大家好,欢迎来到IT知识分享网。
- 软件测试方法大类上分为黑盒测试、白盒测试和灰盒测试三种
一、黑盒测试
- 黑盒测试通俗来说即不知道代码是怎么写的。具体实现逻辑,基于代码输入有哪些应该输出什么进行测试的方法。
- 其方法有:基于直觉和经验的方法(IEBT)、基于需求/标准验证的方法(ReBT)、基于输入域的方法(IDBT)、组合测试方法
1.基于直觉和经验的方法(IEBT)
(1)Ad-hoc随机测试方法
- Ad-hoc测试也称随机测试或猴子测试,是一种没有任何计划、文档的测试方法。测试是非正式和随机进行的。通常会在验收测试的时候进行。
- Ad-hoc测试是由测试人员会临时测试不遵循任何结构化的测试方法,在应用程序的任何部分随机进行的。
(2)基于用户使用测试
- 即将自己代入用户视角,使用该软件进行测试。
(3)错误猜测法
- 基于测试人员的丰富经验和直觉,找出程序中自己认为会出现的错误,并针对性地设计测试用例。
- 经验可能来自于对某项业务的测试较多,也可以来自售后用户的反馈意见,或者从故障管理库中整理出bug。
- 列举出程序可能会出现的错误或者容易产生错误的测试点,然后根据测试点写测试用例。
2.基于输入域的方法
(1)等价类划分法
- 等价类划分具体做法,就是把测试项的输入域或者输出域划分成若干部分,然后从每个部分中选取少数、代表性数据当作测试用例
- 等价类划分法分成有效等价类(合理、合法的输入或者输出数据)和无效等价类(不合理、非法的输入或者输输出数据)
- 举例:
对学生输入的分数进行评级,其中90-100时A,80-89为B,70-79为C,60-69为D,60-0为E。输入分数要求必须时正整数或者为0 根据题目可以得知 (1)有效等价类为:0-59,60-69,70-79,80-89,90-100 (2)无效等价类为:空,负数,大于100的数,小数,含字母的字符串
(2)边界值法
- 边界值法具体做法,就是找到有效数据额无效数据之间的分界点,以及其两边的点进行测试,一般与等价类划分法共同使用。
- 举例:
对学生输入的分数进行评级,其中90<= x <=100时A,80<= x <=89为B,70<= x <=79为C,60< x <=69为D,0<= x <=60为E。输入分数要求必须时正整数或者为0 根据题目可以得知 (1)等级为A的边界值为:101, 100, 90, 89 (2)等级为B的边界值为:90, 89, 80, 79 (3)等级为C的边界值为:80, 79, 70, 69 (4)等级为D的边界值为:70, 69, 61, 60 (5)等级为E的边界值为:-1, 0, 60, 61 综合上述边界值法得到的测试用例有:101, 100, 90, 89, 80, 79, 70, 69, 61, 60, 0, -1
(3)决策表法
- 决策表法具体做法,就是把作为条件的所有输入的各种组合值和它对应的输出值都罗列出来形成表格
- 适用场合:适用于输入输出比较多,且输入之间和输出之间相互制约的条件比较多。
怎么做决策表: 由条件桩、条件项、动作桩、动作项四个部分组成 (1)条件桩:列出问题的所有输入条件 (2)动作桩:列出问题规定可能采取的操作‘ (3)条件项:列出它在列条件的取值(输入) (4)动作桩:列出在条件项的各种取值情况下应该采取的动作(输出) - 举例:对学生输入的分数进行评级,其中90< x <=100时A,80<= x <=89为B,70<= x <=79为C,60< x <=69为D,0<= x <=60为E。输入分数要求必须时正整数或者为0
- 最终上述决策树每一列为一个测试用例。
(4)因果图法
- 因果图法时一种利用图解法分析输入的各种组合情况,从而设计测试用例的方法。
- 输入与输出关系:
- (1)恒等:如果原因为真,那么结果必为真
- (2)与 ^:只有当两个原因都为真的时候,结果才为真
- (3)或 V:两个原因中,有一个为真,那么结果为真
- (4)非 ~:只有原因为假,结果才为真
- 基本约束:
- (1)约束:是指输入状态还存在这某种依赖关系,这种关系称作为约束。
- (2)E约束(异):表示a,b两原因不会同时成立,最多一个能成立。
- (3)I约束(或):a、b、c三个原因中至少有一个必须成立。
- (4)O约束(唯一):a、b当中必须有一个,且仅有一个成立
- (5)R约束(要求):当a出现时,b必须也出现,不可能a出现b不出现
- (6)M约束(屏蔽):表示当a是1时,b必须是0。而当a为0时,b的值不定
3.组合测试方法
(1)Pairwise方法
- Pairwise方法主要的原理是,每组输入参数之间的组合以及每个可能的输出情况之间的组合。
- 在使用该方法的时候,首先要明确测试输入和输出变量的取值范围,以及二者之间的关系,然后使用适当的集合数学算法生成一组测试用例。
(2)n-way方法
(3)正交试验法
- 正交表的构成:
- (1)行数:正交表中行的个数,即试验次数,我们设计测试用例的个数
- (2)因素数:正交表中列的个数,即我们要测试的功能点
- (3)水平数:任何单个因素能够取得的值的最大个数。即要测试功能点的输入条件
- 例子:对某人进行查询,假设查询某个人时有三个查询条件:按“姓名”进行查询,按“身份证号码”查询,按“手机号码”查询
行数 = 因素数 * (水平数 – 1)+ 1 = 3 *(2 – 1) + 1 = 4
(4)分类树方法
- 实际上,分类树法与等价类划分法有些相似
- 分类树法。把测试对象的输入域看作不同的方面组成,对每个方面分离并组成各种类别,而分类结果的各类又可能再进一步被分类。
- 设计步骤:1.识别出测试对象,并分析输入域;2.对测试对象的输入域进行分类;3.画出分类树,组合测试用例。
- 例子:对某人进行查询,假设查询某个人时有三个查询条件:按“姓名”进行查询,按“身份证号码”查询,按“手机号码”查询
二、白盒测试(基于代码的方法)
1.控制流覆盖
void func(int x, int y, int z) {
if(x > 1 && y == 0) z /= x; if(x >= 3 || z > 1) ++z; }
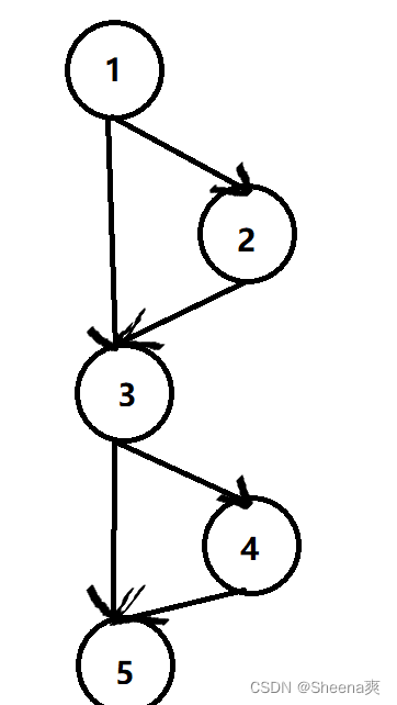
(1)基本路径覆盖
- 根据流图计算环复杂度,得到基本路径覆盖的测试用例数
- 流图为:
- 环复杂度:边数 – 节点个数 + 2 = 6 – 5 + 2 = 3
- 故共3条路经,即3个测试用例
- 1)1-》3-》5,测试数据:x=1,y=1,z=1
- 2)1-》2-》3-》5,测试数据:x=3,y=0,z=6
- 3)1-》3-》4-》5,测试数据:x=3,y=1,z=2
(2)逻辑覆盖
(a)语句覆盖:每条语句至少执行一次
- 走上述ace即可每条语句至少执行一次。
- 只需遍历ace。
- 测试用例:x=3,y=0,z=6
(b)判定覆盖:每个判定的所有可能结果至少出现一次(真假分支都走一遍)
- 若要每个判定条件的所有可能结果都出现一次,则只需走路径ace和路径abd即可
- 测试用例:x=3,y=0,z=6(ace)和 x=1,y=1,z=0(abd)
(c)条件覆盖:每个条件的所有可能结果至少执行一次
- 第一个判断条件的所有取值可能是x>1或x<=1,y=0或y≠0,第二个判断条件的所有取值可能是x>=3或x<3,z>1或z<=1
- 若要每个条件的所有可能结果都执行一次,则x=1,y=0,z=1(abd)和 x=2,y=1,z=2(abe)
(d)MCDC修正判定条件覆盖
(e)条件组合覆盖:每个判定中的所有可能的条件结果的组合,以及所有的入口点都至少执行一次
- 第一个判断条件的所有取值可能是x>1或x<=1,y=0或y≠0,第二个判断条件的所有取值可能是x>=3或x<3,z>1或z<=1
- 即测试用例条件应该为①x>1,y=0;②x>1,y≠0;③x<=1,y=0;④x<=1,y≠0;⑤x >= 3,z>1;⑥x>=3,z<=1;⑦x<3,z>1;⑧x<3,z<=1;
测试用例: 1.x=3,y=0,z=6(ace)覆盖组1,5 2.x=3,y=1,z=1(abe)覆盖组2,6 3.x=1,y=0,z=6(abe)覆盖组3,7 4.x=1,y=1,z=1(abd)覆盖组4,8
2.数据流覆盖—变量定义-引用
三、灰盒测试
四、其余测试方法
免责声明:本站所有文章内容,图片,视频等均是来源于用户投稿和互联网及文摘转载整编而成,不代表本站观点,不承担相关法律责任。其著作权各归其原作者或其出版社所有。如发现本站有涉嫌抄袭侵权/违法违规的内容,侵犯到您的权益,请在线联系站长,一经查实,本站将立刻删除。 本文来自网络,若有侵权,请联系删除,如若转载,请注明出处:https://haidsoft.com/129990.html




