大家好,欢迎来到IT知识分享网。
之前你已经了解概率的基础知识(如果还不知道概率能干啥,在生活中有哪些应用的例子,可以看我这个:
首先,你想到的问题肯定是:
1. 什么是概率分布?
2. 概率分布能当饭吃吗?学了对我有啥用?
好了,我们先看下:什么是概率分布?
1. 什么是概率分布?
要明白概率分布,你需要知道先两个东东:
1)数据有哪些类型 2)什么是分布
数据类型(统计学里也叫随机变量)有两种。第1种是离散数据。
离散数据根据名称很好理解,就是数据的取值是不连续的。例如掷硬币就是一个典型的离散数据,因为抛硬币的就2种数值(也就是2种结果,要么是正面,要么是反面)。
你可以把离散数据想象成一块一块垫脚石,你可以从一个数值调到另一个数值,同时每个数值之间都有明确的间隔。

第2种是连续数据。连续数据正好相反,它能取任意的数值。例如时间就是一个典型的连续数据1.25分钟、1.251分钟,1.2512分钟,它能无限分割。连续数据就像一条平滑的、连绵不断的道路,你可以沿着这条道路一直走下去。

什么是分布呢?
数据在统计图中的形状,叫做它的分布。

其实我们生活中也会聊到各种分布。比如下面不同季节男人的目光分布.。


各位老铁,来一波美女,看看你的目光停在哪个分布的地方。

美女也看了,现在该专注学习了吧。现在,我们已经知道了两件事情:
1)数据类型(也叫随机变量)有2种:离散数据类型(例如抛硬币的结果),连续数据类型(例如时间) 2)分布:数据在统计图中的形状
现在我们来看看什么是概率。概率分布就是将上面两个东东(数据类型+分布)组合起来的一种表现手段:
概率分布就是在统计图中表示概率,横轴是数据的值,纵轴是横轴上对应数据值的概率。

很显然的,根据数据类型的不同,概率分布分为两种:离散概率分布,连续概率分布。
那么,问题就来了。为什么你要关心数据类型呢?
因为数据类型会影响求概率的方法。
对于离散概率分布,我们关心的是取得一个特定数值的概率。例如抛硬币正面向上的概率为:p(x=正面)=1/2
而对于连续概率分布来说,我们无法给出每一个数值的概率,因为我们不可能列举每一个精确数值。
例如,你在咖啡馆约妹子出来,你提前到了。为了给妹子留下好印象,你估计妹子会在5分钟之内出现,有可能是在4分钟10秒以后出现,或者在4分钟10.5秒以后出现,你不可能数清楚所有的可能时间,你更关心的是在妹子出现前的1-5分钟内(范围),你把发型重新整理下(虽然你因为加班头发 已经秃顶了,但是发型不能乱),给妹子留个好印象。所以,对于像时间这样的连续型数据,你更关心的是一个特定范围的概率是多少。

2. 概率分布能当饭吃吗?学了对我有啥用?
当统计学家们开始研究概率分布时,他们看到,有几种形状反复出现,于是就研究他们的规律,根据这些规律来解决特定条件下的问题。


想起,当年为了备战高考,我是准备了一个自己的“万能模板”,任何作文题目过来,我都可以套用该模板,快速解决作文这个难题。当你,我高考的作文分数还是不错的。(我聪明吧)
同样的,记住概率里这些特殊分布的好处就是:
下次遇到类似的问题,你就可以直接套用“模板”(这些特殊分布的规律)来解决问题了。
酷不酷?爽不爽?
接下里,我们一起来聊聊常见的4种概率分布。
1)3种离散概率分布
二项分布 泊松分布 几何何分布
2)1种连续概率分布
正态分布
在开始介绍之前,你先回顾下这两个知识:
期望:概率的平均值 标准差:衡量数据的波动大小。
第1种:二项分布
我们从下面3个问题开聊:
1. 二项分布有啥用? 2. 如何判断是不是二项分布? 3. 二项分布如何计算概率?
1. 二项分布有啥用呢?
当你遇到一个事情,如果该事情发生次数固定,而你感兴趣的是成功的次数,那么就可以用二项分布的公式快速计算出概率来。
例如你按我之前的《投资赚钱与概率》买了这5家公司的股票(谷歌,Facebook,苹果,阿里巴巴,腾讯),为了保底和计算投入进去多少钱,你想知道只要其中3个股票帮你赚到钱(成功的次数)的概率多大,那么这时候就可以用二项分布计算出来。
牛掰吧?

2. 如何判断是不是二项分布?
首先,为啥叫二项,不叫三项,或者二愣子呢?故明思义,二项代表事件有2种可能的结果,把一种称为成功,另外一种称为失败。
生活中有很多这样2种结果的二项情况,例如你表白是二项的,一种成功(恭喜你表白成功,可以恋爱了,兴奋吧?),一种是失败(被拒绝了,伤不伤心?)。你向老板提出加薪的要求,结果也有两种(二项)。一种是成功(加薪成功,老板我爱你),一种是失败(麻蛋,不给涨薪老子不干了,像是这种有统计概率思维的人,是很稀缺的,明天就投简历出去)
那么,什么是二项分布呢?只要符合下面3个特点就可以判断某事件是二项分布了:
1)做某件事的次数(也叫试验次数)是固定的,用n表示。
(例如抛硬币3次,投资5支股票),
2)每一次事件都有两个可能的结果(成功,或者失败)
(例如每一次抛硬币有2个结果:正面表示成功,反面表示失败。
每一次投资美股有2个结果:投资成功,投资失败)。
3)每一次成功的概率都是相等的,成功的概率用p表示
(例如每一次抛硬币正面朝上的概率都是1/2。
你投资了5家公司的股票,假设每一家投资盈利成功的概率都相同)
4)你感兴趣的是成功x次的概率是多少。那么就可以用二项分布的公式快速计算出来了。
(你已经知道了我前面讲的5家美股的赚钱概率最大,所以你买了这5家公司的股票,假设投资的这5家公司成功的概率都相同,那么你关心其中只要有3个投资成功,你就可以赚翻了,所以想知道成功3次的概率)
根据这4个特点,我们就知道抛硬币是一个典型的二项分布,还有你投资的这5支股票也是一个典型的二项分布(在假设每家公司投资成功的前提下)。
3. 二项分布如何计算概率?
怎么计算符合二项分布事件的概率呢?也就是你想知道下面的问题:
你抛硬币3次,2次正面朝上的概率是多少? 你买了这5家公司的股票,3支股票赚钱的概率是多大?
上面我们已经知道了二项分布的4个特点,并知道每个特点的表示方法:
1)做某件事次数是固定的,用n表示
2)每一次事件都有两个可能的结果(成功,或者失败)
3)每一次成功的概率都是相等的,成功的概率用p表示
4)你感兴趣的是成功x次的概率是多少
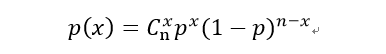
这时候,二项分布的公式就可以发挥威力了:

这里你也别害怕数学公式,每一项的含义我前面已经讲的很清楚了。这个公式就是计算做某件事情n次,成功x次的概率的。很多数据分析工具(Excel,Python,R)都提供工具让你带入你研究问题的数值,就能得到结果。
例如,抛硬币5次(n),恰巧有3次正面朝上(x=3,抛硬币正面朝上概率p=1/2),可以用上面的公式计算出出概率为31.25%(用Excel的BINOM.DIST函数,Python,R都可以快速计算)
二项分布经常要计算的概率还有这样一种情况:
抛硬币5次,硬币至少有3次正面朝上(即x>=3)的概率是多少?
你能直接想到的简单方法是:将恰巧有3次,恰巧有4次,恰巧有5次的概率相加,结果便是至少3次,为50%。
但是如果次数很多,这样的办法简直是给自己挖了一个大大的坑。
我们用逆向思维换个思路,至少3次正面朝上的反向思考是什么呢?

反向思路就是最多2次正面朝上。只要我们先计算出最多2次正面朝上的概率p(x<=2),那么至少3次正面朝上的概率就是1-p(x<=2)。
这样用逆向思维,就把一个复杂的问题,化解为简单的问题。因为求做多2次朝上的概率比较简单:
p(x<=2)=p(0)+p(1)+p(2)
最好提下二项分布的:
期望E(x)=np (表示某事情发生n次,预期成功多少次。)

知道这个期望有啥用呢?
做任何事情之前,知道预期结果肯定对你后面的决策有帮助。比如你抛硬币5次,每次概率是1/2,那么期望E(x)=5*1/2=2.5次,也就是有大约3次你可以抛出正面。
在比如你之前投资的那5支股票,假设每支股票帮你赚到钱的概率是80%,那么期望E(x)=5*80%=4,也就是预期会有4只股票投资成功帮你赚到钱。
第2种:几何分布
其实我一直把几何分布,叫做二项分布的孪生兄弟,因为他两太像了。只有1点不同,就像海尔兄弟只有内裤不同一样。

我们还是从下面这个套路聊起来一起找出这个不同的“劲爆点”:
1 . 几何分布有啥用? 2. 如何判断是不是几何分布? 3. 几何分布如何计算概率?
1.几何分布有啥用?
如果你需要知道尝试多次能取得第一次成功的概率,则需要几何分布。
2. 如何判断是不是几何分布?
只要符合下面4个特点就可以判别你做的事情是就是几何分布了:
1)做某事件次数(也叫试验次数)是固定的,用n表示
(例如抛硬币3次,表白5次),
2)每一次事件都有两个可能的结果(成功,或者失败)
(例如每一次抛硬币有2个结果:正面表示成功,反面表示失败。
每一次表白有2个结果:表白成功,表白失败)。
3)每一次“成功”的概率都是相等的,成功的概率用p表示
(例如每一次抛硬币正面朝上的概率都是1/2。
假设你是初出茅庐的小伙子,还不是老油条,所以你表白每一次成功的概率是一样的)
4)你感兴趣的是,进行x次尝试这个事情,取得第1次成功的概率是多大。
(例如你在玩抛硬币的游戏,想知道抛5次硬币,只有第5次(就是滴1次成功)正面朝上的概率是多大。
你表白你的暗恋对象,你希望知道要表白3次,心仪对象答应和你手牵手的概率多大。)
正如你上面看到的,几何分布和二项分布只有第4点,也就是解决问题目的不同。这个点够不够劲爆?(嘻嘻)

3. 几何分布如何计算概率?
用下面公式就可以了:

p为成功概率,即为了在第x次尝试取得第1次成功,首先你要失败(x-1)次。
假如在表白之前,你计算出即使你尝试表白3次,在最后1次成功的概率还是小于50%,还没有抛硬币的概率高。那你就要考虑换个追求对象。或者首先提升下自己,提高自己每一次表白的概率,比如别让自己的鼻毛长出来。我之前读书的一个师兄,每天鼻毛长出来,看的我都恶心,何况其他人呢。
几何分布的期望是E(x)=1/p。代表什么意思呢?
假如你每次表白的成功概率是60%,同时你也符合几何分布的特点,所以期望E(x)=1/p=1/0.6=1.67
所以你可以期望自己表白1.67次(约等于2次)会成功。这样的期望让你信息倍增,起码你不需要努力上100次才能成功,2次还是能做到的,有必要尝试下。

几何分布的标准差:

第3种泊松分布
还是同样的味道,还是同样的讨论,我们一起通过下面3个问题了解这个泊松分布。
1. 泊松分布有啥用? 2. 如何判断是不是泊松分布? 3. 泊松分布如何计算概率?
1. 泊松分布有啥用?
如果你想知道某个时间范围内,发生某件事情x次的概率是多大。这时候就可以用泊松分布轻松搞定。比如一天内中奖的次数,一个月内某机器损坏的次数等。
知道这些事情的概率有啥用呢?
当然是根据概率的大小来做出决策了。比如你搞了个抽奖活动,最后算出来一天内中奖10次的概率都超过了90%,然后你顺便算了下期望,再和你的活动成本比一下,发现要赔不少钱。那这个活动就别搞了。
泊松分布的形状会随着平均值的不同而有所变化,无论是一周内多少人能赢得彩票,还是每分钟有多少人会打电话到呼叫中心,泊松分布都可以告诉我们它们的概率。



2. 什么是泊松分布?
符合以下3个特点就是泊松分布:
1)事件是独立事件
(之前如果你看过我的《投资赚钱与概率》已经知道赌徒谬论了,所以类似抽奖这样的就是独立事件)
2)在任意相同的时间范围内,事件发的概率相同
(例如1天内中奖概率,与第2天内中间概率相同)
3)你想知道某个时间范围内,发生某件事情x次的概率是多大
(例如你搞了个促销抽奖活动,想知道一天内10人中奖的概率)

用x代表事情发的次数(例如中奖10个人中奖),u代表给定时间范围内事情发生的平均次数(例如你搞的抽奖活动1天平均中奖人数是5人),概率计算公式为:

可别被上面的公式吓到,数学公式就是纸老虎,现在有很多工具(Excel,Python,R)都可以直接计算出来这个概率,所以也别记住这个公式,用的时候知道泊松分布适合啥时候用就妥了。
例如你搞了个促销抽奖活动,只知道1天内中奖的平均个数为5个,你想知道1天内恰巧中奖次数为7的概率是多少?
此时x=7,u=5(区间内发生的平均次数),代入公式求出概率为10.44%。Excel中的函数为POISSON.DIST就可以立马算出来。
泊松概率还有一个重要性质,它的数学期望和方差相等,都等于u

1. 什么是概率分布?
概率分布就是在统计图中表示概率,横轴是数据的值,纵轴是横轴上对应数据值的概率。
2. 概率分布能当饭吃吗?学了对我有啥用?
下次遇到类似的问题,你就可以直接套用“模板”(这些特殊分布的规律)来求得概率了。
3.特殊的概率分布有哪些?
3种离散概率分布,分别代表了解决3种问题的“万能模板”
二项分布(Binomial distribution)
符合以下4个特点的就是二项分布
1)做某件事的次数是固定的。
2)每一次事件都有两个可能的结果(成功,或者失败)
3)每一次成功的概率都是相等的
4)你感兴趣的是成功x次的概率是多少
案例:
抛5次硬币,有2次正面朝上的概率是多少
你买了之前我介绍你的5家公司的股票,假设投资的这5家公司成功的概率都相同,那么你关心其中只要有3个投资成功,你就可以赚翻了,所以想知道成功3次的概率多大。
几何何分布(Geometric distribution)
只要符合下面4个特点就可以判别你做的事情是就是几何分布了:
1)做某事件次数(也叫试验次数)是固定
2)每一次事件都有两个可能的结果
3)每一次“成功”的概率都是相等的,成功的概率用p表示
4)你感兴趣的是,进行x次尝试这个事情,取得第1次成功的概率是多大。
案例:例如你在玩抛硬币的游戏,想知道抛5次硬币,只有第5次(就是滴1次成功)正面朝上的概率是多大。
表白3次,第3次成功的概率多大
泊松分布(poisson distribution)
符合以下3个特点就是泊松分布:
1)事件是独立事件
2)在任意相同的时间范围内,事件发的概率相同
3)你想知道某个时间范围内,发生某件事情x次的概率是多大
案例:例如你搞了个促销抽奖活动,想知道一天内10人中奖的概率
例如你是公司质检管理员,想知道一个月内某机器损坏的10次(假如超过10次一句认为不合格)的概率是多少。
1种连续概率分布:正态分布(Normal distribution)
这个分布在生活中太有用了,给我一种相见恨晚的“劲爆感”,留着下次聊。
我是猴子,中科院硕士/前IBM高级软件工程师/豆瓣8分《数据分析思维》作者,我和知乎知学堂研职在线出品的「数据分析训练营」即将开课,3天带你掌握数据分析实用技巧,包含课程+实战带练,工作提效、升职加薪必备神器!
报名还有独家Excel自学资料领取,点击下方小程序开启数据分析升职加薪密码:
往
期
回
顾
⬇️点击「阅读原文」
免费报名 数据分析训练营
免责声明:本站所有文章内容,图片,视频等均是来源于用户投稿和互联网及文摘转载整编而成,不代表本站观点,不承担相关法律责任。其著作权各归其原作者或其出版社所有。如发现本站有涉嫌抄袭侵权/违法违规的内容,侵犯到您的权益,请在线联系站长,一经查实,本站将立刻删除。 本文来自网络,若有侵权,请联系删除,如若转载,请注明出处:https://haidsoft.com/138991.html

