容,可参考《数学笔记6——线性近似和二阶近似》
对于函数f(x, y):
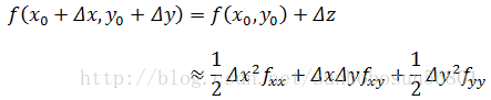
偏导表示变化率,对于x的偏导,函数变化程度是fx,对于y的偏导,函数变化程度是fy,如果同时改变x和y两个变量,变化程度就是两个效果的累加。如果x和y同时变化了Δx和Δy,那么z = f(x, y)的值将会改变Δz:
z在f(x0,y0)附近的近似:
这就是将两个变量同时加以扰动,从而对函数造成影响。
上面的公式在fx和fy都是0的情况下就变成了f(x0+ Δ, y0 + Δy) ≈f(x0, y0),这看起来不怎么好,此时就需要用到二阶偏导:
z在f(x0,y0)附近的近似:
示例
示例1
为z = x2和z = (x2 + y2)1/2两条曲线构图。
示例2
示例3
矩形的长和宽分别是x和y,当x = 2.1,y = 2.8时计算矩形的面积。
可以很容易计算出确切的数值:
下面尝试用偏导的近似去计算:
作者:我是8位的
出处:http://www.cnblogs.com/bigmonkey
本文以学习、研究和分享为主,如需转载,请联系本人,标明作者和出处,非商业用途!
免责声明:本站所有文章内容,图片,视频等均是来源于用户投稿和互联网及文摘转载整编而成,不代表本站观点,不承担相关法律责任。其著作权各归其原作者或其出版社所有。如发现本站有涉嫌抄袭侵权/违法违规的内容,侵犯到您的权益,请在线联系站长,一经查实,本站将立刻删除。 本文来自网络,若有侵权,请联系删除,如若转载,请注明出处:https://haidsoft.com/127982.html





















