大家好,欢迎来到IT知识分享网。
加速寿命试验
1.是指在保持失效机理不变的条件下,把样品放在比通常情况严酷得多的条件下进行试验,以加速样品失效的一种寿命试验方法。
2.其目的在于对于高可靠性产品而言,寿命试验时间很长,为了便于快速评价产品的寿命和可靠性,采用加大应力(如热应力、电应力、机械应力等)而又不改变失效机理的办法,使产品的故障加速暴露,再根据加速寿命试验结果,可以推测出正常使用状态或降额使用状态下的产品寿命。
加速寿命试验的基本前提
1.失效机理的一致性:失效机理的一致性是指在不同应力水平下产品的失效机理保持不变。通常,失效机理的一致性是通过试验设计保证的,即要求加速寿命试验中的最高应力等级不能高于产品的破坏极限。
2.失效过程的规律性:失效过程的规律性是指产品和寿命之间存在一个确切的函数关系式,即加速模型。
3.失效分布的同一性:失效分布的同一性是指在不同的应力水平下产品的寿命服从同一分布,这是寿命数据统计的基本前提。
加速因子
加速因子是加速寿命试验的一个重要参数。它是加速应力下产品某种寿命特征值与正常应力下寿命特征值的比值,也可称为加速系数,是一个无量纲数。加速因子反映加速寿命试验中某加速应力水平的加速效果,即是加速应力的函数。
如:通过Arrhenius阿仑尼乌斯方程计算出的70℃下的加速因子是40(相对于室温情况),则加速因子A=t1/t2(其中t1为室温下的寿命,t2为70℃需要老化的时间) 70℃下的加速因子A=t1/t2=40.72,要求满足寿命3年, 则需老化时间t2=t1/40=3*365*24/40.72=645.38h=26.89天。
加速寿命常用模型
1.阿伦尼斯模型
1)施加应力类型:温度,仅适用于单一部件;
2)加速因子
式中:
A ——- 温度加速因子;
KB —— 玻尔兹曼常数:8.617*10 -5eV/k;
T0 —— 正常工作的绝对温度;
T —— 加速试验时的绝对温度;
Ea —— 激活能,针对高分子材料需要测定(可采用TGA的方法)。
3)适用部件/材料
a)塑料或橡胶等高分子材料的老化
b)电子元器件,PCBA主板
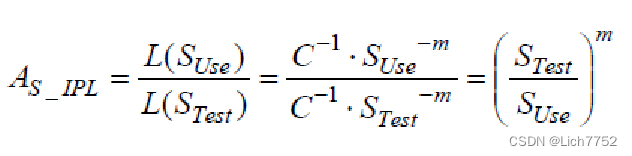
2.逆幂律模型
1)施加应力类型:电应力、机械应力、化学应力(腐蚀)及其他应力类型);
2)加速因子
式中:
As-IPL —— 加速因子;
SE-Test —— 加速(测试)使用应力;
SE-Use —— 实际使用应力;
m ————– 加速率常数。
3.适用部件/材料
a)机械应力、振动疲劳及热疲劳;
b)风机,电机,电池等;
3.Hallberg-peck模型
1)施加应力类型:湿度和温度;
2)加速因子
式中:
Af —— 加速因子,考虑温度和湿度双重影响;
RHt —— 加速(测试)使用湿度;
RHu —— 实际使用湿度;
TU —— 使用环境的绝对温度;
TA —— 加速实验的绝对温度。
3)适用部件/材料:
胶水,背胶等;
免责声明:本站所有文章内容,图片,视频等均是来源于用户投稿和互联网及文摘转载整编而成,不代表本站观点,不承担相关法律责任。其著作权各归其原作者或其出版社所有。如发现本站有涉嫌抄袭侵权/违法违规的内容,侵犯到您的权益,请在线联系站长,一经查实,本站将立刻删除。 本文来自网络,若有侵权,请联系删除,如若转载,请注明出处:https://haidsoft.com/143599.html


