大家好,欢迎来到IT知识分享网。
变压器被定义为一种静态电机,即没有移动元件,由一个漆包铜线绕组组成,以交流电压供电(初级),由一个漆包铜线绕组在其上获取电压(次级),以及一个由重叠叠片和良好磁通导体组成的铁磁材料铁芯(铁芯),如图 1 所示。变压器的工作原理基于两个或多个相互耦合的电路之间的电磁感应。
其主要功能是通过改变输出电压和电流值将电能转换为交流电。其操作是可逆的,这意味着当将初级与次级反转时,其工作效果也一样好,因此其操作方式也发生了变化。如果将正弦交流电压施加到初级,则通过磁感应在铁芯中产生正弦磁通量。变压器不能使用直流电源,只能使用交流电。本质上,这种机器将电能转换为磁能,然后再转换为电能。因此,能量损失会很小。
输出电压与初级线圈和次级线圈的匝数比成正比,这是需要考虑的重要的设备规则之一。当然,在这种转换过程中,可能会发生少量的功率损耗。在理想的变压器中,初级和次级线圈的电阻为零,磁通量完全连接到两个线圈而没有分散。此外,没有由于磁滞引起的损耗,铁和寄生电容中的损耗也为零。
变压器的设计
作为静态电机,变压器实现了初级和次级之间电压和电流比的转换,试图保持功率不变。但实际上,功率部分被变压器本身耗散,作为铁芯和绕组中的损耗。如果初级和次级的匝数相同,则有隔离变压器,它将初级和次级电隔离开来,并保持电压和电流不变。初级和次级之间没有直接的电连接。
当变压器由交流电(即正弦电)供电时,磁芯中会产生磁通量,从而在绕组上产生电压。如果次级保持开路,则可以在其两端读取电压,但没有电流流通,变压器“无负载”工作。但是,如果次级连接有负载(例如电阻器),电流会在次级中流通,需要来自初级的额外功率。如果变压器在满载下工作,它将充分利用其设计功率。
一个非常有用的参数是电压下降率,它表示无负载时次级工作电压与有负载时次级工作电压的差异。计算如下:
在变压器中,可以识别出两个基本部件,即磁芯(可以由铁、铁氧体或其他材料制成)和绕组(通常由漆包铜、铝或银制成)。变压器的设计有很多方法,有些方法比其他方法更复杂,而且还需要使用许多数学方程。但是,也有许多应用程序和软件可以帮助设计人员构建变压器。
变压器的设计和定型需要对相关电气和物理复杂性有深入的了解,也需要在这方面有丰富的经验。要制造变压器,必须从计算一些关键数据开始。如上所述,有几种公式和方法可以确定设备的构造参数。然而,公式越多越复杂,终结果就越、越可靠。作为示例,我们将根据图 2 所示的图表设计具有以下铭牌数据的变压器:
初级绕组电源电压:230V(V1)
满载时次级绕组上读取的电压:48 V (V2)
次级功率:600 VA伏安(P2)
变压器工作频率:50Hz(f)
变压器所需磁感应强度:1 Wb/m 2 (B)
磁感应有专门的表格,但常见的值如下所示:
标准硅钢:1.10 Wb/m 2
中品质硅钢:1.15 Wb/m 2
优质硅钢:1.20 Wb/m 2
定向颗粒:1.25 Wb/m 2
图 2:单相变压器的尺寸
使用众多可用公式之一,可以粗略计算出要使用的金属板的总表面积:
电力电子课程:第 17 部分 — 变压器的设计
一旦获得了金属板面积的测量值,就可以查找图 3 所示表格中接近所进行的计算的行。根据找到的数据,可以读取与层压有关的所有其他尺寸。
图 3:标准单相 EI 型叠片表(来源:Giunchi Fabrizio)
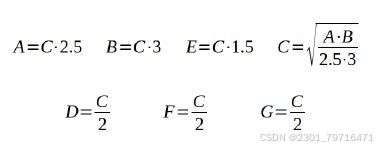
单相用 EI 标准型铁心的所有尺寸均基于所有其他尺寸按照以下基本公式计算:
图 3:标准单相 EI 型层压板表(来源:Giunchi Fabrizio)。
根据上述公式和表中的数据,现在可以计算所有其他尺寸,为方便起见,如下所示:
面积(厘米2):270
尺寸(毫米): 150
宽度(毫米):180
厚度(毫米):60
直径(毫米):30
外径(毫米):90
口径(毫米):30
宽(毫米):30
类型: EI180
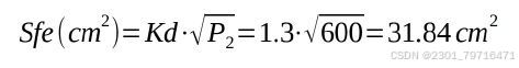
此时,可以根据以下公式,使用尺寸系数 Kd 和二次功率轻松计算出铁磁芯的截面:
电力电子课程:第 17 部分 — 变压器的设计
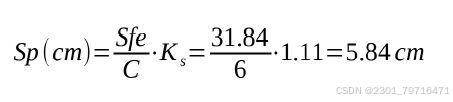
如果使用壳板,则尺寸系数 Kd 可在 1 至 1.6 之间选择,如果使用双柱板,则可在 0.7 至 1.2 之间选择。此参数允许我们使用更多铜(Kd 值低)或更多铁(Kd 值高)。Kd 系数低时,可获得尺寸小、匝数多的变压器,而 Kd 系数高时,可获得尺寸大、匝数少的变压器。现在,根据铁磁芯的截面和金属板的“C”尺寸,可以根据以下公式计算出板组的厚度,同时考虑填充系数 Ks:
封装系数 Ks 可取 1.05 至 1.15 之间的值,具体取决于金属片的绝缘类型、厚度以及在卷轴中进行相关组装的谨慎程度,后者根据计算出的各个元件的尺寸进行选择。一个好的值是 Ks=1.11。已知单层片的厚度 sl=0.5mm 和层状封装的厚度 Sp,就可以通过以下公式轻松计算出层片的数量:
初级和次级匝数的计算考虑了“每匝电压”参数。计算公式如下:
初级绕组的匝数也可以通过以下公式轻松计算出来:
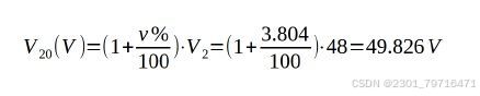
在次级处,总是会发生电压下降(百分比),具体取决于变压器的功率:
次级空载电压,即不接任何负载时的电压,按下式计算:
现在,考虑到刚刚计算出的空载次级电压,计算次级绕组的匝数非常简单,使用以下公式:
,通过以相当简单的方法计算电流的参数,就可以确定要使用的电线的直径。
结论
即使是的变压器也可能干扰附近的设备,因为总会有一小部分感应能量离开设备。因此,在将变压器放置在电子设备内时,必须始终格外小心,因为可变磁场可能会通过引入不必要的噪声来干扰附近的电路。变压器是效率的电机之一;由于它没有运动部件,的损耗位于铜和铁中。
对于电力变压器,必须使用更的公式,同时还要考虑其他参数。变压器的设计和构造是一门真正的艺术,但必须伴随着许多计算和数学公式。然而,网上的众多工具和软件可以极大地促进磁性设备的制造,限度地减少错误,同时限度地提高计算的准确性。
免责声明:本站所有文章内容,图片,视频等均是来源于用户投稿和互联网及文摘转载整编而成,不代表本站观点,不承担相关法律责任。其著作权各归其原作者或其出版社所有。如发现本站有涉嫌抄袭侵权/违法违规的内容,侵犯到您的权益,请在线联系站长,一经查实,本站将立刻删除。 本文来自网络,若有侵权,请联系删除,如若转载,请注明出处:https://haidsoft.com/110460.html














