大家好,欢迎来到IT知识分享网。
一、常用颜色空间
1、RGB:red(红色)、green(绿色)、blue(蓝色)
2、HSL:hue(色相)、saturation(饱和度)、lightness(亮度)
3、HSV:hue、saturation、value(色调)
色相指的是色彩的外相,是在不同波长的光照射下,人眼所感觉不同的颜色,如红色、黄色、蓝色等。
饱和度是指色彩的鲜艳程度,也称色彩的纯度。饱和度取决于该色中含色成分和消色成分(灰色)的比例。含色成分越大,饱和度越大;消色成分越大,饱和度越小。纯的颜色都是高度饱和的,如鲜红,鲜绿。混杂上白色,灰色或其他色调的颜色,是不饱和的颜色,如绛紫,粉红,黄褐等。
亮度是指发光体(反光体)表面发光(反光)强弱的物理量。
色调指的是一幅画中画面色彩的总体倾向,是大的色彩效果。
二、不同颜色空间之间的转换
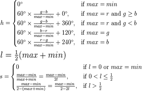
1、从 RGB到HSL转换
设(r,g,b)分别是图像任意点的RGB三通道像素值,介于0到255之间的整数。令max和min分别为图像r,g和b三通道像素平均平均值的最大值和最小值。那么该图像对应的HSL颜色空间的值(h,s,l),其中h∈ [0, 360)是角度的色相角,s,l∈ [0,1] 是饱和度和亮度,计算为:
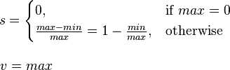
2、从RGB到HSV的转换
HSL和HSV有同样的色相定义,但是其他分量不同。HSV 颜色的s和v的值定义如下:
三、show me the code
using System; using System.Drawing; using System.Drawing.Imaging; using System.Text; // /* Author: Guillaume Leparmentier * From: http://www.codeproject.com/KB/recipes/colorspace1.aspx // namespace MyDemo.ColorSpace { /// <summary> /// Provides methods to convert from a color space to an other. /// </summary> public sealed class ColorSpaceHelper { private ColorSpaceHelper() { } #region Color processing /// <summary> /// Gets the "distance" between two colors. /// RGB colors must be normalized (eg. values in [0.0, 1.0]). /// </summary> /// <param name="r1">First color red component.</param> /// <param name="g1">First color green component.</param> /// <param name="b1">First color blue component.</param> /// <param name="r2">Second color red component.</param> /// <param name="g2">Second color green component.</param> /// <param name="b2">Second color blue component.</param> public static double GetColorDistance(double r1, double g1, double b1, double r2, double g2, double b2) { double a = r2 - r1; double b = g2 - g1; double c = b2 - b1; return Math.Sqrt(a * a + b * b + c * c); } /// <summary> /// Gets the "distance" between two colors. /// RGB colors must be normalized (eg. values in [0.0, 1.0]). /// </summary> /// <param name="color1">First color [r,g,b]</param> /// <param name="color2">Second color [r,g,b]</param> public static double GetColorDistance(double[] color1, double[] color2) { return GetColorDistance(color1[0], color1[1], color1[2], color2[0], color2[1], color2[2]); } /// <summary> /// Gets the "distance" between two colors. /// </summary> /// <param name="c1">First color.</param> /// <param name="c2">Second color.</param> public static double GetColorDistance(Color c1, Color c2) { double[] rgb1 = new double[]{ (double)c1.R/255.0, (double)c1.G/255.0, (double)c1.B/255.0 }; double[] rgb2 = new double[]{ (double)c2.R/255.0, (double)c2.G/255.0, (double)c2.B/255.0 }; return GetColorDistance(rgb1[0], rgb1[1], rgb1[2], rgb2[0], rgb2[1], rgb2[2]); } #endregion #region Light Spectrum processing /// <summary> /// Gets visible colors (color wheel). /// </summary> /// <param name="alpha"> /// The alpha value used for each colors. /// </param> public static Color[] GetWheelColors(int alpha) { Color temp; int colorCount = 6 * 256; Color[] colors = new Color[colorCount]; for (int i = 0; i < colorCount; i++) { temp = HSBtoColor((int)((double)(i * 255.0) / colorCount), 255, 255); colors[i] = Color.FromArgb(alpha, temp.R, temp.G, temp.B); } return colors; } /// <summary> /// Gets visible spectrum colors. /// </summary> /// <param name="alpha">The alpha value used for each colors.</param> public static Color[] GetSpectrumColors(int alpha) { Color[] colors = new Color[256 * 6]; //for(int i=127; i<256; i++) colors[i-127] = Color.FromArgb(alpha, i, 0, 0); for (int i = 0; i < 256; i++) colors[i] = Color.FromArgb(alpha, 255, i, 0); for (int i = 0; i < 256; i++) colors[i + (256)] = Color.FromArgb(alpha, 255 - i, 255, 0); for (int i = 0; i < 256; i++) colors[i + (256 * 2)] = Color.FromArgb(alpha, 0, 255, i); for (int i = 0; i < 256; i++) colors[i + (256 * 3)] = Color.FromArgb(alpha, 0, 255 - i, 255); for (int i = 0; i < 256; i++) colors[i + (256 * 4)] = Color.FromArgb(alpha, i, 0, 255); for (int i = 0; i < 256; i++) colors[i + (256 * 5)] = Color.FromArgb(alpha, 255, 0, 255 - i); //for(int i=0; i<128; i++) colors[i+(128+256*6)] = Color.FromArgb(alpha, 255-i, 0, 0); return colors; } /// <summary> /// Gets visible spectrum colors. /// </summary> public static Color[] GetSpectrumColors() { return GetSpectrumColors(255); } #endregion #region Hexa convert /// <summary> /// Gets the int equivalent for a hexadecimal value. /// </summary> private static int GetIntFromHex(string strHex) { switch (strHex) { case ("A"): case ("a"): { return 10; } case ("B"): case ("b"): { return 11; } case ("C"): case ("c"): { return 12; } case ("D"): case ("d"): { return 13; } case ("E"): case ("e"): { return 14; } case ("F"): case ("f"): { return 15; } default: { return int.Parse(strHex); } } } /// <summary> /// Converts a Hex color to a .net Color. /// </summary> /// <param name="hexColor">The desired hexadecimal color to convert.</param> public static Color HexToColor(string hexColor) { string r, g, b; if (hexColor != String.Empty) { hexColor = hexColor.Trim(); if (hexColor[0] == '#') hexColor = hexColor.Substring(1, hexColor.Length - 1); r = hexColor.Substring(0, 2); g = hexColor.Substring(2, 2); b = hexColor.Substring(4, 2); r = Convert.ToString(16 * GetIntFromHex(r.Substring(0, 1)) + GetIntFromHex(r.Substring(1, 1))); g = Convert.ToString(16 * GetIntFromHex(g.Substring(0, 1)) + GetIntFromHex(g.Substring(1, 1))); b = Convert.ToString(16 * GetIntFromHex(b.Substring(0, 1)) + GetIntFromHex(b.Substring(1, 1))); return Color.FromArgb(Convert.ToInt32(r), Convert.ToInt32(g), Convert.ToInt32(b)); } return Color.Empty; } /// <summary> /// Converts a RGB color format to an hexadecimal color. /// </summary> /// <param name="r">The Red value.</param> /// <param name="g">The Green value.</param> /// <param name="b">The Blue value.</param> public static string RGBToHex(int r, int g, int b) { return String.Format("#{0:x2}{1:x2}{2:x2}", (int)r, (int)g, (int)b); } /// <summary> /// Converts a RGB color format to an hexadecimal color. /// </summary> /// <param name="c">The color to convert.</param> public static string RGBToHex(Color c) { return RGBToHex(c.R, c.G, c.B); } #endregion #region HSB convert /// <summary> /// Converts HSB to RGB. /// </summary> /// <param name="hsb">The HSB structure to convert.</param> public static RGB HSBtoRGB(HSB hsb) { double r = 0; double g = 0; double b = 0; if (hsb.Saturation == 0) { r = g = b = hsb.Brightness; } else { // the color wheel consists of 6 sectors. Figure out which sector you're in. double sectorPos = hsb.Hue / 60.0; int sectorNumber = (int)(Math.Floor(sectorPos)); // get the fractional part of the sector double fractionalSector = sectorPos - sectorNumber; // calculate values for the three axes of the color. double p = hsb.Brightness * (1.0 - hsb.Saturation); double q = hsb.Brightness * (1.0 - (hsb.Saturation * fractionalSector)); double t = hsb.Brightness * (1.0 - (hsb.Saturation * (1 - fractionalSector))); // assign the fractional colors to r, g, and b based on the sector the angle is in. switch (sectorNumber) { case 0: r = hsb.Brightness; g = t; b = p; break; case 1: r = q; g = hsb.Brightness; b = p; break; case 2: r = p; g = hsb.Brightness; b = t; break; case 3: r = p; g = q; b = hsb.Brightness; break; case 4: r = t; g = p; b = hsb.Brightness; break; case 5: r = hsb.Brightness; g = p; b = q; break; } } return new RGB( Convert.ToInt32(Double.Parse(String.Format("{0:0.00}", r * 255.0))), Convert.ToInt32(Double.Parse(String.Format("{0:0.00}", g * 255.0))), Convert.ToInt32(Double.Parse(String.Format("{0:0.00}", b * 255.0))) ); } /// <summary> /// Converts HSB to RGB. /// </summary> /// <param name="h">Hue value.</param> /// <param name="s">Saturation value.</param> /// <param name="b">Brigthness value.</param> public static RGB HSBtoRGB(double h, double s, double b) { return HSBtoRGB(new HSB(h, s, b)); } /// <summary> /// Converts HSB to Color. /// </summary> /// <param name="hsb">the HSB structure to convert.</param> public static Color HSBtoColor(HSB hsb) { RGB rgb = HSBtoRGB(hsb); return Color.FromArgb(rgb.Red, rgb.Green, rgb.Blue); } /// <summary> /// Converts HSB to a .net Color. /// </summary> /// <param name="h">Hue value (must be between 0 and 360).</param> /// <param name="s">Saturation value (must be between 0 and 1).</param> /// <param name="b">Brightness value (must be between 0 and 1).</param> public static Color HSBtoColor(double h, double s, double b) { return HSBtoColor(new HSB(h, s, b)); } /// <summary> /// Converts HSB to Color. /// </summary> /// <param name="h">Hue value.</param> /// <param name="s">Saturation value.</param> /// <param name="b">Brightness value.</param> public static Color HSBtoColor(int h, int s, int b) { double hue = 0, sat = 0, val = 0; // Scale Hue to be between 0 and 360. Saturation and value scale to be between 0 and 1. if (h > 360 || s > 1 || b > 1) { hue = ((double)h / 255.0 * 360.0) % 360.0; sat = (double)s / 255.0; val = (double)b / 255.0; } return HSBtoColor(new HSB(hue, sat, val)); } /// <summary> /// Converts HSB to HSL. /// </summary> public static HSL HSBtoHSL(double h, double s, double b) { RGB rgb = HSBtoRGB(new HSB(h, s, b)); return RGBtoHSL(rgb.Red, rgb.Green, rgb.Blue); } /// <summary> /// Converts HSB to CMYK. /// </summary> public static CMYK HSBtoCMYK(double h, double s, double b) { RGB rgb = HSBtoRGB(new HSB(h, s, b)); return RGBtoCMYK(rgb.Red, rgb.Green, rgb.Blue); } /// <summary> /// Converts HSB to CMYK. /// </summary> public static YUV HSBtoYUV(double h, double s, double b) { RGB rgb = HSBtoRGB(new HSB(h, s, b)); return RGBtoYUV(rgb.Red, rgb.Green, rgb.Blue); } #endregion #region HSL convert /// <summary> /// Converts HSL to RGB. /// </summary> /// <param name="h">Hue, must be in [0, 360].</param> /// <param name="s">Saturation, must be in [0, 1].</param> /// <param name="l">Luminance, must be in [0, 1].</param> public static RGB HSLtoRGB(double h, double s, double l) { if (s == 0) { // achromatic color (gray scale) return new RGB( Convert.ToInt32(Double.Parse(String.Format("{0:0.00}", l * 255.0))), Convert.ToInt32(Double.Parse(String.Format("{0:0.00}", l * 255.0))), Convert.ToInt32(Double.Parse(String.Format("{0:0.00}", l * 255.0))) ); } else { double q = (l < 0.5) ? (l * (1.0 + s)) : (l + s - (l * s)); double p = (2.0 * l) - q; double Hk = h / 360.0; double[] T = new double[3]; T[0] = Hk + (1.0 / 3.0); // Tr T[1] = Hk; // Tb T[2] = Hk - (1.0 / 3.0); // Tg for (int i = 0; i < 3; i++) { if (T[i] < 0) T[i] += 1.0; if (T[i] > 1) T[i] -= 1.0; if ((T[i] * 6) < 1) { T[i] = p + ((q - p) * 6.0 * T[i]); } else if ((T[i] * 2.0) < 1) //(1.0/6.0)<=T[i] && T[i]<0.5 { T[i] = q; } else if ((T[i] * 3.0) < 2) // 0.5<=T[i] && T[i]<(2.0/3.0) { T[i] = p + (q - p) * ((2.0 / 3.0) - T[i]) * 6.0; } else T[i] = p; } return new RGB( Convert.ToInt32(Double.Parse(String.Format("{0:0.00}", T[0] * 255.0))), Convert.ToInt32(Double.Parse(String.Format("{0:0.00}", T[1] * 255.0))), Convert.ToInt32(Double.Parse(String.Format("{0:0.00}", T[2] * 255.0))) ); } } /// <summary> /// Converts HSL to RGB. /// </summary> /// <param name="hsl">The HSL structure to convert.</param> public static RGB HSLtoRGB(HSL hsl) { return HSLtoRGB(hsl.Hue, hsl.Saturation, hsl.Luminance); } /// <summary> /// Converts HSL to .net Color. /// </summary> /// <param name="h">The HSL structure to convert.</param> /// <param name="s">The HSL structure to convert.</param> /// <param name="l">The HSL structure to convert.</param> /// <returns></returns> public static Color HSLtoColor(double h, double s, double l) { RGB rgb = HSLtoRGB(h, s, l); return Color.FromArgb(rgb.Red, rgb.Green, rgb.Blue); } /// <summary> /// Converts HSL to .net Color. /// </summary> /// <param name="hsl">The HSL structure to convert.</param> public static Color HSLtoColor(HSL hsl) { return HSLtoColor(hsl.Hue, hsl.Saturation, hsl.Luminance); } /// <summary> /// Converts HSL to HSB. /// </summary> public static HSB HSLtoHSB(double h, double s, double l) { RGB rgb = HSLtoRGB(h, s, l); return RGBtoHSB(rgb.Red, rgb.Green, rgb.Blue); } /// <summary> /// Converts HSL to CMYK. /// </summary> public static CMYK HSLtoCMYK(double h, double s, double l) { RGB rgb = HSLtoRGB(h, s, l); return RGBtoCMYK(rgb.Red, rgb.Green, rgb.Blue); } /// <summary> /// Converts HSL to YUV. /// </summary> public static YUV HSLtoYUV(double h, double s, double l) { RGB rgb = HSLtoRGB(h, s, l); return RGBtoYUV(rgb.Red, rgb.Green, rgb.Blue); } #endregion #region RGB convert /// <summary> /// Converts RGB to HSL. /// </summary> /// <param name="red">Red value, must be in [0,255].</param> /// <param name="green">Green value, must be in [0,255].</param> /// <param name="blue">Blue value, must be in [0,255].</param> public static HSL RGBtoHSL(int red, int green, int blue) { double h = 0, s = 0, l = 0; // normalizes red-green-blue values double nRed = (double)red / 255.0; double nGreen = (double)green / 255.0; double nBlue = (double)blue / 255.0; double max = Math.Max(nRed, Math.Max(nGreen, nBlue)); double min = Math.Min(nRed, Math.Min(nGreen, nBlue)); // hue if (max == min) { h = 0; // undefined } else if (max == nRed && nGreen >= nBlue) { h = 60.0 * (nGreen - nBlue) / (max - min); } else if (max == nRed && nGreen < nBlue) { h = 60.0 * (nGreen - nBlue) / (max - min) + 360.0; } else if (max == nGreen) { h = 60.0 * (nBlue - nRed) / (max - min) + 120.0; } else if (max == nBlue) { h = 60.0 * (nRed - nGreen) / (max - min) + 240.0; } // luminance l = (max + min) / 2.0; // saturation if (l == 0 || max == min) { s = 0; } else if (0 < l && l <= 0.5) { s = (max - min) / (max + min); } else if (l > 0.5) { s = (max - min) / (2 - (max + min)); //(max-min > 0)? } return new HSL( Double.Parse(String.Format("{0:0.}", h)), Double.Parse(String.Format("{0:0.}", s)), Double.Parse(String.Format("{0:0.}", l)) ); } /// <summary> /// Converts RGB to HSL. /// </summary> public static HSL RGBtoHSL(RGB rgb) { return RGBtoHSL(rgb.Red, rgb.Green, rgb.Blue); } /// <summary> /// Converts Color to HSL. /// </summary> public static HSL RGBtoHSL(Color c) { return RGBtoHSL(c.R, c.G, c.B); } /// <summary> /// Converts RGB to HSB. /// </summary> public static HSB RGBtoHSB(int red, int green, int blue) { double r = ((double)red / 255.0); double g = ((double)green / 255.0); double b = ((double)blue / 255.0); double max = Math.Max(r, Math.Max(g, b)); double min = Math.Min(r, Math.Min(g, b)); double h = 0.0; if (max == r && g >= b) { if (max - min == 0) h = 0.0; else h = 60 * (g - b) / (max - min); } else if (max == r && g < b) { h = 60 * (g - b) / (max - min) + 360; } else if (max == g) { h = 60 * (b - r) / (max - min) + 120; } else if (max == b) { h = 60 * (r - g) / (max - min) + 240; } double s = (max == 0) ? 0.0 : (1.0 - ((double)min / (double)max)); return new HSB(h, s, (double)max); } /// <summary> /// Converts RGB to HSB. /// </summary> public static HSB RGBtoHSB(RGB rgb) { return RGBtoHSB(rgb.Red, rgb.Green, rgb.Blue); } /// <summary> /// Converts RGB to HSB. /// </summary> public static HSB RGBtoHSB(Color c) { return RGBtoHSB(c.R, c.G, c.B); } /// <summary> /// Converts RGB to CMYK /// </summary> /// <param name="red">Red vaue must be in [0, 255].</param> /// <param name="green">Green vaue must be in [0, 255].</param> /// <param name="blue">Blue vaue must be in [0, 255].</param> public static CMYK RGBtoCMYK(int red, int green, int blue) { double c = (double)(255 - red) / 255; double m = (double)(255 - green) / 255; double y = (double)(255 - blue) / 255; double min = (double)Math.Min(c, Math.Min(m, y)); if (min == 1.0) { return new CMYK(0, 0, 0, 1); } else { return new CMYK((c - min) / (1 - min), (m - min) / (1 - min), (y - min) / (1 - min), min); } } /// <summary> /// Converts RGB to CMYK /// </summary> public static CMYK RGBtoCMYK(Color c) { return RGBtoCMYK(c.R, c.G, c.B); } /// <summary> /// Converts RGB to CMYK /// </summary> public static CMYK RGBtoCMYK(RGB rgb) { return RGBtoCMYK(rgb.Red, rgb.Green, rgb.Blue); } /// <summary> /// Converts RGB to YUV. /// </summary> /// <param name="red">red must be in [0, 255].</param> /// <param name="green">green must be in [0, 255].</param> /// <param name="blue">blue must be in [0, 255].</param> public static YUV RGBtoYUV(int red, int green, int blue) { YUV yuv = new YUV(); // normalizes red/green/blue values double nRed = (double)red / 255.0; double nGreen = (double)green / 255.0; double nBlue = (double)blue / 255.0; // converts yuv.Y = 0.299 * nRed + 0.587 * nGreen + 0.114 * nBlue; yuv.U = -0. * nRed - 0. * nGreen + 0.436 * nBlue; yuv.V = 0.615 * nRed - 0. * nGreen - 0. * nBlue; return yuv; } /// <summary> /// Converts RGB to YUV. /// </summary> public static YUV RGBtoYUV(Color c) { return RGBtoYUV(c.R, c.G, c.B); } /// <summary> /// Converts RGB to YUV. /// </summary> public static YUV RGBtoYUV(RGB rgb) { return RGBtoYUV(rgb.Red, rgb.Green, rgb.Blue); } /// <summary> /// Converts RGB to CIE XYZ (CIE 1931 color space) /// </summary> /// <param name="red">Red must be in [0, 255].</param> /// <param name="green">Green must be in [0, 255].</param> /// <param name="blue">Blue must be in [0, 255].</param> public static CIEXYZ RGBtoXYZ(int red, int green, int blue) { // normalize red, green, blue values double rLinear = (double)red / 255.0; double gLinear = (double)green / 255.0; double bLinear = (double)blue / 255.0; // convert to a sRGB form double r = (rLinear > 0.04045) ? Math.Pow((rLinear + 0.055) / (1 + 0.055), 2.4) : (rLinear / 12.92); double g = (gLinear > 0.04045) ? Math.Pow((gLinear + 0.055) / (1 + 0.055), 2.4) : (gLinear / 12.92); double b = (bLinear > 0.04045) ? Math.Pow((bLinear + 0.055) / (1 + 0.055), 2.1) : (bLinear / 12.92); // converts return new CIEXYZ( (r * 0.4124 + g * 0.3576 + b * 0.1805), (r * 0.2126 + g * 0.7152 + b * 0.0722), (r * 0.0193 + g * 0.1192 + b * 0.9505) ); } /// <summary> /// Converts RGB to CIEXYZ. /// </summary> public static CIEXYZ RGBtoXYZ(RGB rgb) { return RGBtoXYZ(rgb.Red, rgb.Green, rgb.Blue); } /// <summary> /// Converts RGB to CIEXYZ. /// </summary> public static CIEXYZ RGBtoXYZ(Color c) { return RGBtoXYZ(c.R, c.G, c.B); } /// <summary> /// Converts RGB to CIELab. /// </summary> public static CIELab RGBtoLab(int red, int green, int blue) { return XYZtoLab(RGBtoXYZ(red, green, blue)); } /// <summary> /// Converts RGB to CIELab. /// </summary> public static CIELab RGBtoLab(RGB rgb) { return XYZtoLab(RGBtoXYZ(rgb.Red, rgb.Green, rgb.Blue)); } /// <summary> /// Converts RGB to CIELab. /// </summary> public static CIELab RGBtoLab(System.Drawing.Color color) { return XYZtoLab(RGBtoXYZ(color.R, color.G, color.B)); } #endregion #region CMYK convert /// <summary> /// Converts CMYK to RGB. /// </summary> /// <param name="c">Cyan value (must be between 0 and 1).</param> /// <param name="m">Magenta value (must be between 0 and 1).</param> /// <param name="y">Yellow value (must be between 0 and 1).</param> /// <param name="k">Black value (must be between 0 and 1).</param> public static Color CMYKtoColor(float c, float m, float y, float k) { return CMYKtoColor((double)c, (double)m, (double)y, (double)k); } /// <summary> /// Converts CMYK to RGB. /// </summary> /// <param name="c">Cyan value (must be between 0 and 1).</param> /// <param name="m">Magenta value (must be between 0 and 1).</param> /// <param name="y">Yellow value (must be between 0 and 1).</param> /// <param name="k">Black value (must be between 0 and 1).</param> public static Color CMYKtoColor(double c, double m, double y, double k) { return CMYKtoColor(new CMYK(c, m, y, k)); } /// <summary> /// Converts CMYK to RGB. /// </summary> /// <param name="cmyk"></param> public static Color CMYKtoColor(CMYK cmyk) { int red = Convert.ToInt32((1 - cmyk.Cyan) * (1 - cmyk.Black) * 255); int green = Convert.ToInt32((1 - cmyk.Magenta) * (1 - cmyk.Black) * 255); int blue = Convert.ToInt32((1 - cmyk.Yellow) * (1 - cmyk.Black) * 255); return Color.FromArgb(red, green, blue); } /// <summary> /// Converts CMYK to RGB. /// </summary> /// <param name="c">Cyan value (must be between 0 and 1).</param> /// <param name="m">Magenta value (must be between 0 and 1).</param> /// <param name="y">Yellow value (must be between 0 and 1).</param> /// <param name="k">Black value (must be between 0 and 1).</param> public static RGB CMYKtoRGB(double c, double m, double y, double k) { int red = Convert.ToInt32((1.0 - c) * (1.0 - k) * 255.0); int green = Convert.ToInt32((1.0 - m) * (1.0 - k) * 255.0); int blue = Convert.ToInt32((1.0 - y) * (1.0 - k) * 255.0); return new RGB(red, green, blue); } /// <summary> /// Converts CMYK to RGB. /// </summary> /// <param name="cmyk"></param> public static RGB CMYKtoRGB(CMYK cmyk) { return CMYKtoRGB(cmyk.Cyan, cmyk.Magenta, cmyk.Yellow, cmyk.Black); } /// <summary> /// Converts CMYK to HSL. /// </summary> public static HSL CMYKtoHSL(double c, double m, double y, double k) { RGB rgb = CMYKtoRGB(c, m, y, k); return RGBtoHSL(rgb.Red, rgb.Green, rgb.Blue); } /// <summary> /// Converts CMYK to HSB. /// </summary> public static HSB CMYKtoHSB(double c, double m, double y, double k) { RGB rgb = CMYKtoRGB(c, m, y, k); return RGBtoHSB(rgb.Red, rgb.Green, rgb.Blue); } /// <summary> /// Converts CMYK to YUV. /// </summary> public static YUV CMYKtoYUV(double c, double m, double y, double k) { RGB rgb = CMYKtoRGB(c, m, y, k); return RGBtoYUV(rgb.Red, rgb.Green, rgb.Blue); } #endregion #region YUV convert /// <summary> /// Converts YUV to RGB. /// </summary> /// <param name="y">Y must be in [0, 1].</param> /// <param name="u">U must be in [-0.436, +0.436].</param> /// <param name="v">V must be in [-0.615, +0.615].</param> public static RGB YUVtoRGB(double y, double u, double v) { RGB rgb = new RGB(); rgb.Red = Convert.ToInt32((y + 1. * v) * 255); rgb.Green = Convert.ToInt32((y - 0. * u - 0. * v) * 255); rgb.Blue = Convert.ToInt32((y + 2.0 * u) * 255); return rgb; } /// <summary> /// Converts YUV to RGB. /// </summary> public static RGB YUVtoRGB(YUV yuv) { return YUVtoRGB(yuv.Y, yuv.U, yuv.V); } /// <summary> /// Converts YUV to a .net Color. /// </summary> /// <param name="y">Y must be in [0, 1].</param> /// <param name="u">U must be in [-0.436, +0.436].</param> /// <param name="v">V must be in [-0.615, +0.615].</param> public static Color YUVtoColor(double y, double u, double v) { RGB rgb = YUVtoRGB(y, u, v); return Color.FromArgb(rgb.Red, rgb.Green, rgb.Blue); } /// <summary> /// Converts YUV to a .net Color. /// </summary> public static Color YUVtoColor(YUV yuv) { RGB rgb = YUVtoRGB(yuv); return Color.FromArgb(rgb.Red, rgb.Green, rgb.Blue); } /// <summary> /// Converts YUV to HSL. /// </summary> /// <param name="y">Y must be in [0, 1].</param> /// <param name="u">U must be in [-0.436, +0.436].</param> /// <param name="v">V must be in [-0.615, +0.615].</param> public static HSL YUVtoHSL(double y, double u, double v) { RGB rgb = YUVtoRGB(y, u, v); return RGBtoHSL(rgb.Red, rgb.Green, rgb.Blue); } /// <summary> /// Converts YUV to HSB. /// </summary> /// <param name="y">Y must be in [0, 1].</param> /// <param name="u">U must be in [-0.436, +0.436].</param> /// <param name="v">V must be in [-0.615, +0.615].</param> public static HSB YUVtoHSB(double y, double u, double v) { RGB rgb = YUVtoRGB(y, u, v); return RGBtoHSB(rgb.Red, rgb.Green, rgb.Blue); } /// <summary> /// Converts YUV to CMYK. /// </summary> /// <param name="y">Y must be in [0, 1].</param> /// <param name="u">U must be in [-0.436, +0.436].</param> /// <param name="v">V must be in [-0.615, +0.615].</param> public static CMYK YUVtoCMYK(double y, double u, double v) { RGB rgb = YUVtoRGB(y, u, v); return RGBtoCMYK(rgb.Red, rgb.Green, rgb.Blue); } #endregion #region CIE XYZ convert /// <summary> /// Converts CIEXYZ to RGB structure. /// </summary> public static RGB XYZtoRGB(double x, double y, double z) { double[] Clinear = new double[3]; Clinear[0] = +x * 3.2410 - y * 1.5374 - z * 0.4986; // red Clinear[1] = -x * 0.9692 + y * 1.8760 + z * 0.0416; // green Clinear[2] = +x * 0.0556 - y * 0.2040 + z * 1.0570; // blue for (int i = 0; i < 3; i++) { Clinear[i] = (Clinear[i] <= 0.0031308) ? 12.92 * Clinear[i] : (1 + 0.055) * Math.Pow(Clinear[i], (1.0 / 2.4)) - 0.055; } return new RGB( Convert.ToInt32(Double.Parse(String.Format("{0:0.00}", Clinear[0] * 255.0))), Convert.ToInt32(Double.Parse(String.Format("{0:0.00}", Clinear[1] * 255.0))), Convert.ToInt32(Double.Parse(String.Format("{0:0.00}", Clinear[2] * 255.0))) ); } /// <summary> /// Converts CIEXYZ to RGB structure. /// </summary> public static RGB XYZtoRGB(CIEXYZ xyz) { return XYZtoRGB(xyz.X, xyz.Y, xyz.Z); } /// <summary> /// XYZ to L*a*b* transformation function. /// </summary> /// <param name="t"></param> /// <returns></returns> private static double Fxyz(double t) { return ((t > 0.008856) ? Math.Pow(t, (1.0 / 3.0)) : (7.787 * t + 16.0 / 116.0)); } /// <summary> /// Converts CIEXYZ to CIELab structure. /// </summary> public static CIELab XYZtoLab(double x, double y, double z) { CIELab lab = CIELab.Empty; lab.L = 116.0 * Fxyz(y / CIEXYZ.D65.Y) - 16; lab.A = 500.0 * (Fxyz(x / CIEXYZ.D65.X) - Fxyz(y / CIEXYZ.D65.Y)); lab.B = 200.0 * (Fxyz(y / CIEXYZ.D65.Y) - Fxyz(z / CIEXYZ.D65.Z)); return lab; } /// <summary> /// Converts CIEXYZ to CIELab structure. /// </summary> public static CIELab XYZtoLab(CIEXYZ xyz) { return XYZtoLab(xyz.X, xyz.Y, xyz.Z); } #endregion #region CIE L*a*b* convert /// <summary> /// Converts CIELab to CIEXYZ. /// </summary> public static CIEXYZ LabtoXYZ(double l, double a, double b) { double theta = 6.0 / 29.0; double fy = (l + 16) / 116.0; double fx = fy + (a / 500.0); double fz = fy - (b / 200.0); return new CIEXYZ( (fx > theta) ? CIEXYZ.D65.X * (fx * fx * fx) : (fx - 16.0 / 116.0) * 3 * (theta * theta) * CIEXYZ.D65.X, (fy > theta) ? CIEXYZ.D65.Y * (fy * fy * fy) : (fy - 16.0 / 116.0) * 3 * (theta * theta) * CIEXYZ.D65.Y, (fz > theta) ? CIEXYZ.D65.Z * (fz * fz * fz) : (fz - 16.0 / 116.0) * 3 * (theta * theta) * CIEXYZ.D65.Z ); } /// <summary> /// Converts CIELab to CIEXYZ. /// </summary> public static CIEXYZ LabtoXYZ(CIELab lab) { return LabtoXYZ(lab.L, lab.A, lab.B); } /// <summary> /// Converts CIELab to RGB. /// </summary> public static RGB LabtoRGB(double l, double a, double b) { return XYZtoRGB(LabtoXYZ(l, a, b)); } /// <summary> /// Converts CIELab to RGB. /// </summary> public static RGB LabtoRGB(CIELab lab) { return XYZtoRGB(LabtoXYZ(lab)); } #endregion } }
免责声明:本站所有文章内容,图片,视频等均是来源于用户投稿和互联网及文摘转载整编而成,不代表本站观点,不承担相关法律责任。其著作权各归其原作者或其出版社所有。如发现本站有涉嫌抄袭侵权/违法违规的内容,侵犯到您的权益,请在线联系站长,一经查实,本站将立刻删除。 本文来自网络,若有侵权,请联系删除,如若转载,请注明出处:https://haidsoft.com/128809.html


