大家好,欢迎来到IT知识分享网。
目录
湍流or层流
流体流态分可分为层流与紊流。
层流和紊流的根本区别在于层流各流层之间互不掺混,只存在黏性引起的各流层间的滑动摩擦阻力。
紊流则有大小不等的涡体动荡于各流层间。除黏性阻力,还存在着由于质点掺混,互相碰撞所造成的惯性阻力。所以,紊流阻力会比层流阻力大得多。
我们一般可以用无量纲数Re进行流体流态的判断,如果惯性力占主导地位,则流动是湍流。相反,如果定义为流动阻力的粘性力占主导地位,扰动受到黏性的阻滞而衰减下来,则流动是层流。所以雷诺数能够反映惯性力和黏性力的对比关系,从而判定流态。
对于不同类型的流体,雷诺数判断的临界点也不同。
例如管内流动,有实验表明,在Re=1225左右时,流动的核心部分就已经出现线状的波动和弯曲,此时仍是黏性力占主导地位,保持层流。随着Re的增加,在到达2300左右时,流动的核心部分就开始产生涡体,出现掺混现象。随着Re的进一步增大,逐渐发展为紊流。
如果你需要研究的流态为层流,Fluent没有提供太多的选择,选择层流模型即可。
湍流特性
湍流是一种不稳定的流体流动,在空间和时间上非常不规则,有以下特性:
- 无序性:流体质点相互混掺,运动无序,运动要素具有随机性。
- 耗能性:除了粘性耗能外,还有更主要的由于紊动产生附加切应力引起的耗能。
- 扩散性:除分子扩散外,还有质点紊动引起的传质、传热和传递动量等扩散性能。
湍流能量级联
在湍流中布满各种尺寸的涡,按长度尺度分为大涡、中等涡以及小涡,不同涡之间存在连续的涡分裂和能量传递。大涡从平均流动中获取能量,并快速分裂为中等尺度涡,能量传递链条一直进行,直到成为结构相对稳定、由分子粘度起主导作用的小涡。
湍流求解方式
总的来说,湍流求解方式可分为以下几种:
DNS(直接模拟)
- 完整数值求解瞬态NS方程
- 解析所有尺度的涡团/完整的湍动谱。
- 无需任何模型
- 计算成本巨大
RANS(雷诺时均)
- 基于稳态和动态流变量平均值的数学模型
- 数值模拟由湍流模型驱动
- 常用于实际工程与研究
LES(大涡模拟)
- 介于DNS于RANS之间
- 大尺度的涡团直接模拟,小尺度涡团通过合适的湍流模型进行模拟
- 计算代价较DNS小, 但仍不适用多数工程问题
RANS模型
在雷诺时均法中,瞬时N-S方程中的解变量被分解为均值和波动分量。对于速度分量:
同样的,对于其他标量,也可进行时均:
其中φ代表标量,例如压力、能量或物质浓度等
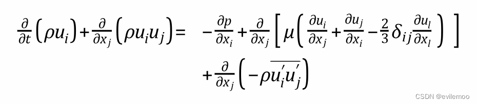
将这种形式的流动变量表达式代入瞬时N-S方程中,并取时间平均值得到方程如下:
称为雷诺时均N-S (RANS) 方程。它们具有与瞬时N-S方程相同的一般形式,速度和其他解变量现在表示集合平均值。
必须对雷诺应力进行建模,以求解该方程。
采用Boussinesq假设将雷诺应力与平均速度梯度联系起来
免责声明:本站所有文章内容,图片,视频等均是来源于用户投稿和互联网及文摘转载整编而成,不代表本站观点,不承担相关法律责任。其著作权各归其原作者或其出版社所有。如发现本站有涉嫌抄袭侵权/违法违规的内容,侵犯到您的权益,请在线联系站长,一经查实,本站将立刻删除。 本文来自网络,若有侵权,请联系删除,如若转载,请注明出处:https://haidsoft.com/153527.html











