大家好,欢迎来到IT知识分享网。
第一章
1.晶体具有哪些结构类型,它们的特点是什么,结构与结构之间有什么样的关联?
答:晶体的结构有:金刚石结构,闪锌矿结构,纤锌矿结构以及氯化钠结构。
(1)金刚石结构的特点是:每个原子周围都有四个最近邻的原子,组成正四面体结构,原子与原子之间通过共价键相连,许多这种正四面体累积起来就是金刚石结构,且具有立方对称的晶胞;构成金刚石结构的元素为单一元素,比如Si,Ge。
(2)闪锌矿结构的类型与金刚石结构类型非常相似,他们具有相同的他们最大的差别是闪锌矿结构是由两种不同类型的原子构成;每个原子被4个异族原子包围构成正四面体。
(3)纤锌矿结构与闪锌矿结构一样都是由两种原子构成,都是由正四面体结构为基础构成的,他们的差别是,纤锌矿结构具有六方对称性,而闪锌矿结构具有立方对称性,纤锌矿结构的共价性化合物晶体中,其结合的性质还具有离子型。
2.晶体中电子的运动的特点,能级劈裂原因是怎样的?
答:原子中的电子在原子核的势场和其他电子的作用下,它们分列在不同的能级上,形成所谓电子壳层,不同支壳层的电子分别用1s;2s,2p;3s,3p,3d;4s等符号表示,每一支壳层对应于确定的能量。当原子相互接近形成晶体时,不同原子的内外各电子壳层之间就有了一定程度的交叠,相邻原子最外壳层交叠最多,内壳层交叠较少。原子组成晶体后,由于电子壳层的交叠,电子不再完全局限在某一个原子上,可以由一个原子转移到相邻的原子上去,因而,电子将可以在整个晶体中运动。这种运动称为电子的共有化运动。
当原子互相靠近时,每个原子中的电子除受到本身原子的势场作用外,还要受到其他原子势场的作用,从而产生能级分裂,原子靠的越近,分裂的越厉害。
3.比较自由电子和晶体中的电子波函数,并说明它们运动的不同之处。
答:自由电子波函数为平面波;根据正交归一性,波函数的强度处处相等,电子在空间各点出现的几率相同;晶体中的电子波函数系数是一个布洛赫波,具有平面波的性质的强度随晶格周期性变化,电子在晶体的一个晶格中各点出现的几率不同,但在晶体中每个晶格的对应位置(等价点),出现的几率是一样的——电子在晶体内的共有化运动。
4.有效质量的意义以及相应的性质是什么?
答:有效质量概括了半导体内部势场作用,使得在解决半导体中电子在外力作用的运动规律时,可以不涉及到半导体内部势场的作用。
它的性质有以下几点:
①有效质量mn*只是一个等效意义的参量;
②有效质量mn*不是常数,在带顶和带底附 近近似为常数;
③mn*可以取正值,也可以取负值,在转折点处,mn*=±∞;
④有效质量具有方向性;
⑤能带宽,mn*较小(外层电子);能带窄, mn*则较大(内层电子)
5.试阐述空穴的特点和引入它的意义?
答:空穴是把价带中空着的状态看成是带正电的粒子,它具有以下特点:
1)带有正电荷(+q),其电量等于电子电量;
2)其速度等于该状态上电子的速度、方向相反;
3)价带中的空穴数恒等于价带中的空状态数;
4)空穴能量增加的方向与电子能量增加的方向相反;
5)空穴具有正的有效质量。
通过空穴的引入,可以很简便的描述价带中的电流,减少计算量。
6.图(99)为能量曲线E(k)的形状,试回答:
(1)在Ⅰ、Ⅱ、Ⅲ三个带中,哪一个带的电子有效质量数值最小?
(2)在考虑Ⅰ、Ⅱ两个带充满电子,而第Ⅲ个带全空的情况,如果少量电子进入第Ⅲ个带,在Ⅱ带中产生同样数目的空穴,那么Ⅱ带中的空穴有效质量同Ⅲ带中的电子有效质量相比,是一样、还是大或小?
答案在PPT上
第二章
1.什么叫施主杂质?什么叫施主电离?施主电离前后有何特征?试举例说明之,并用能带图表征出n型半导体。
答:为半导体材料提供导电电子的杂质称为施主杂质,束缚在杂质原子的电子被激发到导带成为导电电子,该原子变为正电中心,该过程叫施主电离。施主电离前呈电中性,电离后施主带正电,变为不可移动的正电中心。如:在Si晶体中掺五族元素,最外层有五个价电子,与Si形成共价键后还剩余一个价电子,这一电子易挣脱原子核的束缚称为自由电子,给半导体提供大量的电子。
2.什么叫受主杂质?什么叫受主电离?受主电离前后有何特征?试举例说明之,并用能带图表征出p型半导体。
答:为半导体材料提供导电空穴的杂质称为受主杂质,束缚在杂质能级上的空穴被激发到价带成为价带空穴,该原子变为负电中心,该过程是受主电离。受主电离前呈电中性,电离后受主带负点,变为不可移动的负电中心,如:在Si晶体中掺三族元素,最外层只有三个价电子,与Si形成共价键后还缺少一个价电子,需要从其他地方夺取一个电子,留下空穴,给半导体提供大量的空穴。
3.试说明浅能级杂质和深能级杂质的物理意义及特点。
答:物理意义:在纯净的半导体中,掺入少量的其它元素杂质,对半导体的性能影响很大。由于杂质的存在,使得该处的周期性势场受到扰乱,因而杂质的电子不能处于正常的导带或价带中,而是在禁带中引入分裂能级,即杂质能级。根据杂质能级在禁带中的位置不同,分为深能级杂质和浅能级杂质。又根据杂质电离后施放的电子还是空穴,分为施主和受主两类。
特点:对于浅能级杂质,施主或受主能级离导带底或价带顶很近,电离能很小,在常温下,杂质基本全部电离,使得导带或价带增加电子或空穴,它的重要作用是改变半导体的导电类型和调节半导体的导电能力。对于深能级杂质,能级较深,电离能很大,对半导体的载流子浓度和导电类型没有显著的影响,但能提供有效的复合中心,可用于高速开关器件。
第三章
1.写出不同类型的半导体的基本特征。
答:本征半导体:费米能级位于禁带中线,EF=Ei;导带电子的浓度等于价带空穴的浓度,即n0=p0。
(1)对于n型半导体:费米能级位于高于禁带中线,EF>Ei;导带电子的浓度大于价带空穴的浓度,即n0>p0;随着掺杂浓度的增加,费米能级向导带底靠近。
(2)对于p型半导体:费米能级位于低于禁带中线,EF<Ei;导带电子的浓度小于价带空穴的浓度,即n0<p0;随着掺杂浓度的增加,费米能级向价带顶靠近。
2.分析不同类型半导体的带电粒子的种类,并写出起电中性方程。
答:对于本征半导体:带负电的粒子为导带的电子,带正点的粒子为价带的空穴。因此电中性方程为:n0=p0。
对于只含施主杂质的n型半导体:带负电的粒子为导带的电子,带正点的粒子有价带的空穴和电离施主。因此电中性方程为:n0=p0+nD+。
对于只含受主杂质的p型半导体:带负电的粒子有导带的电子和电离受主,带正点的粒子为价带的空穴。因此电中性方程为:n0+pA+=p0。
对于即施主杂质有含受主杂质的半导体:
带负电的粒子有导带的电子和电离受主,带正点的粒子有价带的空穴和电离施主。因此电中性方程为:n0+pA+=p0+nD+
3.分析不同温度范围内,只含施主杂质的n型半导体的费米能级EF及载流子浓度的公式及随温度变化规律?
答:对于只含施主杂质n型半导体:
(1)低温区时,本征激发可忽略不记,空穴浓度p0=0,温度较低,杂质部分电离,导带电子浓度全部由施主电离提供,因此电中性方程为:n0=nD+
费米能级表达式为:
费米能级的位置随着温度的升高逐渐增大,升至最大值之后,费米能级的位置随温度的升高逐渐降低,当费米能级降至与施主能级重叠时,即EF=ED,有1/3的施主杂质被电离。
电子浓度表达
随着温度的升高,电子的浓度呈指数上升。
(2)强电离区时:大部分施主杂质全部被电离,电离施主杂质浓度约为总的施主杂质浓度,即nD+=ND,电中性方程为n0=ND,载流子浓度不随温度发生改变。
费米能级表达式为:
费米能级由温度和施主杂质浓度所决定,在一定温度下,施主杂质浓度越大,费米能级向导带底靠近,而掺杂浓度一定时,温度越高时,费米能级向禁带中线位置靠近。
4.什么是简并半导体,什么是非简并半导体,以及判断半导体是否简并化的标准是什么?
答:如果半导体中掺杂浓度较低,杂质原子相距足够远而不会发生相互作用,杂质引入分立的、无相互影响的杂质能量态,这一类半导体为非简并半导体。非简并半导体中费米能级位于离开带边较远的禁带中,载流子分布满足玻耳兹曼分布。
如果半导体的掺杂浓度大,大到杂质原子相互作用增强,杂质能级分裂形成杂质能带,杂质能带展宽,甚至EF进入能带中,把处于这种状态的半导体称为简并半导体。在简并情况下,计算载流子浓度时必须用费米分布,而不能用玻耳兹曼分布。
以判断半导体是否简并化的标准为费米能级到能带边沿的距离,n型半导体为例,它的标准是:
简并:Ec-EF≤0
弱简并:0<Ec-EF≤2k0T
非简并:Ec-EF>2k0T
5.有一硅样品在温度为300k时,施主与受主的浓度差ND-NA=1014cm-3,设杂质全部电离,已知该温度下导带底的有效状态密度NC=2.9×1019cm-3,硅的本征载流子浓度ni=1.5×1010cm-3,求样品的费米能级位于哪里?
第四章
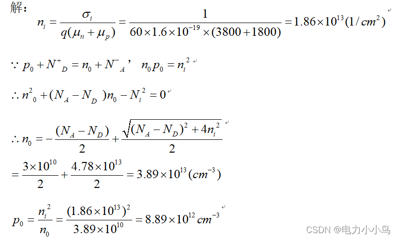
1.在半导体锗材料中,掺入施主杂质浓度ND=1014cm-3, 受主杂质浓度NA=7×1013cm-3,设室温下本征锗的电阻率为60Ω.cm,假设电子和空穴的迁移率分别为μn=3600cm2/Vs,μp=1800cm2/Vs,如流过样品的电流密度为52.3mA/cm2, 求所加的电场强度。
(提示:杂质完全电离,先求ni,由电中型条件和n0p0=ni2求n0和p0,再求电导率和电场)
解:
所以,样品的电导率为:
第五章
第六章
解:小注入时,外压基本上降在势垒区,中性区和扩散区中电场很弱。
对p-n结势垒区产生复合为零,因为在势垒区内外电压大于零,使势垒区电场减弱,电子(空穴)扩散大于漂移,电子由n区扩散区到p区扩散区,空穴由p区扩散区到n区扩散区。
p区侧的电子扩散区(Ln):由n区到扩散区的电子(少子)在浓度梯度的作用下向中性p区扩散,并伴随着与多子空穴复合,该区还有多子空穴漂移流,方向向右。
因为尽管该区空穴漂移流很小,但电子漂移流也很小,空穴漂移流大于电子扩散流,n区侧的空穴扩散区(Lp):电子扩散方向向左,空穴扩散方向向右,空穴与电子复合,且结为单向注入。所以,电子扩散流大于空穴扩散流。
中性区:
多子漂移流(p中性区为空穴,方向向右,n中性区为电子,方向向左)
结论:Ln,Lp区电子空穴流的相对大小与结相反。
第七章
第八章
1.分析由p型半导体组成的理想MIS结构的C-V特性。
答:对于有p型半导体组成的MIS结构,其结构电容相当于绝缘层电容和半导体空间电荷层电容的串联。
当施加的是反向偏压时,半导体表面处于多子积累状态,在施加的是较大的负偏压时,其电容大小与绝缘层的电容大小一致,在施加的反向偏压较小的时候,随着反向偏压的减少,结构电容逐渐减少。
但施加的外加偏压是正向偏压时,在正向偏压较小的时候,半导体处于耗尽层状态,MIS结构电容随着偏压的增大而减少。
在施加的外界偏压VG>2VB时,如果施加的是低频或者平衡电压时,MIS结构电容又上升到等于绝缘层电容,如果施加的是信号频率较高电压时,反型层中电子的产生与复合将跟不上高频信号的变化,也即反型层中电子的数量不能随高频信号而变。因此,在高频信号时,反型层中电子对电容没有贡献,这时空间电荷区的电容仍由耗尽层的电荷变化决定。由于强反型出现时耗尽层宽度达到最大值xdm,不随偏压VG变化,耗尽区贡献的电容将达极小值并保持不变,因此其MIS结构电容不随着偏压的增大而增大。
MIS结构电容的C-V特性曲线在P250的图8-10
2.对于理想的由n型半导体组成的MIS结构,在施加外电压时,分析其表面空间电荷层状态随外界偏压的变化情况。
答:当在金属与半导体加正偏压时(金属结正极),表面势为正,表面能带向下弯曲,处于热平衡状态是,越靠近表面,导带底离费米能级越近,随着偏压的增大,导带底甚至会低于费米能级,导带中的电子浓度越来越高,在表面形成多子电子积累层。
当不施加偏压时,能带不弯曲,半导体表面处于平带状态。
当在金属与半导体加负偏压时,表面势为负,表面能带向上弯曲,越接近半导体表面,费米能级离导带越远,导带电子浓度随着降低,表面层处于多子电子耗尽状态,
当继续增大反向偏压时,表面能带进一步向上弯曲,表面费米能级将会等于禁带中线,在表面处空穴的浓度等于体内电子浓度,在表面处与本征半导体费米能级一致,表面处处于本征状态。
当接着继续增大反向偏压时,表面能带进一步向上弯曲,表面费米能级甚至会低于禁带中线,在表面处空穴的浓度甚至会高于体内电子浓度,形成少子空穴的反型。表面处处于少子反型状态。
3.分析由p型半导体组成的理想MIS结构其半导体表面电导随外界偏压的变化情况。
答:当半导体处于多子积累状态时,多数载流子空穴浓度增多,表面附加电导增大,且随着反向偏压的增大进一步增大。
但半导体处于多子耗尽状态时,随着正向偏压的增大耗尽增强,多数载流子浓度降低,表面附加电导减少,表面电导随偏压的增大而减少。
当施加偏压增大到半导体表面处于反型状态时,少子电子浓度超过体内多子空穴浓度,且随着偏压的增大,少子电子进一步增大,表面电导随着偏压的增大而增大,其变化曲线如图所示,
第九章
1.不考虑界面态时,突变反型异质结与同质结相比能带结构具有哪些特点
答:在不考虑界面态的影响的前提下,对于突变反型异质结构,其能带结构特点有如下四点:
(1)导带在p 型半导体能带一侧的交界面处形成一个向下的“凹口”,在n 型半导体一侧的交界面处形成一个向上的“尖峰” 。
(2)能带在交界面处,有一个突变。在导带存在一个导带阶,大小为电子亲和势之差,价带位置存在一个价带阶,大小为禁带宽度之差减去电子亲和势之差。
(3)在pn异质结中,△Ec 对p区电子向n区的运动起势垒作用,而△Ev则对n区空穴向p区运动没有明显的影响。
(4)尖峰的位置处于势垒上的什么位置由两边材料的相对掺杂浓度决定。
2.分析界面态对异质结的能带结构的影响?
答:界面态有施主态和受主态两种:
对于施主型界面态,可以给半导体提供电子,在异质结结构中,界面态密度较大的情况下,可以给异质结半导体提供大量的电子,在n型半导体表面形成多子电子积累层,使得n型半导体表面能带在界面处向下弯曲,在p型半导体表面形成了多子空穴的耗尽层,同样使得p型半导体能带在表面向下弯曲。
对于受主型界面态,可以给半导体提供空穴,在异质结结构中,界面态密度较大的情况下,可以给异质结半导体提供大量的空穴,在n型半导体表面形成多子电子耗尽层,使得n型半导体表面能带在界面处向上弯曲,在p型半导体表面形成了多子空穴的积累层,同样使得p型半导体能带在表面向上弯曲。
第十章
1.简要解释半导体的光吸收和发光机理。
答:半导体中的电子在光照的作用下,吸收光子的能量,产生能级跃迁,引起光吸收。(在绝对零度时,如果是本征半导体,半导体中的电子位于价带中 ,导带为空着的,光照半导体时,如果光子的能量大于半导体的禁带宽度,价带电子就会吸收光子的能量从价带跃迁到导带,产生光吸收,若光子能量小于半导体的禁带宽度,价带中的电子会吸收能带跃迁处价带,与留在价带的空穴束缚在一起,引起光吸收,若存在杂质能级,杂质能级上束缚的电子和空穴吸收大于等于电离能的光子能量后发生跃迁,产生光吸收,若半导体的价带中存在空穴或者导带中存在电子时,这些载流子在光照作用下吸收光子能量在相同能带中发生能级的跃迁,产生光吸收。)
半导体的发光是光吸收的逆过程,其电子可以自发的从较高的量子态跃迁到较低的量子态,并释放出多于的能量,释放的这些并以发光的形式释放出体外,产生发光。
2.简要分析半导体中的本征吸收,激子吸收,载流子吸收和杂质吸收过程。
答:光照半导体时,如果光子的能量大于半导体的禁带宽度,价带电子就会吸收光子的能量从价带跃迁到导带,产生光吸收,引起的吸收过程就是本征吸收;若光子能量小于半导体的禁带宽度,价带中的电子会吸收能带跃迁处价带,与留在价带的空穴束缚在一起,成为激子,产生光吸收,引起的吸收过程就是激子吸收;若存在杂质能级,杂质能级上束缚的电子和空穴吸收大于等于电离能的光子能量后发生跃迁,产生光吸收,若半导体的价带中存在空穴或者导带中存在电子时,这些载流子在光照作用下吸收光子能量在相同能带中发生能级的跃迁,产生光吸收。
十二章
1.什么是半导体的汤姆逊效应?
答:当半导体的两端与同一种金属接触,并保持温度差△T(或温度梯度),这时回路中若有电流流过时,在半导体中除了产生焦耳热外,随着电流方向的不同,在半导体和金属的接触面处还要吸收或 放出一定的热量,这一现象称为汤姆逊效应。
2.什么是霍耳效应?
答:样品受到x方向的电场Ex(在样品中存在电流Jx),z方向的磁场Bz,在y向上产生一个横向电场Ey,这一现象称为霍耳效应。
免责声明:本站所有文章内容,图片,视频等均是来源于用户投稿和互联网及文摘转载整编而成,不代表本站观点,不承担相关法律责任。其著作权各归其原作者或其出版社所有。如发现本站有涉嫌抄袭侵权/违法违规的内容,侵犯到您的权益,请在线联系站长,一经查实,本站将立刻删除。 本文来自网络,若有侵权,请联系删除,如若转载,请注明出处:https://haidsoft.com/154127.html

















